Книга Футболоматика, страница 65 – Дэвид Самптер

Авторы: А Б В Г Д Е Ж З И Й К Л М Н О П Р С Т У Ф Х Ч Ш Ы Э Ю Я
Книги: А Б В Г Д Е Ж З И Й К Л М Н О П Р С Т У Ф Х Ц Ч Ш Щ Ы Э Ю Я
Бесплатная онлайн библиотека LoveRead.ec

Онлайн книга «Футболоматика»

📃 Cтраница 65

Четыре из моих стратегий ставок дают очень разные прогнозы. Для матча четвертого тура «Челси» – «Вест Бромвич Альбион» стратегия ставок на отклонения предполагает, что «Челси» победит, а стратегия показателей эффективности отдает предпочтение «Вест Брому». Чтобы примирить эти противоречивые советы, я беру среднее предсказание каждой из четырех стратегий и сравниваю их с шансами букмекеров, применяя тест p > 1 / o. Я делаю ставку на результат только в том случае, если он превосходит котировки букмекеров. Для матча «Челси» – «Вест Бром» вероятность победы гостей из стратегии показателей эффективности перевешивает стратегию ставок на отклонения, и моя общая модель поддерживает ставку на «Вест Бром».

И последнее, но не менее важное: «спроси мою жену». Как знает Ловиса, я очень ценю ее мнение, но не делаю так, как она говорит, – я слишком упрям для этого. Поэтому она не может никак влиять на мои ставки. Вместо этого я сниму 100 фунтов с нашего совместного сберегательного счета, куда я положил деньги от Bloomsberry, и отдам их Ловисе. Она инвестирует их в собственную стратегию ставок. Оставшиеся 402,10 фунта я инвестирую в остальные четыре стратегии. Посмотрим, кто справится лучше.

Глава 13
Результаты готовы

Если вы инвестируете в команду (как тренер, футболист или фанат), то отдаете себя в руки непредсказуемости. Я привык к переживаниям от испытаний и невзгод – и редких триумфов – «Ливерпуля», а также от просмотра серии пенальти в чемпионате района с участием моей команды десятилетних. Но тут расслабиться не удастся: мне необходимо ставить на каждый матч, да еще и профессиональная репутация на кону! Забитые голы, упущенные моменты – и все это происходит на моих глазах по телевизору или на моем постоянно вибрирующем телефоне, который присылает обновления в режиме реального времени. Время от времени кажется, что я сорвал большой куш; в других случаях больше похоже на то, что я не дам ни одного правильного прогноза за весь уик-энд. Трудно оставаться рациональным, когда все постоянно изменяется.

Счастливчик Люк и бедовая Джейн

Представьте себе игрока – я назову его Люком, – который в течение пяти туров в пятницу днем делает ставки в размере 5 фунтов на каждый из 10 матчей в Премьер-лиге (стартовый капитал Люка составляет 100 фунтов). Левый график на рисунке 13.1 показывает ход его ставок. Похоже, он знает, что делает, поскольку спустя пять туров и 50 матчей он превратил свои 100 фунтов в почти 250. Помимо этого он имеет надежный рост. Люк не выигрывает на каждой ставке, но его капитал стабильно растет.

Теперь рассмотрим другого игрока, Джейн, у которой такой же стартовый капитал, как и у Люка. Она также ставит по 5 фунтов. Но дела у нее идут не так хорошо – что мы и видим на правом графике на рисунке 13.1. Первые несколько матчей заканчиваются для нее неплохо, но после все идет под откос. Выигрышные серии длятся недолго. Проигрыши продолжаются и продолжаются – она не выигрывала в шести или семи ставках подряд. После 50 матчей у Джейн осталось около 20 фунтов – одна пятая ее стартового капитала.

Люк и Джейн – компьютерная симуляция двух разных моделей. В первой симуляции Люк делает ставки наугад. Он с равной вероятностью выбирает победу хозяев, гостей или ничью, а затем ставит на выбранный исход. Модель предполагает, что предложенные ему котировки являются истинным отражением вероятностей результата матча, но при этом букмекеры имеют выгоду размером в 1,5 %. Люку везет: он продолжает выигрывать, хотя понятия не имеет, что делает. Он ставит наугад.

