Книга Карнавал молекул, страница 51 – Михаил Левицкий

Авторы: А Б В Г Д Е Ж З И Й К Л М Н О П Р С Т У Ф Х Ч Ш Ы Э Ю Я
Книги: А Б В Г Д Е Ж З И Й К Л М Н О П Р С Т У Ф Х Ц Ч Ш Щ Ы Э Ю Я
Бесплатная онлайн библиотека LoveRead.ec

Онлайн книга «Карнавал молекул»

📃 Cтраница 51
Иллюстрация к книге — Карнавал молекул [i_264.jpg]

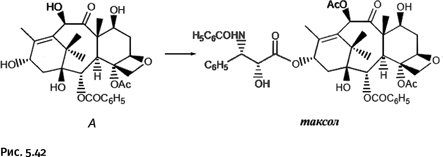
Получение таксола

В 1994 г. было начато производство этого лекарственного препарата (рис. 5.43). Затем удалось отказаться от хвои европейского тиса и производить таксол, не используя в качестве заготовки природное соединение. Полный синтез столь сложной молекулы удалось провести, используя на узловой стадии реакцию Хека.

«Зеленая аптека» постоянно предлагает настойчивым искателям новые лекарства: например, в мадагаскарском растении катарантусе и распространенном в Европе барвинке содержится эффективный противораковый препарат винкристин.

В последние годы исследователи все чаще проводят поиск в «морской аптеке», где необычные условия обитания и борьба за выживание сформировали некоторые виды растений и животных, обладающих мощными защитными механизмами.

Иллюстрация к книге — Карнавал молекул [i_265.jpg]

В начале 80-х гг. ХХ в. на дне Карибского моря была обнаружена морская губка Discodermia dissoluta (рис. 5.45). Это примитивное создание не имеет ни глаз, ни желудка, ни скелета, однако оно сохранило способность к выживанию благодаря тому, что умеет синтезировать ядовитое вещество дискодермолид (названо по имени самой губки), защищающее от нападения других существ. Оказалось, что дискодермолид – антираковый препарат, близкий по действию к описанному таксолу. Добывать губки не имело смысла, поскольку этот вид весьма немногочисленный и он, скорее всего, был бы просто уничтожен. На помощь пришла органическая химия, которая позволила осуществить синтез дискодермолида (его структура показана на рис. 5.46), причем некоторые наиболее важные стадии была проведены с помощью реакции Нэгиси.

Иллюстрация к книге — Карнавал молекул [i_266.jpg]
Иллюстрация к книге — Карнавал молекул [i_267.jpg]

Пожалуй, самый эффектный результат использования кросс-сочетания (вариант реакции Судзуки) – это синтез палитоксина, ядовитого вещества, выделенного из кораллов Zoanthid, обитающих в районе Гавайских островов. Соединение, поражающее сложностью строения, представляет собой один из сильнейших ядов (рис. 5.47).

Иллюстрация к книге — Карнавал молекул [i_268.jpg]

После того как оно было получено, стало возможным менять отдельные детали его структуры, чтобы выяснить, какая часть молекулы оказывает биологическое действие, а затем найти способ изменять активность вещества.

Реакции кросс-сочетания проложили дорогу для получения многих лекарственных препаратов сложного строения. Помимо таксола синтезированы морфин, дименицин, драгамацидин (впервые был обнаружен в морских губках, обитающих у берегов Италии), просульфурон, различные противовоспалительные лекарства, препараты от астмы и антигрибковые препараты для защиты сельскохозяйственных культур. Кроме того, эти реакции используют для получения новых полимеров, а также веществ, входящих в состав органических светодиодов, которые в перспективе позволят создать сверхтонкие дисплеи.

Коротко о лауреатах

Ричард Хек (рис. 5.48) родился в 1931 г. в Спрингфилде, штат Массачусетс, США. Он получил степень бакалавра в 1952 г., а в 1954 г. защитил диссертацию в Университете Калифорнии в Лос-Анджелесе. После двух лет работы в Цюрихе, Швейцария, возвратился в Лос-Анджелес, с 1971 г. занимал должность профессора химии в Университете штата Делавэр, в 1989 г. вышел в отставку, сохранив звание почетного профессора этого университета. Удостоен премии Г. Карозерса за творческое применение химии в коммерческом производстве (2005) и премии Г. Брауна за творческие разработки синтетических методов в химии (2006). Р. Хек женат на филиппинке и в настоящее время проживает на Филиппинах, где жизнь, с его слов, истинное наслаждение.

Эйити Нэгиси (рис. 5.49) родился в 1935 г. в Чанчуне, бывшем в то время столицей провинции Маньчжоу-Го под японским контролем (сейчас г. Цзилинь, Китай), в 1958 г. окончил Токийский университет, затем стажировался в полимерной компании «Тейджин», после чего учился в США и в 1963 г. получил докторскую степень в Университете Пенсильвании. С 1966 г. работал в Университете Пердью под руководством профессора Герберта С. Брауна, лауреата Нобелевской премии 1968 г., и до сих пор считает его лучшим учителем и наставником. В 1972 г. Нэгиси работал в должности доцента в Университете Сиракуз, где в 1979 г. получил звание профессора и в том же году вернулся в Университет Пердью.

С 1997 г., после получения премии Гумбольдта, и до конца 2001 г. работал в Германии (в Институте органической химии Геттингенского университета, в Институте органической химии Берлинского технического университета, в Институте органической химии Мюнхенского технического университета). Наиболее значимым в современной химии Нэгиси считает тот факт, что переходные металлы вошли в органическую химию. В настоящее время он почетный профессор Университета Хоккайдо в Саппоро, Япония.

Иллюстрация к книге — Карнавал молекул [i_269.jpg]

Выступая на нобелевском банкете от имени трех лауреатов, ученый сказал, что лучшая награда для любого исследователя – увидеть, что его работа выходит за пределы научной лаборатории.

В 1998 г Э. Нэгиси был удостоен премии Американского химического общества за исследования в области металлоорганической химии, а в 2000 г. – премии Королевского общества химии им. Э. Франкланда, присуждаемой выдающимся лекторам.

Акира Судзуки (рис. 5.50) родился в 1930 г. в г. Мукава на острове Хоккайдо, учился в Университете Хоккайдо и, защитив там диссертацию, стал работать в качестве доцента. С 1963 по 1965 г. работал под руководством Г. Брауна в Университете Пердью, США, который в 1966 г. стал научным руководителем Эйити Нэгиси. Таким образом, нобелевский лауреат Г. Браун вырастил двух нобелевских лауреатов.

Иллюстрация к книге — Карнавал молекул [i_270.jpg]

После возвращения из Университета Пердью Судзуки занял должность профессора в Университете Хоккайдо. Затем работал в Университете науки г. Окаяма (1994–1995) и в Университете науки г. Курашики (1995–2002). Некоторое время проводил исследования в Великобритании, Китае и на Тайване. В настоящее время работает в Университете Хоккайдо в Саппоро, Япония. По мнению А. Судзуки, для Японии очень важно международное академическое сотрудничество с зарубежными исследователями, в чем Япония пока явно отстает.

Итак, перед нами три химика-исследователя, их имена прославлены фактом получения Нобелевской премии и к тому же увековечены в названиях созданных ими реакций.

Невозможная реальность

Единственный способ определить границы возможного – выйти за эти границы в невозможное.

Вход
Поиск по сайту
Ищем:
Календарь