Онлайн книга «Код. Тайный язык информатики»
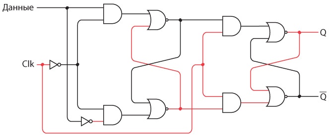
![]() Селектор, являющийся частью модифицированного сумматора, включает восемь таких однобитных селекторов. Все входы «Выборка» соединены между собой. Этот модифицированный сумматор не вполне корректно обрабатывает сигнал CO (выход для переноса). Если при сложении двух чисел этот сигнал CO становится равным 1, то этот сигнал игнорируется при добавлении к сумме следующего числа. Одно из возможных решений заключается в том, чтобы создать сумматор, защелку и селектор, разрядность которых составляет 16 бит или, по крайней мере, превышает разрядность наибольшей суммы, которая может получиться. Мы не будем приступать к решению этой задачи вплоть до главы 17. Более интересный подход к созданию сумматора позволяет обойтись без ряда из восьми переключателей. Однако сначала нужно немного изменить триггер типа D, добавив вентиль ИЛИ и входной сигнал «Очистка» (Clear, или Clr). Вход Clr обычно равен 0. Когда он равен 1, выход Q — 0. ![]() Сигнал Q становится равным 0 вне зависимости от других входных сигналов, что приводит к стиранию информации, сохраненной в триггере. Вы можете спросить: зачем это нужно? Почему мы не можем очистить триггер, подав на вход «Данные» 0, а на вход Clk — 1? Может быть, мы не можем точно контролировать то, что подается на вход «Данные»? Возможно, у нас есть набор из восьми таких защелок, подключенных к выходам 8-битного сумматора, как показано ниже. ![]() Обратите внимание: переключатель с меткой «Сложить» теперь управляет входом защелки Clk. Может показаться, что этот сумматор использовать проще, чем предыдущий, особенно если требуется сложить множество чисел. Сначала вы нажимаете кнопку «Очистка». В результате выходы защелок становятся равными 0, все лампочки отключаются, а на второй набор входов 8-битного сумматора подаются значения 0. Вы вводите первое число и нажимаете кнопку «Сложить». Это число отображается в виде комбинации горящих лампочек. Затем вводите второе число и снова нажимаете кнопку «Сложить». Число, введенное с помощью переключателей, добавляется к предыдущей сумме, и результат снова отображается с помощью лампочек. Вы можете продолжать вводить новые числа и нажимать кнопку «Сложить». Я уже говорил, что сконструированный нами D-триггер срабатывает по уровню, то есть уровень сигнала на входе Clk должен измениться с 0 на 1, чтобы в защелке сохранилось значение на входе «Данные». Пока сигнал на входе Clk равен 1, значение входа «Данные» может меняться; любые изменения входа «Данные», пока сигнал Clk равен 1, будут отражаться в значениях выходов Q и . Для решения некоторых задач бывает достаточно входа Clk со срабатыванием по уровню. Для решения других более предпочтительным является вход Clk со срабатыванием по фронту. В этом случае выходы изменяются только во время перехода значения сигнала Clk от 0 к 1. Как и при использовании триггера со срабатыванием по уровню, когда вход Clk равен 0, любые изменения входного сигнала «Данные» не влияют на выходы. Отличие триггера со срабатыванием по фронту заключаются в том, что изменения входного сигнала «Данные» не воздействуют на выходы даже тогда, когда вход Clk равен 1. Входной сигнал «Данные» влияет на выходы только в тот момент, когда значение входного сигнала Clk меняется с 0 на 1. D-триггер со срабатыванием по фронту состоит из двух блоков RS-триггера, соединенных следующим образом. ![]() В данном случае идея в том, что вход Clk управляет как первым, так и вторым блоком. Однако в первом блоке сигнал Clk инвертируется, или первый блок работает так же, как D-триггер, за исключением того, что входной сигнал «Данные» сохраняется, когда сигнал Clk равен 0. Выходы второго блока — входы первого, и их сигналы сохраняются, когда вход Clk равен 1. В итоге входной сигнал «Данные» сохраняется в момент изменения сигнала Clk с 0 на 1. Давайте рассмотрим эту схему подробно. На следующем изображении показан триггер в состоянии покоя, когда входы «Данные» и Clk, а также выход Q равны 0. ![]() Теперь измените значение входного сигнала «Данные» на 1. ![]() Это изменит состояние первого триггера, поскольку инвертированный входной сигнал Clk равен 1. Однако второй блок остается неизменным, так как неинвертированный входной сигнал Clk равен 0. Теперь измените входной сигнал Clk на 1. ![]() Это приведет к изменению второго блока, при этом значение выхода Q поменяется на 1. Разница заключается в том, что входной сигнал «Данные» теперь может меняться (например, обратно на 0), не влияя на значение выхода Q. ![]() Выходы Q и могут меняться только в тот момент, когда входной сигнал Clk изменяется с 0 на 1. В функциональную таблицу D-триггера со срабатыванием по фронту требуется добавить новый символ — стрелку вверх (↑), которая обозначает изменение значения сигнала с 0 на 1. ![]() Стрелка указывает на то, что значение выходного сигнала Q становится равным входному сигналу «Данные» в момент изменения значения сигнала Clk с 0 на 1. Этот процесс называется положительным переходом сигнала Clk (отрицательный переход с 1 к 0). Схема триггера выглядит следующим образом. ![]() Маленькая угловая скобка указывает на то, что триггер срабатывает по фронту. Теперь хочу показать вам схему, использующую D-триггер, срабатывающий по фронту, которую нельзя продублировать с помощью триггера, срабатывающего по уровню. Вспомните осциллятор, который мы создали в начале этой главы. Значение выходного сигнала этого осциллятора чередуется между 0 и 1. ![]() Давайте подключим выход осциллятора ко входу Clk D-триггера, срабатывающего по фронту, а выход — ко входу D. |
![Иллюстрация к книге — Код. Тайный язык информатики [i_289.jpg] Иллюстрация к книге — Код. Тайный язык информатики [i_289.jpg]](img/book_covers/084/84993/i_289.jpg)
![Иллюстрация к книге — Код. Тайный язык информатики [i_290.jpg] Иллюстрация к книге — Код. Тайный язык информатики [i_290.jpg]](img/book_covers/084/84993/i_290.jpg)
![Иллюстрация к книге — Код. Тайный язык информатики [i_291.jpg] Иллюстрация к книге — Код. Тайный язык информатики [i_291.jpg]](img/book_covers/084/84993/i_291.jpg)
![Иллюстрация к книге — Код. Тайный язык информатики [i_292.jpg] Иллюстрация к книге — Код. Тайный язык информатики [i_292.jpg]](img/book_covers/084/84993/i_292.jpg)
![Иллюстрация к книге — Код. Тайный язык информатики [i_293.jpg] Иллюстрация к книге — Код. Тайный язык информатики [i_293.jpg]](img/book_covers/084/84993/i_293.jpg)
![Иллюстрация к книге — Код. Тайный язык информатики [i_294.jpg] Иллюстрация к книге — Код. Тайный язык информатики [i_294.jpg]](img/book_covers/084/84993/i_294.jpg)
![Иллюстрация к книге — Код. Тайный язык информатики [i_295.jpg] Иллюстрация к книге — Код. Тайный язык информатики [i_295.jpg]](img/book_covers/084/84993/i_295.jpg)
![Иллюстрация к книге — Код. Тайный язык информатики [i_296.jpg] Иллюстрация к книге — Код. Тайный язык информатики [i_296.jpg]](img/book_covers/084/84993/i_296.jpg)
![Иллюстрация к книге — Код. Тайный язык информатики [i_297.jpg] Иллюстрация к книге — Код. Тайный язык информатики [i_297.jpg]](img/book_covers/084/84993/i_297.jpg)
![Иллюстрация к книге — Код. Тайный язык информатики [i_298.jpg] Иллюстрация к книге — Код. Тайный язык информатики [i_298.jpg]](img/book_covers/084/84993/i_298.jpg)
![Иллюстрация к книге — Код. Тайный язык информатики [i_299.jpg] Иллюстрация к книге — Код. Тайный язык информатики [i_299.jpg]](img/book_covers/084/84993/i_299.jpg)