Книга Математика для взрослых. Лайфхаки для повседневных вычислений, страница 11 – Кьяртан Поскитт

Авторы: А Б В Г Д Е Ж З И Й К Л М Н О П Р С Т У Ф Х Ч Ш Ы Э Ю Я
Книги: А Б В Г Д Е Ж З И Й К Л М Н О П Р С Т У Ф Х Ц Ч Ш Щ Ы Э Ю Я
Бесплатная онлайн библиотека LoveRead.ec

Онлайн книга «Математика для взрослых. Лайфхаки для повседневных вычислений»

📃 Cтраница 11

Неправильной называют дробь, числитель которой больше знаменателя, например 13/2 (кстати, 6½ = 13/2).

Чтобы преобразовать смешанное число в неправильную дробь, умножьте его целую часть на знаменатель и прибавьте результат к числителю. Запутались? Пора снова браться за пиццы…

Иллюстрация к книге — Математика для взрослых. Лайфхаки для повседневных вычислений [i_086.jpg]

Чтобы преобразовать неправильную дробь обратно в смешанное число, относитесь к ней как к операции деления. Конвертируем 7/3: 7 ÷ 3 = 2 и 1 в остатке. В ответ идет 2 целых, а 1 остается над тройкой, что дает 2⅓.

Преобразование смешанных чисел в неправильные дроби обычно облегчает их умножение и деление, в чем мы сейчас убедимся.

Умножение дробей и значение слова «от»

Складывать и вычитать дроби бывает неудобно, но, к счастью, с умножением и делением все обстоит гораздо проще.

Умножение дробей часто скрывается за словом «от». Если вы говорите «три четверти от двенадцати», на самом деле вы имеете в виду 3/4 × 12. При умножении целого числа на дробь нужно выполнить две операции: умножить число на числитель и разделить на знаменатель. Вот как это будет выглядеть для 3/4 × 12.

Иллюстрация к книге — Математика для взрослых. Лайфхаки для повседневных вычислений [i_087.jpg]

Чтобы перемножить две дроби, нужно просто перемножить их верхние и нижние части.

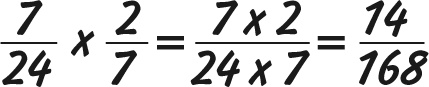
Предположим, вы каждые субботу и воскресенье по 7 часов наблюдаете за птицами. Какая это будет часть от целой недели? Суббота и воскресенье составляют 2/7 недели, а поскольку в сутках 24 часа, вы тратите 7/24 от них, пытаясь выследить пеструю камышовку или хохлатого зяблика. Получается выражение

Иллюстрация к книге — Математика для взрослых. Лайфхаки для повседневных вычислений [i_088.jpg]

Наверное, вы заметили, что 14 и 168 делятся на 14, что даст в результате 1/12. А не лучше ли вообще не связываться с такими большими числами? При умножении дробей всегда стоит поискать возможность их по ходу дела сократить. Самое оптимальное – найти одно и то же число в числителе и знаменателе дробей, потому что тогда эти числа взаимно уничтожаются.

Вернемся к выражению

Иллюстрация к книге — Математика для взрослых. Лайфхаки для повседневных вычислений [i_089.jpg]

Взгляните на две семерки: вверху дроби и внизу. Подсчитав верхнюю и нижнюю части дроби, мы в итоге придем туда, откуда начали, то есть 14/168. Вместо этого зачеркнем обе семерки и заменим их единицами. Давайте посмотрим, что еще можно сделать.

Иллюстрация к книге — Математика для взрослых. Лайфхаки для повседневных вычислений [i_090.jpg]

Итак, теперь вы знаете, что тратите двенадцатую часть недели на наблюдения за птицами. Это соответствует одной минуте из каждых 12 минут вашей жизни или же целому месяцу в год! (Если вы начнете высчитывать дроби для всех своих регулярных занятий, например для хобби или поездок на работу, результаты могут вас шокировать. К примеру, большинство людей проводят в ванной комнате около 10 дней в году.)

Есть одна старая математическая головоломка, которую время от времени перепечатывают в газетах. Сколько будет 9/10 × 8/9 × 7/8 × 6/7 × 5/6 × 4/5 × 3/4 × 2/3 × 1/2? Тот, кто решает это опубликовать, наверняка сидит в своем кабинете, поглаживая белую кошку, и демонически хохочет, предвкушая, как читатели засядут за вычисления. Однако не тут-то было: эти числа взаимно уничтожаются, и в итоге остается 1/10.

Деление на дробь

Иллюстрация к книге — Математика для взрослых. Лайфхаки для повседневных вычислений [i_091.jpg]
Чтобы поделить что-либо на число или на дробь, просто переверните число или дробь вверх ногами и вместо деления умножайте.

Звучит безумно, но, отправившись в гости к своей тетушке, вы поймете, в чем тут дело. Тетя живет в 10 милях от вас, и вы проехали половину пути – сколько это миль? Требуется вычислить «половину от десяти», и это «от» означает, что нужно умножить: 10 × 1/2. Разумеется, тот же ответ вы получите, если разделите 10 на 2.

Целые числа можно записывать как дроби с единицей внизу, тогда наше выражение можно представить как (10/1) × (1/2) = (10/1) ÷ (2/1). То есть делить на 2 или на 2/1 – это то же самое, что и «перевернуть 2 вверх ногами» и умножать на 1/2.

К задачам, которые связаны с делением на дроби, нужно подходить с умом. Положим, вы обзавелись кучей стульев и знаете, что на покраску одного стула уходит 2/3 банки краски (да, это очень маленькие банки). Если банок у вас 8, сколько всего стульев удастся покрасить?

Быстренько прикинем, что здесь к чему. Представим, что вы красите столы, и на каждый уходит 2 банки краски, а всего банок 8. Сколько столов получится покрасить? Считаем: 8 ÷ 2 = 4 стола.

Иллюстрация к книге — Математика для взрослых. Лайфхаки для повседневных вычислений [i_092.jpg]

Обратите внимание: мы делим на количество банок, которое уходит на покраску одного стола. Со стульями то же самое: нужно делить на количество банок, которое требуется на каждый стул. Таким образом, число стульев, которые удастся покрасить, будет равно 8 ÷ 2/3. Чтобы посчитать, сколько это, перевернем 2/3 вверх ногами и умножим.

Иллюстрация к книге — Математика для взрослых. Лайфхаки для повседневных вычислений [i_093.jpg]

Итак, восьми банок хватит на 12 стульев. Обратите внимание, что после деления на правильную дробь число становится больше, чем было вначале.

Иллюстрация к книге — Математика для взрослых. Лайфхаки для повседневных вычислений [i_094.jpg]

Получив такой ответ, убедитесь, что он соответствует действительности. Если на каждый стул нужно 2/3 банки, тогда одной банки хватит на покраску одного стула и еще немного краски останется. Значит, имея 8 банок, вы точно покрасите 8 стульев плюс еще несколько, так что ответ 12 выглядит вполне резонным.

Вход
Поиск по сайту
Ищем:
Календарь