Онлайн книга «Как создать продукт, который полюбят»
|
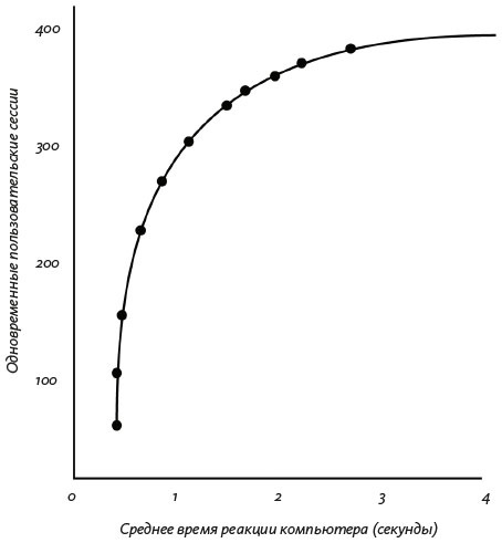
— Когда инженеры измеряли скорость персональных компьютеров, они говорили о так называемом предельном значении числа Доэрти для времени реакции системы, — сказал он людям, заполнившим офис. — Когда вы даете компьютеру задачу и нажимаете кнопку Enter, если он отвечает вам менее чем за 400 миллисекунд (меньше половины секунды), то вы останетесь за этой машиной на долгие часы. Ваш взгляд остекленеет, но производительность взлетит во много раз. Даже небольшое отклонение от половины секунды в сторону увеличения заставляет ваше внимание блуждать. Меньше 400 миллисекунд — это заветная точка. И знаете что? Наше будущее детище Cardiff-PC, хоть и выглядит сейчас как хлам, только что отсчитало 396 миллисекунд. Когда мы его соберем, эта машина не только станет самым быстрым из всех существующих на рынке компьютеров, она начнет формировать привязанность. Я нажал на паузу, приостановив просмотр четвертого эпизода «Остановись и гори», и отвлекся от Netflix. «Предельное значение числа Доэрти? Есть ли вообще такое? — подумал я. — Наверняка специально придумали для шоу». Я ошибался. Проблема предельного значения числа Доэрти восходит к статье «Экономические преимущества быстрой реакции компьютерной системы» Уолтера Доэрти и Ахрвинда Тадани, опубликованной в IBM Systems Journal в 1982 году. Предполагалось, что довольно медленный ответ, порядка двух секунд, приемлем, потому что человек думает о следующем задании. Исследование скорости реакции показывает, что прежняя теория не была подкреплена фактами: производительность возрастает прямо пропорционально сокращению времени реакции [144]. Исследование Доэрти и Тадани имело практическое значение: требование к скорости реакции компьютера сократилось с 2 секунд (первичного стандарта) до 400 миллисекунд (рис. 7.1). ![]() Рис. 7.1. Скорость реакции системы в зависимости от интенсивности использования системы: чем быстрее компьютер отвечает, тем больше людей будут его использовать Прежний стандарт был установлен в 1968 году Робертом Миллером, сотрудником лаборатории IBM в Пафкипси [145]. Он верил, что две секунды — более чем достаточный отрезок времени, потому что «пользователи думают так быстро, как могут, и это не зависит от того, насколько долго отвечает система» [146]. Вау! Представьте ожидание ответа в течение двух секунд после ввода. Доэрти и Тадани развенчали это убеждение. Люди могут держать в голове последовательность из краткосрочных задач, и они более продуктивны, если им не приходится ждать. Концентрация внимания сохраняется за счет принципа ротации. В сухом остатке — более высокая продуктивность, сокращение времени на работу и солидная сумма сэкономленных денег. И продукт будет признан состоятельным. Это один из самых восхитительных примеров, как скорость продукта — или даже восприятие скорости — способна влиять на потребителя, отдает он себе в этом отчет или нет. Психологические компоненты продукта, как, например, скорость или время реакции, сильно зависят от контекста — как, где и когда клиент его использует. Например, 400 миллисекунд — это отвратительное время реакции для тач-интерфейсов в таком узком контексте, как рисование. Даже 100 миллисекунд — это все еще плохой результат. В ходе одного из исследований, проведенного Microsoft, удалось снизить время ожидания до 1 миллисекунды! При этой скорости ответ на касание такой же, как если рисовать ручкой на бумаге (рис. 7.2) [147]. ![]() Рис. 7.2. Исследовательская работа Microsoft, в ходе которой сравнивали эффект ожидания от 100-миллисекундного и 1-миллисекундного касания Но скорость может иметь гораздо большее влияние, чем чьи-то рисунки на планшете. Когда Марисса Майер работала в Google, она пыталась выяснить, сколько ответов на поисковый запрос пользователи компании хотят видеть на странице. 10 результатов? 20? 25? 30? Кульминацией был ответ «Чем больше, тем лучше». И знаете что? После проведения A/B-тестирования «число поисковых запросов от пользователей, задействованных в эксперименте, упало на 20 процентов», — сообщила Майер во время своего выступления в 2010 году [148]. «Как только мы выдали пользователям 30 результатов на странице, они стали искать на 20 процентов меньше». Более того, использование первой страницы также сократилось на 20 процентов! (Рис. 7.3.) ![]() Рис. 7.3. Исследование скорости поисковых запросов Мариссы Майер для Google (восстановлено с оригинальных слайдов) Команда пребывала в растерянности. Что это, «парадокс выбора»? Или люди просто перегружены информацией? Тщательно изучив логи [149], Майер обнаружила, что «на вывод 30 ответов требуется гораздо больше времени, чем для десяти, — примерно в два раза. [Эта] задержка и стала причиной спада. Пользователям действительно важна скорость. Когда сеть становится быстрее, люди ищут больше. А когда медленнее — меньше». Команда выявила подобную корреляцию и в программе Maps («Карты»): в этом случае после того как размер страницы сократили на 30 процентов, получили на 30 процентов больше запросов по Maps! «Если вы делаете свой продукт быстрее, то почти сразу получаете увеличение объема его использования». Скорость заставляет нас покупать больше. Shopzilla в течение года проводила редизайн своих страниц, и результат оказался шокирующим: сокращение времени ответа всего на пять секунд (с семи секунд до двух) позволило увеличить прибыль на 7–12% и просмотр страниц — на 25% (рис. 7.4) [150], [151]. |
![Иллюстрация к книге — Как создать продукт, который полюбят [i_075.jpg] Иллюстрация к книге — Как создать продукт, который полюбят [i_075.jpg]](img/book_covers/084/84974/i_075.jpg)
![Иллюстрация к книге — Как создать продукт, который полюбят [i_076.jpg] Иллюстрация к книге — Как создать продукт, который полюбят [i_076.jpg]](img/book_covers/084/84974/i_076.jpg)
![Иллюстрация к книге — Как создать продукт, который полюбят [i_077.jpg] Иллюстрация к книге — Как создать продукт, который полюбят [i_077.jpg]](img/book_covers/084/84974/i_077.jpg)