Книга Энциклопедия абсолютного и относительного знания, страница 98 – Бернард Вербер

Авторы: А Б В Г Д Е Ж З И Й К Л М Н О П Р С Т У Ф Х Ч Ш Ы Э Ю Я
Книги: А Б В Г Д Е Ж З И Й К Л М Н О П Р С Т У Ф Х Ц Ч Ш Щ Ы Э Ю Я
Бесплатная онлайн библиотека LoveRead.ec

Онлайн книга «Энциклопедия абсолютного и относительного знания»

📃 Cтраница 98

Из этого ничего не вышло. Во время Вьетнамской войны американцы пытались прибегнуть к голубям и к грифам для бомбардировок вьетконговцев – тоже тщетно.

Если из животных не получаются солдаты, то, может, из них выйдут шпионы? И вот в разгар холодной войны ЦРУ экспериментирует с маркировкой подозреваемых, подвергаемых слежке, гормоном тараканихи перипалоном В. Он так возбуждает тараканов, что они улавливают его на расстоянии многих километров.

CCCLXVIII
Животные-подсудимые
Иллюстрация к книге — Энциклопедия абсолютного и относительного знания [i_233.jpg]

Бывали времена, когда животные считались подсудными людскому правосудию. Во Франции с Х века пытают и вешают под различными предлогами кошек, ослов, лошадей и свиней. В 1120 г. епископ Лана и главный викарий Валанса применяют к вредителям посевов – гусеницам и лесным мышам – такое наказание, как отлучение от церкви. В судебном архиве Савиньи сохранились протоколы суда над свиноматкой, обвиненной в гибели 5-летнего ребенка. Ее и шестерых поросят застали на месте преступления с кровью на пятачках. Преступное сообщество? Свинью подвесили на площади за задние ноги, и она висела, пока не издохла.

Поросят поместили под надзор к одному крестьянину. Они не проявляли склонности к агрессии, им позволили вырасти, а потом съели в «обычном порядке». В 1474 г. в швейцарском Базеле состоялся процесс над курицей, обвиненной в колдовстве за то, что в снесенном ею яйце не оказалось желтка. Курице назначили адвоката, и тот построил защиту на отсутствии злого умысла. Но тщетно: курицу приговорили к казни на костре. Только в 1710 г. нашелся ученый, выяснивший, что несение яиц без желтка вызывается болезнью. Посмертной реабилитации казненной, правда, не произошло.

В 1519 г. один итальянский крестьянин подал в суд на банду вредных кротов. Адвокат, проявив красноречие, сумел доказать, что кроты безответственны в силу юного возраста, к тому же полезны для крестьян, ибо питаются насекомыми, вредящими урожаям. Смертный приговор был заменен вечным запретом на посещение поля истца.

В 1622 г. англичанин Джеймс Поттер, обвиненный во множественных актах содомии в отношении домашнего скота, был приговорен к обезглавливанию, однако судьи, сочтя животных его сообщниками, обрекли на ту же участь корову, двух свиней, двух телок и трех овец.

Наконец, в 1924 г. в Пенсильвании лабрадора Пепа приговорили к пожизненному заключению за убийство губернаторского кота. Отмотав шесть лет в исправительном заведении, кобель скончался от старости.

CCCLXIX
Чужое влияние: эксперимент профессора Эша

В 1961 г. американский профессор Эш собрал в комнате семерых людей и сообщил, что они станут участниками эксперимента на восприятие. На самом деле из семерых опыт ставился лишь на одном. Шесть остальных были платными помощниками, задача которых состояла в том, чтобы ввести испытуемого в заблуждение.

На стене были начерчены две параллельные линии, 25 и 30 см длиной. Очевидно, что вторая длиннее. Но в ответ на вопрос профессора шестеро ассистентов называли более длинной 25-сантиметровую линию. Настоящий испытуемый в 60 % случаев тоже потом отвечал, что эта линия длиннее. Если он указывал на линию в 30 см, то шестеро дружно смеялись над ним, после чего 30 % испытуемых признавались, что ошиблись. Эксперимент воспроизвели на сотне студентов и преподавателей (не самая доверчивая публика!), и выяснилось, что девять из десяти способны убедить себя, что линия в 25 см длиннее той, в которой 30 см. Самое удивительное, что когда им открывали смысл проверки и роль шестерых других участников, 10 % все равно оставались верны своей противоестественной версии. Те же, кого принуждали признать ошибку, находили всевозможные объяснения: проблема со зрением, неверный угол обзора.

CCCLXX
Этап зеркала
Иллюстрация к книге — Энциклопедия абсолютного и относительного знания [i_234.jpg]

В 12 месяцев малыш переживает новую фазу: этап зеркала. На этапе «младенческой скорби» он научился преодолевать ужас брошенности; на этапе зеркала он начинает понимать свою уникальность.

С 1 года ребенок начинает стоять, его руки обретают ловкость, он уже умеет преодолевать желания, которые раньше были сильнее его. Теперь он увидит зеркало, и оно научит его, что он существует. Ребенок узнает себя, строит представление о своем облике, который ему нравится или нет, и эффект виден сразу. Либо он целует и обнимает изображение, весело смеясь, либо корчит ему гримасы. Обычно он воспринимает себя как идеальное существо, влюбляется, полон обожания. Восхищенный своим обликом, он проецирует его в будущее и отождествляет себя с каким-нибудь героем. Воображение, поддерживаемое зеркалом, помогает переносить жизнь, этот постоянный источник огорчений. Теперь он снесет даже ту неприятность, что он не является властелином мира. Даже если ребенку не попадается зеркала или лужи, в которой он видит свое отражение, он все равно проходит эту фазу. Он найдет способ идентифицировать себя и отличить от остального мира, понимая, что должен его завоевать.

Кошкам этап зеркала неведом. Глядя на себя в зеркало, они норовят залезть за него и поймать находящуюся там другую кошку. Это поведение не меняется даже с возрастом.

CCCLXXI
1 + 1 = 3

Это значит, что соединение талантов превосходит результатом их простое сложение. Слияние принципов женского и мужского, малого и большого, высокого и низкого, управляющих вселенной, приводит к появлению чего-то другого, отличающегося от первого и второго, превосходящего их.

Вся вера в наших детей, которые непременно лучше нас, помещается в этом уравнении. Здесь же заключена вера в будущее человечества. Завтрашний человек будет лучше сегодняшнего.

Кроме того, 1 + 1 = 3 – это концепция, по которой коллектив и социальная спайка – лучшие способы преодоления нашего животного состояния. Выразим это уравнением.

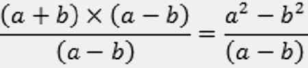
Как известно, (а + b) x (a – b) = a2. – ab + ba – b2.

– ab и + ab сокращаются. Получаем:

(a + b) x (a – b) = a2. – b2.

Разделим обе части уравнения на, равное 1, и получим:

Иллюстрация к книге — Энциклопедия абсолютного и относительного знания [i_235.jpg]

Примем a = b = 1

Иллюстрация к книге — Энциклопедия абсолютного и относительного знания [i_236.jpg]

Получаем 1 + 1 = 1

Прибавив с обеих сторон 1, получаем

3 = 2,

Или

Реклама
Вход
Поиск по сайту
Ищем:
Календарь