Книга Геймдизайн, страница 99 – Джесси Шелл

Авторы: А Б В Г Д Е Ж З И Й К Л М Н О П Р С Т У Ф Х Ч Ш Ы Э Ю Я
Книги: А Б В Г Д Е Ж З И Й К Л М Н О П Р С Т У Ф Х Ц Ч Ш Щ Ы Э Ю Я
Бесплатная онлайн библиотека LoveRead.ec

Онлайн книга «Геймдизайн»

📃 Cтраница 99

• Возможность персонализировать героев и окружение влияет на исход истории, и одна и та же история начинает выглядеть совершенно по-разному. Как я могу дать игрокам возможность персонализировать историю?

• Хорошим историям присущи хорошие кривые интереса. Соответствуют ли правила моей игры нормам хорошей кривой интереса?

• Хороша только та история, которую можно рассказать. Будет ли кому-то интересно послушать историю, пересказанную вашими игроками?

Эти два метода охватывают 99 % всех создаваемых сегодня игр. Интересно то, насколько они противоположны друг другу. Для жемчужной нити требуется написанная заранее линейная история, а генератор историй работает на полную мощность, если заранее записывается лишь небольшой отрезок истории. «Между ними наверняка есть что-то среднее! – слышится крик мечтателя. – Ни один из этих методов нельзя назвать идеальным интерактивным повествованием! Первый метод – просто линейный путь, а второй даже повествованием назвать сложно – это просто геймдизайн! А как же мое видение ветвистого древа историй, полного ИИ-персонажей, и с десятками неожиданных концовок, которыми зритель пожелает наслаждаться вновь и вновь?»

Хороший вопрос. Почему эта версия не является реальностью? Почему это не доминантная форма интерактивного повествования? В такой ситуации часто винят издателей, ограниченные вкусы массовой аудитории и ленивых геймдизайнеров, но их вины здесь нет. Причина того, что это видение не является реальностью, в том, что его реализация связана с большим количеством сложных и пока еще не решенных задач (а многие из них, возможно, никогда не будут решены). Это реальные и серьезные проблемы, заслуживающие внимательного изучения.

Проблемы

Проблема 1: Хорошим историям свойственно единство

На самом деле, сделать дерево интерактивной истории несложно. Пусть каждое принимаемое вами решение ведет к новым вариантам выбора, которые подводят к еще большему количеству вариантов и т. д. Сделайте это, и у вас будет нескончаемое множество всевозможных историй. Но сколько из них будут по-настоящему увлекательны? Какой будет их кривая интереса? Что мы знаем о хороших историях наверняка, так это то, что им присуща твердая последовательность: проблема, о которой рассказывается в начале истории, является движущей силой всех последующих событий. Давайте представим интерактивную историю Золушки. «Вы – Золушка. Ваша мачеха велела вам вычистить камин. Вы: а) выполняете поручение или б) собираете свои вещи и уезжаете?» Если Золушка уезжает и, скажем, находит себе работу секретаря, это уже не история о Золушке. Причина ущербного положения Золушки заключается в том, что она может из него выбраться – эффектно, внезапно и неожиданно. Ни одна концовка из тех, которые можно придумать для Золушки, не сравнится с уже существующей, потому что вся история создана как одно целое – начало и концовка дополняют друг друга. Создать историю с двенадцатью концовками и одним началом, идеально подходящим каждой из двенадцати концовок, по меньшей мере трудновыполнимо. В результате мы имеем большое количество разветвленных интерактивных историй, отличающихся лишь слабым построением, разобщенностью и большим количеством «воды».

Проблема 2: Комбинаторный взрыв

Я боюсь, что реальностей слишком много.

