Книга Карнавал молекул, страница 2 – Михаил Левицкий

Авторы: А Б В Г Д Е Ж З И Й К Л М Н О П Р С Т У Ф Х Ч Ш Ы Э Ю Я
Книги: А Б В Г Д Е Ж З И Й К Л М Н О П Р С Т У Ф Х Ц Ч Ш Щ Ы Э Ю Я
Бесплатная онлайн библиотека LoveRead.ec

Онлайн книга «Карнавал молекул»

📃 Cтраница 2

Весь путь развития химии – это поиск способов, позволяющих раскрывать химические связи и создавать новые. Накопленный опыт позволил ученым поставить перед собой такую задачу, решение которой ранее казалась совершенно недостижимым: соединить две молекулы не химически, а механически, наподобие колец, продетых одно в другое, как в цепочке. Можно считать, что это одна из самых оригинальных и красивых задач химии. Для ее решения вначале следовало наметить путь, затем разработать план и только после этого приступать к синтезу. Еще до того, как задача была решена, для подобных соединений было выбрано название – катенаны (от лат. catena – цепь).


Идея старинной забавы

Естественно, вначале стояла цель соединить таким образом хотя бы два кольца. Проще всего изобразить такую конструкцию на пальцах, но если собирать ее из металлических колец, то необходимо потрудиться. Берем одно замкнутое кольцо и в него продеваем разомкнутое, затем разомкнутое кольцо замыкаем, звенья оказываются соединенными (рис. 1.2 и 1.3)

Теперь перейдем к аналогичной химической задаче. Размыкать и замыкать циклические молекулы химия умеет хорошо, но не существует такого пинцета, который позволил бы незамкнутую молекулу «просунуть» в замкнутый цикл (второй этап на рис. 1.3). Поэтому для решения проблемы пришлось искать другие пути.

Один из возможных способов получения катенанов был подсказан детскими играми и фокусами со склеенными бумажными лентами. Вспомните игру детства. Возьмите бумажную ленту длиной приблизительно 0,5 м и шириной 4–5 см. Склейте ее концы, у вас получится кольцо (вариант А на рис. 1.4). Теперь разрежьте это кольцо ножницами по средней линии (она обозначена на рисунке пунктиром). У вас в руках окажутся два разъединенных кольца, что достаточно очевидно и без опыта.

Иллюстрация к книге — Карнавал молекул [i_003.jpg]

Совсем иной результат получится, если при склеивании ленты один из концов вы предварительно повернете на пол-оборота. Возникнет известная лента Мёбиуса. Место спирального скручивания равномерно распределится по ленте и будет не так заметно, как это показано на рисунке. Если вы это кольцо разрежете по средней линии, то результат будет неожиданный – у вас в руках окажется всего одно кольцо, но вдвое большего диаметра (вариант Б).

Теперь проделаем третий опыт, он и приведет нас к решению задачи. Перед склеиванием поверните один из концов ленты на 360° (полный оборот). Если такую ленту разрезать по всей длине точно посередине, то вы получите два независимых кольца, продетых одно в другое (вариант В), – это и есть катенан.

Иллюстрация к книге — Карнавал молекул [i_004.jpg]

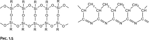
Таким образом, мы нашли один из способов решения задачи. Необходимо взять длинную молекулу, состоящую из двух цепей, соединенных поперечными сшивками. Внешне она будет напоминать ленту; такие молекулы существуют, они называются лестничными и получаются в определенных условиях из некоторых мономеров, например лестничный полисилоксан (А) и лестничный полиакрилонитрил (Б) (рис. 1.5).

К сожалению, показанная структура для решения задачи не годится. По аналогии с бумажной лентой необходимо будет химически соединить два конца молекулы, предварительно повернув один из концов на 360°. Следующий этап – расщепление всех поперечных связей, в результате получим «разрезанную» по всей длине ленту. При этом необходимо, чтобы поперечные связи химически отличались от связей в основной цепи, тогда при расщеплении перемычек сами цепи сохранятся. Показанные на рисунке 1.5 полимеры не соответствуют этому требованию.

