Книга 30 Нобелевских премий: Открытия, изменившие медицину, страница 28 – Лев Иноземцев

Авторы: А Б В Г Д Е Ж З И Й К Л М Н О П Р С Т У Ф Х Ч Ш Ы Э Ю Я
Книги: А Б В Г Д Е Ж З И Й К Л М Н О П Р С Т У Ф Х Ц Ч Ш Щ Ы Э Ю Я
Бесплатная онлайн библиотека LoveRead.ec

Онлайн книга «30 Нобелевских премий: Открытия, изменившие медицину»

📃 Cтраница 28

Исследователи разработали для больных, госпитализированных с диагнозом «пернициозная анемия», ежедневный рацион питания с включением блюд из печени. Решение ученых было основано на результатах наблюдений Джорджа Уиппла: они подтверждали, что у собак с анемией, которых кормили печенью, образование эритроцитов проходило очень быстро. Метод Майнота и Мерфи вызвала скептицизм у врачей. Они отказывались признать, что анемия может быть вызвана просто нарушением состава потребляемой пищи. Нормальному лечению также мешал отказ некоторых больных употреблять большое количество печени.

Тем не менее было успешно проведено лечение 45 больных, которые за очень короткий срок избавились от депрессии и других симптомов анемии и вновь ощутили себя здоровыми. Еще более показательным было уменьшение у них нарушений двигательного аппарата, которые прежде выражались в скованности, старческой походке и неуверенной мелкой моторике.

Гарвардский врач Уильям Касл, заметил, что удаление желудка при раке часто приводит к смерти от пернициозной анемии. Его исследования подтвердили, что слизистая оболочка здорового желудка вырабатывает определенное вещество, так называемый внутренний фактор, который взаимодействует с внешним фактором, то есть пищей. Внутренний фактор необходим для всасывания в кишечнике витамина В12, который, в свою очередь, стимулирует образование эритроцитов в костном мозге. У больных пернициозной анемией этот «внутренний фактор» отсутствует.

Вскоре началось промышленное производство вещества, заменяющего отсутствующий «внутренний фактор». Его назвали вентрикулином. А печеночный фактор, выделенный в 1948 году, назвали витамином В12, или цианокобаламином, так как содержал высокое количество кобальта. В настоящее время витамин В12 назначают больным пернициозной анемией в виде внутримышечных инъекций.

До 1926 года ежегодно в мире умирало 6000 больных пернициозной анемией. Лечение диетой с высоким содержанием печени было очень эффективным, однако имело свои недостатки. Не каждый мог ежедневно съедать по 230 г печени. Введение размельченной печени через зонд прямо в желудок больного также доставляло страдания пациентам и неудобство врачам. Решение было найдено, когда химики научились получать экстракт печени, который оказался в 50–100 раз активнее, чем натуральный продукт. Его можно было принимать в малых количествах или вводить внутримышечно. Позднее было установлено, что причина злокачественной анемии кроется в нехватке витамина В12 у больных, а печень или ее экстракты помогают в лечении, потому что в них содержится этот витамин в усваиваемой форме. Стало понятным, что лечение диетой с большим содержанием печени в ранних экспериментах Мерфи, Майнота и Уиппла, оказалось эффективным из-за достаточного содержания в печени витамина В12, который мог всасываться в кровь без «внутреннего фактора».

Диагнозы «В12-дефицитная анемия», «мегалобластная анемия», «болезнь Аддисона — Бирмера», «злокачественное малокровие», «злокачественная анемия» — это синонимы пернициозной анемии, за лечение которой Уиппл, Мерфи и Майнот получили Нобелевскую премию. Таким образом, болезнь, имевшая столько названий, была полностью побеждена, а ее лечение оказалось простым и доступным.

Первый антибактериальный препарат
Герхард Домагк
Иллюстрация к книге — 30 Нобелевских премий: Открытия, изменившие медицину [i_002.jpg]

Химиотерапией сегодня чаще всего называют медикаментозное лечение онкологических заболеваний. Однако раньше ее применяли для лечения инфекционных заболеваний: в широком смысле термин «химиотерапия» подразумевает любое уничтожение патогенов или злокачественных образований с помощью лекарств. До начала XX века особых успехов химиотерапевтические методы не имели, но в начале столетия ученым удалось прийти к нескольким значимым результатам.

Так, были найдены относительно эффективные препараты против лихорадки и сифилиса, а также некоторых экзотических болезней, характерных для тропических широт, например против малярии. Основная проблема заключалась в том, что найденные препараты в большинстве своем были крайне токсичны не только для патогенных бактерий, но и для самого человека. Грань между эффективной и смертельной дозами зачастую была очень зыбкой. Кроме того, в начале XX столетия против целого ряда «популярных» видов болезнетворных микроорганизмов еще не было найдено лекарств с доказанным действием.

В 1910–20-х годах в медицине популярностью пользовались различные металлы или их соли: ртуть, мышьяк, сурьма, висмут и даже золото. Именно с изучения антибактериального действия солей этого драгоценного металла начинал исследовательскую карьеру немец Герхард Домагк. В дополнение к основным экспериментам он решил провести и исследование терапевтического эффекта популярных в то время красителей.

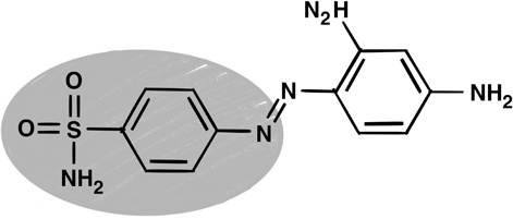
В ходе экспериментов Домагк вместе с коллегами испытал 4-сульфонамид-2,4’-диаминоазобензолгидрохлорид. Этому препарату впоследствии дали название «пронтозил». Первые испытания проводились в декабре 1932 года. Сначала для мышей была определена смертельная доза штамма стрептококков, которые были выделены у пациента, страдавшего от заражения крови. Группе животных ввели десятикратную смертельную дозу этого бактериального штамма, а через полтора часа после инфицирования примерно половине из них дали определенное количество пронтозила.

Иллюстрация к книге — 30 Нобелевских премий: Открытия, изменившие медицину [i_024.jpg]

Рис. 23. Пронтозил

24 декабря 1932 года было обнаружено, что в эксперименте, начатом 20 декабря, контрольная группа мышей умерла, кроме тех, кому был введен пронтозил: эти грызуны были живы и здоровы. Эксперимент послужил основанием для открытия, которое сделало огромный вклад в развитие химиотерапии.

Несмотря на то что результаты этих и последующих экспериментов сразу вызвали у исследователей большой интерес, они не публиковались вплоть до февраля 1935 года. Зато после публикации пронтозил с его чудесным действием стал известен во всем мире. Обширные эксперименты проводились во Франции, США, Великобритании и, конечно, на родине препарата — в Германии. Одним из главных результатов этих исследований было открытие того, что терапевтическое действие пронтозила связано с его сульфонамидным компонентом. Было установлено, что при попадании в организм препарат разваливается и активной становится именно эта часть.

Иллюстрация к книге — 30 Нобелевских премий: Открытия, изменившие медицину [i_025.jpg]

Рис. 24. Формула пронтозила с выделенной активной частью

Изначально пронтозил считался препаратом, действовавшим главным образом против стрептококковых инфекций. Однако даже в своей первой публикации Домагк сообщил, что это вещество, хотя и в меньшей степени, имеет терапевтическую активность при стафилококковых инфекциях и некоторых видах пневмоний.

Вход
Поиск по сайту
Ищем:
Календарь