Джон Стейнбек. Путешествие с Чарли в поисках Америки

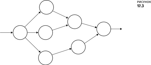
Это только предположить легко: в этой сцене я дам игроку три варианта выбора, три в следующей сцене и т. д. Но представьте, что в вашей истории игроку нужно принять 10 решений, каждый раз выбирая один вариант из трех. И раз каждое решение ведет к уникальному событию и еще трем возможным решениям, вам нужно написать 88 573 различных исхода для всех вариантов решений, которые игрок может принять. И если вы посчитаете, что 10 решений – это мало, и захотите добавить 20 сцен, на каждой из которых у игрока будет три возможных варианта продолжения игры, тогда приготовьтесь к тому, что вам нужно продумать 5 230 176 601 вероятный исход. Эти огромные цифры делают любое осмысленное разветвленное повествование невозможным в силу ограниченности отведенного нам времени. Как следствие, когда дело касается большого количества сюжетных линий, большинство авторов предпочитают просто объединять вероятные исходы – что-то в этом роде.

Иллюстрация к книге — Геймдизайн [i_095.jpg]

Это действительно упрощает управление историей, но посмотрите, что только что произошло. Все решения, принимаемые игроками (а здесь их не так уж много), приводят их к одному и тому же исходу. Насколько значимыми могут быть разные решения, приводящие в итоге к одному и тому же результату? Использование комбинаторного взрыва разочаровывает, оно ведет к уступкам, вы постоянно чем-то жертвуете, перематываете все это скотчем, чтобы не развалилось, а в итоге приходите к слабой и неинтересной истории. К тому же вам приходится написать множество сцен, большинство из которых никто так и не увидит.

Проблема 3: Множественные концовки разочаровывают

Есть одна вещь, о которой авторы интерактивных историй фантазируют чаще всего: как это чудесно, что одна история может иметь множество концовок. Ведь это означает, что игрок получает возможность пережить один и тот же опыт, но каждый раз по-новому! Но, как и в случае с большинством фантазий, реальность разочаровывает. В играх уже неоднократно предпринимались попытки сделать историю с различными концовками. Практически всегда, доходя до одной из возможных концовок, игрок ловит себя на одной из двух следующих мыслей.

1. «А это настоящая концовка?» Иными словами, это долгожданный счастливый конец или тот, который лучше всего соответствует началу истории? Мы все мечтаем о том, что когда-нибудь сумеем написать равноценные концовки, но этому не суждено случиться – ведь хорошим историям свойственно единство. Игроки, подозревая, что они находятся не на том пути, перестают следовать истории и начинают думать, что они сделали не так. А это, в свою очередь, нивелирует саму суть повествования. В этом смысле жемчужная нить имеет огромное преимущество: игрок всегда находится на том пути, что изначально предусмотрен для него сюжетом, и он осведомлен об этом, потому решение каждой последующей задачи – еще один шаг на пути к финалу.

2. «Мне что, нужно пройти все заново, чтобы увидеть другую концовку?» Предоставив игроку возможность самому выбирать свой путь, мы всеми силами стараемся разнообразить гейм-плей, но на деле это редко срабатывает. Вместо того игрок отправляется в длинное однообразное путешествие по сюжетной линии, которое, вероятно, не стоит потраченного времени и усилий. Есть немалая вероятность того, что он столкнется с повторяющимся контентом во время всех последующих прохождений (результат уступок при использовании комбинаторного взрыва), что, конечно, выглядит очень неприглядно при взгляде через призму 4: Призму сюрприза. В некоторых играх с этой проблемой пытались справиться, прибегая к новаторским подходам. Противоречивая игра Psychic Detective (один из обзоров этой игры вышел под заголовком «Одна из худших игр в истории. Но также шедевр») представляла собой непрерывный 30-минутный опыт, каждый раз завершавшийся схваткой со злодеем. Ваши силы определялись тем, как вы проявили себя на протяжении всей игры. Таким образом, чтобы победить, нужно было проходить игру снова и снова. В игре присутствовали довольно сложные отрезки, сопровождаемые видеороликами. Поскольку игроку нужно было проходить эти участки каждый раз заново, дизайнеры записали несколько версий этих сложных моментов, в которых разными словами игроку доносилась одна и та же информация. Несмотря на то, сколько сил дизайнеры потратили в попытках решить проблему повторяющегося контента (и многих других проблем), игроки находили повторяющиеся истории утомительными и скучными.

Реклама
Вход
Поиск по сайту
Ищем:
Календарь