Книга Карнавал молекул, страница 44 – Михаил Левицкий

Авторы: А Б В Г Д Е Ж З И Й К Л М Н О П Р С Т У Ф Х Ч Ш Ы Э Ю Я
Книги: А Б В Г Д Е Ж З И Й К Л М Н О П Р С Т У Ф Х Ц Ч Ш Щ Ы Э Ю Я
Бесплатная онлайн библиотека LoveRead.ec

Онлайн книга «Карнавал молекул»

📃 Cтраница 44
Иллюстрация к книге — Карнавал молекул [i_235.jpg]
Упрощенный язык биохимиков

Прежде чем мы рассмотрим строение молекулы инсулина, познакомимся вкратце с тем, как биохимики изображают молекулы белков. Все белки представляют собой полимеры, цепи которых собраны из фрагментов аминокислот. Аминокислоты – это органические соединения, содержащие в своем составе (в полном соответствии с названием) аминогруппу NH2 и органическую кислотную, т. е. карбоксильную, группу СООН. В образовании белков участвуют только такие аминокислоты, у которых между аминогруппой и карбоксильной группой всего один углеродный атом. В общем виде они могут быть представлены формулой H2N – CH(R) – COOH. Группа R, присоединенная к атому углерода (тому, который находится между аминогруппой и карбоксильной группой), определяет различие между аминокислотами, образующими белки. Эта группа может состоять только из атомов углерода и водорода, но чаще содержит помимо С и Н различные функциональные группы. Из всего многообразия существующих аминокислот (теоретически количество возможных аминокислот не ограничено) в образовании белков участвуют в большинстве случаев только 20 аминокислот, называемых фундаментальными. Для «строительства» инсулина природа использовала 16 аминокислот (из допустимых 20).

Большинство названий сложилось исторически, для их обозначения широко применяют трехбуквенные сокращения: глицин – ГЛИ, аланин – АЛА и т. д. В международной практике их обозначают с помощью латинских трехбуквенных сокращений: например, глицин – Gly, аланин – Ala и др.

Белковая молекула образуется в результате последовательного соединения аминокислот, при этом карбоксильная группа – COOH взаимодействует с аминогруппой – NH2 соседней молекулы, в результате образуется пептидная связь – CO – NH– и выделяется молекула воды. На рисунке 5.9 показано последовательное соединение аланина, валина и глицина.

Иллюстрация к книге — Карнавал молекул [i_236.jpg]

Из этой схемы следует, что при любом количестве соединяемых аминокислот на одном конце возникшей цепочки обязательно будет находиться аминогруппа – NH2, а на другом – карбоксильная группа – C(O)OH. Таким образом, вместо структурной формулы мы можем использовать сокращенное обозначение получившегося соединения: АЛА-ВАЛ-ГЛИ. Поскольку количество аминокислот, используемых природой, всего 20, то подобные сокращения позволяют компактно записать формулу любого белка и никакой неясности при этом не возникает.

Молекула инсулина, как установил Ф. Сенгер, состоит из 51 аминокислотного остатка (это один из самых короткоцепных белков) и представляет собой две соединенные между собой цепи неодинаковой длины. На рисунке 5.10 показан порядок чередования аминокислотных фрагментов, обозначенных трехбуквенными сокращениями.

Иллюстрация к книге — Карнавал молекул [i_237.jpg]

Обратите внимание: содержащиеся в цепи остатки аминокислоты цистеина (сокращенное обозначение ЦИС) образуют дисульфидные мостики – S – S–, которые связывают две полимерные молекулы и, кроме того, образуют перемычку внутри одной цепи. При таком компактном изображении белковой молекулы символы химических элементов используют только для обозначения дисульфидных мостиков и концевых групп (NH2 и COOH).

Для сравнения рассмотрите структурную формулу инсулина в виде объемной шаростержневой модели (рис. 5.11).

Иллюстрация к книге — Карнавал молекул [i_238.jpg]
От демонтажа – к сборке

Казалось бы, после того как установлена структура молекулы, синтезировать ее заново не составит большого труда. Если какая-либо деталь собрана на резьбовых соединениях, то разобрать и собрать ее несложно, нужны лишь отвертка или гаечный ключ. Но если изделие представляет собой отливку или это сварное изделие, то разобрать (разрезать или распилить), а затем собрать его вновь совсем не просто. В этом случае разборка и сборка (по способам решения) совершенно разные задачи.

Основная трудность при сборке белковой молекулы – добиться, чтобы необходимые аминокислоты соединялись строго в намеченном порядке. Так как каждая аминокислота может реагировать не только с другой аминокислотой, но и сама с собой, то в итоге может получиться молекула, не имеющая ничего общего с тем, что синтезирует живой организм.

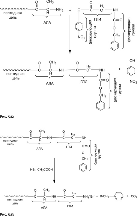
К моменту, когда решался вопрос о синтезе инсулина, было разработано несколько соответствующих методик. Чтобы аминокислота, которую необходимо присоединить к растущей цепи, не реагировала сама с собой, ее реакционноспособные концы (аминогруппу NH2 и карбоксильную группу СООН) блокировали специальным образом: карбоксильную группу переводили в п-нитрофениловый эфир NO2C6H4O–, а со стороны аминогруппы присоединяли карбоксибензильную группу – C(O)CH2C6H5. Такая блокированная с двух сторон молекула не может реагировать сама с собой, но зато она может реагировать со свободной аминогруппой, находящейся на конце растущей цепи, при этом «левая» блокировка удаляется в виде NO2C6H4OН (рис. 5.12).

На схеме (рис. 5.13) показано, что к растущей цепи, имеющей на конце фрагмент аланина (АЛА), присоединяется молекула глицина (ГЛИ), в результате растущая цепь удлиняется на одно звено. Однако теперь на конце цепи разместилась блокирующая карбоксибензильная группа – C(O)CH2C6H5. Из показанной выше схемы следует, что цепь наращивают аминокислотой со стороны «аминного хвоста» этой цепи, который оказался теперь заблокированным. Следовательно, нужно сделать этот «аминный хвост» реакционноспособным, т. е. перевести его в активную форму, что осуществляли обработкой бромоводородом с уксусной кислотой, блокировка при этом удаляется в виде Br-CH2C6H5 по схеме (рис. 5.13).

Иллюстрация к книге — Карнавал молекул [i_239.jpg]

В результате аминогруппа на конце цепи (она показана в виде аммониевой соли с HBr) вновь готова реагировать с очередной аминокислотой (естественно, тоже содержащей блокирующие группы). Параллельно были разработаны и другие методы сборки полиамидных цепей.

Штурм вершины

К полному синтезу инсулина в 1962 г. приступили практически одновременно три группы исследователей: группа Катосоянниса из Питтсбурга, США (рис. 5.14), группа Г. Цана из Аахена, Германия (рис. 5.15), а также группа китайских химиков из Шанхая и Пекина. Все три группы действовали по весьма похожим стратегиям: собрали отдельно короткую и длинную цепь из заготовленных фрагментов, а затем соединяли обе цепи дисульфидными мостиками.

Иллюстрация к книге — Карнавал молекул [i_240.jpg]
Вход
Поиск по сайту
Ищем:
Календарь