Модель Джейн отличается. Я предположил, что она знает больше букмекеров. Даже с учетом выгоды в 1,5 % я дал Джейн преимущество в 1 % над букмекерами. Но даже этого недостаточно, чтобы избежать случайности – неудача преследует ее, и Джейн продолжает проигрывать. Она делает все правильно, но не в силах изменить ситуацию, чтобы ее действия приносили прибыль.

Иллюстрация к книге — Футболоматика [i_089.jpg]

Рисунок 13.1. Изменения капитала для Люка (a) и Джейн (b) в нашем моделировании ставок.


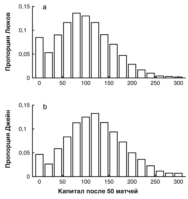
Возможно, Люк и Джейн – всего лишь компьютерные симуляции, но они олицетворяют множество реальных историй. В мире случайности идиоты могут побеждать, а талантливые люди проигрывать – иногда трудно отделить одних от других. У нас есть преимущество: когда мы имеем дело с симуляциями игроков, мы можем запускать их множество раз и пытаться отделить удачу от навыков. Я симулировал модели Люка и Джейн по 10 000 раз, а затем записал, сколько денег у них осталось после 50 матчей. Рисунок 13.2 показывает полученные результаты. Каждый столбец на гистограммах отображает пропорцию симуляций, в которых у Люка или Джейн оставалась определенная сумма денег. Теперь мы действительно можем увидеть разницу между Люком и Джейн. Около 8 % всех Люков обанкротились после 50 матчей, в то время как без денег оказались лишь 5 % всех Джейн. В среднем Джейн увеличивают свой капитал и заканчивают с капиталом около 113 фунтов, в то время как у Люков среднее значение оставшегося капитала равно 86 фунтам.

Иллюстрация к книге — Футболоматика [i_090.jpg]

Рисунок 13.2.


Конечно, в реальной жизни Люк и Джейн не получают 10 000 шансов на то, чтобы опробовать свои стратегии. У них есть всего лишь один. Моделирование, показанное на рисунке 13.1, выглядит идеально, но имеет шансы осуществиться. Два распределения на рисунке 13.2 немного отличаются друг от друга, но несущественно. После 50 ставок в 62,6 % симуляций у Джейн больше денег, в 37,4 % – у Люка.

Проблема для реальных Люка и Джейн заключается в том, что они не знают, выбрали ли они лучшую стратегию. Все, что они могут делать, – это следить за результатами. После прибыльных туров Люк, возможно, уже хвастается друзьям своей невероятной стратегией. Ему видится в этом закономерность; он посещает специализированные сайты, где делится со всеми своей невероятной «системой». В это же время Джейн приуныла. Ей казалось, что за ее стратегией стоит серьезный анализ, но результат не приходит. Она отказывается от этой стратегии и пытается найти что-то новое. Мир азартных игр полон Люков и Джейн, обманутых кратковременной случайностью.

Каналы ставок

Помня о Люке и Джейн, я наблюдал за тем, как четыре стратегические модели выполнялись в течение четырех туров сезона-2015/16. Прежде чем делать ставки, я рассмотрел, как стартовый капитал в 100 фунтов изменился бы, если бы я делал ставку согласно каждой стратегии каждую неделю – результат показан на рисунке 13.3. Разница между стратегиями огромна. В первом туре прогнозы Принс-Райта зашли на ура. Моя стратегия, основанная на его предсказаниях, предугадала важные победы «Кристал Пэлас» и «Ливерпуля», а также ничью «Ньюкасла» и «Саутгемптона». Стратегия показателей эффективности и индекс Euro Club потеряли деньги. Стратегия ставок на отклонения, которая поддерживала явных фаворитов и ничьи равных соперников, принесла несколько выигрышных ставок. Однако спустя несколько недель удача Принс-Райта закончилась, а стратегия показателей эффективности (которая предсказывала падение «Челси») стала приносить прибыль. Стратегия ставок на отклонения продолжила стабильный рост, в то время как индекс Euro Club страдал от вымывания капитала.

Вход
Поиск по сайту
Ищем:
Календарь