Иллюстрация к книге — Карнавал молекул [i_005.jpg]

Мы рассмотрели только один из возможных способов решения задачи. До настоящего времени не было сведений о том, чтобы кто-то получил катенаны подобным способом. Впрочем, существуют предположения, что иногда катенаны образуются в небольших количествах случайно при получении некоторых полимеров.


Неудачные попытки

Сама идея получить катенаны давно привлекала химиков. Известный немецкий химик Р. Вильштеттер, получивший Нобелевскую премию в 1915 г. за исследование строения растительных пигментов (например, хлорофилла), обсуждал возможность решения этой задачи на семинарах в 1900–1912 гг. Российский химик академик И.Л. Кнунянц в 1929–1930 гг. предпринимал попытки получения катенанов, но размеры замыкаемых циклов были слишком малы (8–10 атомов углерода), что, как теперь понятно, не могло привести к успеху.

В феврале 1957 г. появилось сенсационное сообщение двух немецких химиков А. Колера и Г. Дитриха из г. Тюбингена, которые запатентовали получение катенана, содержащего циклы из 20 атомов углерода. Это сообщение вызвало очень большой интерес, но оказалось, что синтезированный катенан существовал только в воображении авторов работы. Синтез подтвердить не удалось, и патент был признан недействительным.

В 1960–1962 гг. попытку получить катенан предприняли американские химики Э. Вассерман и Г. Фриш. Они использовали длинные углеводородные молекулы (34 атома С), содержащие на концах реакционные группы. Их расчет строился на том, что в процессе циклизации молекулы с определенной вероятностью могут перехлестнуться, образуя катенан. Таким образом, это был синтез не целенаправленный, а вероятностный, т. е. в расчете на то, что возникнет случайный удачный вариант. В результате после многократной очистки авторы получили 5,66 мг маслообразного продукта, но подтвердить его строение им не удалось. Постепенно исследователи пришли к мысли, что получить катенан можно только в результате тщательно спланированного синтеза.


Ювелирное мастерство

Вероятно, вам доводилось видеть или держать в руках такие интересные изделия народного промысла, как цепочки из дерева или кости. Каждое звено такой цепочки сплошное, оно не размыкается. Как же их делают? Мастер вначале вырезает общие очертания звеньев, а затем аккуратно удаляет материал в том месте, где по замыслу звенья сплетаются. Когда удаляются последние остатки перемычки, связывающей звенья, кольца получают возможность свободно перемещаться одно в другом. Работа поистине ювелирная!

Именно этот принцип выбрали немецкие химики Г. Шилл и А. Люттрингхаус из г. Фрайбурга, приступая к созданию катенанов.

Поскольку нас прежде всего интересует пространственное решение, на химической стороне вопроса временно сосредотачиваться не будем.

Авторы решили сформировать кольца на основе общего центра, а затем удалить перемычки. Вначале нужно было оценить минимальный размер циклов, для которых возможно такое взаимное замыкание. Расчет показал, что циклы должны содержать не менее 20 углеродных атомов, иначе будет «очень тесно» и кольца не смогут свободно перемещаться.

Сборка катенана происходила по следующей схеме. На первом этапе был создан узел, вокруг которого началось «строительство» катенана – это бензольный цикл с двумя реакционными группами a и c. Кроме того, к циклу присоединены два длинных углеводородных «хвоста» с другими реакционными группами – e (светло-серые волнистые линии). Второй реагент – протяженная углеводородная молекула с реакционной группой b в середине цепи и двумя группами d по концам (сдвоенная волнистая полоса). Химическая природа всех реакционных групп a, b, c и d была заранее тщательно продумана, и весь синтез был очень четко спланирован. Вначале реагируют только группы a и b. Вертикальная протяженная молекула присоединяется к бензольному ядру. При этом предусмотрено, чтобы она была расположена перпендикулярно плоскости бензольного кольца (рис. 1.6).

Вход
Поиск по сайту
Ищем:
Календарь