Книга Теория всего. Интегральный подход к бизнесу, политике, науке и духовности, страница 20 – Кен Уилбер

Авторы: А Б В Г Д Е Ж З И Й К Л М Н О П Р С Т У Ф Х Ч Ш Ы Э Ю Я
Книги: А Б В Г Д Е Ж З И Й К Л М Н О П Р С Т У Ф Х Ц Ч Ш Щ Ы Э Ю Я
Бесплатная онлайн библиотека LoveRead.ec

Онлайн книга «Теория всего. Интегральный подход к бизнесу, политике, науке и духовности»

📃 Cтраница 20

Тем временем я лично убежден, что СЭД (и последующие книги, ее развивающие) [45] может послужить в качестве полезного интегрального взгляда. Книга «Краткая история всего» является популярным изложением СЭД, и интересующиеся читатели могли бы начать с нее. Разумеется, вовсе не обязательно, чтобы вы соглашались со всем предложенным видением или даже его частью, и на самом деле вы, возможно, сумеете дать ему дальнейшее развитие, что было бы замечательно. Это просто один вариант интегрального обзора – еще одна попытка формулирования Теории Всего, полезная лишь в той мере, в какой она помогает вашему предвидению собственных интегральных возможностей. Итак, давайте взглянем на нее?

Подход полного спектра

Давайте начнем с того, что обрисуем интегральную карту человеческих возможностей. В следующих трех разделах я представлю простой обзор данной интегральной модели в том виде, в котором она проявляется в людях. Этот краткий обзор будет несколько абстрактен, так что, если вы небольшой поклонник подобного чтения, не беспокойтесь. В пятой и шестой главах мы рассмотрим множество конкретных примеров из медицины, образования, бизнеса, политики и т. д. Пока же вы можете просто ознакомиться с общими идеями, каждая из которых резюмирована доступным образом на сопровождающих текст иллюстрациях.

Поскольку мы уже прибегали к спиральной динамике как одному из возможных примеров уровней или волн развития сознания, то можно продолжить использовать данную модель и затем встроить ее во «всеквадрантное, всеуровневое» понимание, как показано на рис. 3.1.

Иллюстрация к книге — Теория всего. Интегральный подход к бизнесу, политике, науке и духовности [i_003.jpg]

Рис. 3.1. Некоторые примеры четырех квадрантов в применении к человеку


В отношении рис. 3.1 можно отметить следующие вещи. Четыре квадранта [46] (которые полностью будут объяснены в следующих главах) просто описывают четыре самых важных измерения Космоса, а именно – внутреннее и внешнее, индивидуального и коллективного. Если вы взглянете на рис. 4.4 на стр. 101, то сможете увидеть несколько конкретных примеров ряда холонов в каждом из квадрантов. Рис. 3.1 относится к человеческим холонам. В этом разделе мы сосредоточимся на верхне-левом квадранте в человеке (или сознании индивидуума); в следующем же разделе мы рассмотрим другие три квадранта.

Верхне-левый квадрант (который представляет внутреннее индивидуума и который на упрощенном рис. 3.1 содержит только одну линию из восьми уровней) на самом деле содержит полный спектр уровней (или волн развития – простирающихся от материи до тела, ума, души и духа; или, опять же, от архаического до магического, мифического, рационального и трансперсонального – не в качестве жестко заданных дискретных платформ, а в качестве взаимоналагающихся волн); множество различных потоков (или линий развития – различных модулей, измерений или областей развития, – включая когнитивную, моральную, аффективную, лингвистическую, кинестетическую, соматическую, межличностную и т. д.); различные состояния сознания (включая бодрствование, сновидение, глубокий сон, измененные, необычные и медитативные состояния сознания) и различные типы сознания (или возможные ориентации на каждом из уровней, включая типы личности и различные гендерные стили), – все это будет объяснено в последующих разделах. В совокупности это дает богатое текстурой холодинамическое и интегральное воззрение на сознание.

Давайте на мгновение сосредоточимся на волнах, потоках и типах. Волны – это «уровни» развития, рассматриваемые как нечто гибкое, перетекающее, взаимопереплетенное, то есть так, как их сегодня воспринимает большинство экспертов в психологии развития. На рис. 3.1 описаны восемь уровней развития; однако, как мы увидим, я убежден, что есть по меньшей мере четыре высшие, трансперсональные или духовные волны (психическая, тонкая, причинная и недвойственная). Разумеется, ни одна из этих волн не представляет собой жестко заданной или линейной платформы, подобно множеству кирпичей, уложенных друг на друга, напротив: это флюктуирующие, перетекающие, усредненные модусы сознания.

Через эти уровни, или волны, развития протекает множество линий, или потоков, развития. Имеются убедительные данные в пользу того, что в число различных потоков, линий или модулей входят познание, мораль, идентичность, психосексуальность, идеи о благе, принятие ролей, социоэмоциональная способность, творчество, альтруизм, ряд линий, которые можно назвать «духовными» (забота, открытость, участие, религиозная вера, медитативные стадии), компетенция общения, модусы пространства и времени, аффекты/эмоции, отношение к смерти, потребности, мировоззрения, математическая компетентность, музыкальные способности, кинестетика, гендерная идентичность, защитные механизмы, межличностный интеллект и эмпатия. [47]

Одно из наиболее примечательных свойств этих многочисленных модулей, или потоков, состоит в том, что большинство из них развивается относительно независимо друг от друга. Еще только проводятся исследования, уточняющие детали их соотношений; некоторые линии необходимы, но недостаточны для других; некоторые линии развиваются в тесной взаимосвязи друг с другом. Но в конечном счете многие потоки развиваются самостоятельными темпами, со своей собственной динамикой, своим собственным уникальным образом. Человек может иметь сравнительно высокий уровень развития в одних потоках, средний в других и низкий в третьих. Общее развитие, иначе говоря, может быть довольно неравномерным.

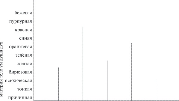
Иллюстрация к книге — Теория всего. Интегральный подход к бизнесу, политике, науке и духовности [i_004.jpg]

Рис. 3.2. Волны и потоки


Я весьма упрощенно обозначил это на рис. 3.2. Там некоторые уровни развития (или уровни сознания) представлены по вертикальной оси мемами Грейвза/спиральной динамики. [48] Я добавил к этому то, что, по моему убеждению, представляет собой три более высокие трансперсональные волны (психическую, тонкую и причинную), их мы обсудим позднее. [49] Также слева я добавил распространенные термины из христианства для обозначения полного спектра (материя, тело, ум, душа и дух), весьма обобщенно показывая их корреляции.

Вход
Поиск по сайту
Ищем:
Календарь