Онлайн книга «Все формулы мира»
|
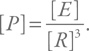
Идея метода крайне проста. Мы хотим получить формулу для расчета какой-то величины A, имеющей определенную размерность. Подумаем, от каких параметров она может зависеть. Пусть это другие величины B, C, D. Обычно зависимости носят степенной характер (т. е. величины входят в конечную формулу в какой-то степени). Возьмем выбранные нами величины, а показатели их степени будут нашими неизвестными: x, y, z. Наше гипотетическое уравнение имеет вид: A = BxCyDz. Теперь существенно, что все это – размерные величины [97]. Размерность обозначают символом величины в квадратных скобках: [A]. Значит, для размерностей должно выполняться то же самое уравнение: ![]() Ведь если слева секунды, то и справа должны получаться секунды, а не сантиметры или граммы. Уравнение для размерностей дает нам систему простых линейных уравнений, решение которой может дать показатели степени x, y, z. Иначе говоря, мы найдем нашу искомую формулу. Конечно, в ней также могут быть безразмерные коэффициенты. С ними разбираться уже сложнее, но иногда и это оказывается возможным. Посмотрим на примеры. Начнем с оценки давления в центре Солнца (а затем получим температуру, правда, уже не методом размерностей, а используя физику 10-го класса средней школы). Солнце находится в состоянии гидростатического равновесия. Градиент давления (оно растет внутрь) уравновешивает силу тяжести. Значит, давление должно выражаться через параметры, связанные с солнечной гравитацией. Таким образом, в нашу формулу войдет масса Солнца M и гравитационная постоянная G. Сила гравитации зависит от расстояния. Характерный масштаб в задаче – размер Солнца, R. Добавим и его. Тогда для давления получим: ![]() Теперь займемся размерностями. С массой и радиусом все просто: [M] = г, [R] = см. Давление – это в первую очередь плотность энергии, т. е. для него можно записать: ![]() Размерность энергии, выраженную через базовые величины, можно вспомнить благодаря формуле E = mv2 / 2: [E] = г см2 с–2. Значит, для давления получим: [P] = г см–1 с–2. Остается гравитационная постоянная. Ее размерность, конечно, можно взять из справочника, а можно вспомнить закон всемирного тяготения: ![]() Для размерностей должно выполняться такое же соотношение: ![]() Иначе говоря, [G] = [F][R]2 / [M]2. Размерность силы (напомним, что сила равна произведению массы на ускорение) равняется г см с–2. Значит, [G] = г см с–2 см2 г–2 = г–1 см3 с–2. Теперь можно вернуться к нашему уравнению для давления, записав его для размерностей: г см–1 с–2 = (г–1 см3 с–2)x (г)y (см)z. Преобразуем правую часть и упорядочим ее, получим: г см–1 с–2 = гy–x см3x+z с–2x. По отдельности должны выполняться равенства для каждой базовой размерности слева и справа, т. е. имеем систему уравнений: 1 = y – x; –1 = 3x + z; –2 = –2x. Решая ее, получим: x = 1; y = 2; z = –4. Иначе говоря, P = GM2R–4. Это то, что мы и хотели! Формула для расчета давления в недрах Солнца!!! Остается подставить солнечную массу (2·1033 г) и радиус (696 000 км). Получим, что давление в центре Солнца в 10 млрд раз больше атмосферного давления у поверхности Земли! Чтобы получить температуру, возьмем формулу для идеального газа из школьного учебника: ![]() где V – объем,
![]() Остается подставить числа. Ответ – температура порядка 20 млн Кельвин. Полученные нами оценки температуры и давления близки к верным значениям. Аналогично можно получить формулу для периода пульсаций звезды. Правда, здесь ответ будет менее точным из-за наличия безразмерного коэффициента, который нам трудно определить точно таким же методом. Зато зависимость от ключевых величин мы получим правильную. Снова будем искать формулу для периода в виде GxMyRz. Есть всего лишь один набор показателей степени x, y, z, дающих величину с размерностью времени. Эта комбинация: R3 / 2 / (GM)1 / 2. Заметим, что частное от деления массы на куб радиуса имеет размерность плотности. Тогда получим, что период пульсаций звезды (вообще, газового шара), Ppuls, пропорционален квадратному корню из произведения гравитационной постоянной на среднюю плотность. А поскольку G – постоянная, то важным фактом является пропорциональность периода пульсаций обратному квадратному корню из плотности: ![]() У звезд типа Солнца чем меньше масса, тем выше средняя плотность. Это говорит о том, что с ростом массы растет и период пульсаций. Кроме того, низкая средняя плотность проэволюционировавших и раздувшихся звезд приводит к большим периодам, что и наблюдается. Если у Солнца основной период пульсаций составляет около часа, то у звезд-гигантов он может составлять десятки дней, что неудивительно, ведь их радиусы в сотни раз больше. |
![Иллюстрация к книге — Все формулы мира [i_024.jpg] Иллюстрация к книге — Все формулы мира [i_024.jpg]](img/book_covers/083/83179/i_024.jpg)
![Иллюстрация к книге — Все формулы мира [i_025.jpg] Иллюстрация к книге — Все формулы мира [i_025.jpg]](img/book_covers/083/83179/i_025.jpg)
![Иллюстрация к книге — Все формулы мира [i_026.jpg] Иллюстрация к книге — Все формулы мира [i_026.jpg]](img/book_covers/083/83179/i_026.jpg)
![Иллюстрация к книге — Все формулы мира [i_027.jpg] Иллюстрация к книге — Все формулы мира [i_027.jpg]](img/book_covers/083/83179/i_027.jpg)
![Иллюстрация к книге — Все формулы мира [i_028.jpg] Иллюстрация к книге — Все формулы мира [i_028.jpg]](img/book_covers/083/83179/i_028.jpg)
![Иллюстрация к книге — Все формулы мира [i_029.jpg] Иллюстрация к книге — Все формулы мира [i_029.jpg]](img/book_covers/083/83179/i_029.jpg)
![Иллюстрация к книге — Все формулы мира [i_030.jpg] Иллюстрация к книге — Все формулы мира [i_030.jpg]](img/book_covers/083/83179/i_030.jpg)
![Иллюстрация к книге — Все формулы мира [i_031.jpg] Иллюстрация к книге — Все формулы мира [i_031.jpg]](img/book_covers/083/83179/i_031.jpg)
![Иллюстрация к книге — Все формулы мира [i_032.jpg] Иллюстрация к книге — Все формулы мира [i_032.jpg]](img/book_covers/083/83179/i_032.jpg)
![Иллюстрация к книге — Все формулы мира [i_033.jpg] Иллюстрация к книге — Все формулы мира [i_033.jpg]](img/book_covers/083/83179/i_033.jpg)