Онлайн книга «Как изобрести все»
|
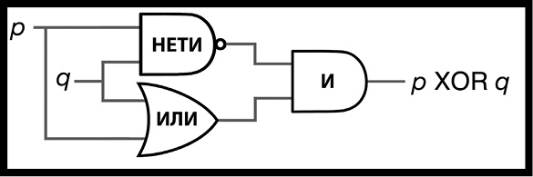
С целью сохранения времени мы не рисуем НЕТ-ячейку и И-ячейку вместе, мы совмещаем их в одном изображении, вот так (рис. 66). ![]() Рис. 66. Упрощенная НЕТИ-ячейка НЕТИ-ячейка функционирует точно так же, как НЕТИ-ячейка, которую мы нарисовали сначала, но ее можно изобразить быстрее. И мы можем продолжить, комбинируя разные ячейки, используя НЕТИ-ячейку, ИЛИ-ячейку и И-ячейку, чтобы создать новую ячейку, которая даст на выходе 1, если и только если на одном из входов есть 1. Любой другой вариант, и на выходе будет 0. Подобная ячейка именуется «эксклюзивное или» (ЭИЛИ), и ниже показано, как ее создать (рис. 67, табл. 25). ![]() Рис. 67. Полная ЭИЛИ-ячейка Таблица 25. Таблица истинности, доказывающая, что вы можете получить ЭИЛИ-ячейку из НЕТИ-ячейки, ИЛИ-ячейки и И-ячейки ![]() И точно так же, как и в предыдущем случае, мы дадим этой ячейке собственный символ (рис. 68). ![]() Рис. 68. Упрощенная ЭИЛИ-ячейка Забавный факт: кроме НЕТИ-ячейки и ЭИЛИ-ячейки, которые вы только что придумали, вы можете на самом деле сконструировать ячейку, дающую любой возможный набор выходных данных, используя только И-ячейку, ИЛИ-ячейку и НЕТ-ячейку, с которых вы начинали [239]. Итак, прекрасно, что я изобрел все эти ячейки, но ни одна из них ничего не складывает, что за дела?
Правильно. Ну, давайте определим, как должна выглядеть я чейка, способная складывать. Попробуем начать с оснований – с прибавления друг к другу бинарных чисел, что позволит нам создать клево выглядящую таблицу истинности для всех возможных исходов (табл. 26). Таблица 26. Невероятно, но не первый раз в этой книге мы объясняем, что 1 + 1 = 2 ![]() Фишка в том, что бинарная система имеет дело с нулями и единицами, и вы получили бинарное 10 (то есть 2) в одном из вариантов. Так что давайте разобьем наш канал выхода на два, чтобы каждый представлял один бинарный разряд, вот так (табл. 27). Таблица 27. Как складывать до двух в бинарном отображении ![]() Теперь у нас есть два входа (представляющих два одноразрядных бинарных числа, которые вы хотите сложить) и два выхода (представляющих двухразрядное решение, снова выраженное бинарным образом). Мы поименовали их a и b, и вместе они кодируют то, к чему приводит сложение разрядов на входе. Все, что нам теперь нужно, это разобраться, как сконструировать подобное с помощью тех ячеек, что уже есть в нашем распоряжении: И, ИЛИ, НЕТ, НЕТИ и ЭИЛИ [240]. Если вы посмотрите на паттерны единиц и нулей, образующиеся в a и b, то заметите, что они выглядят знакомыми: выход a идентичен тому, что получался у И-ячейки (p ∧ q), а b прекрасно соотносится с ЭИЛИ-ячейкой. А это делает процесс конструирования очень простым, вам всего лишь нужно соединить входы с И-ячейкой и с отдельной ЭИЛИ-ячейкой вот таким образом, и ваша складывающая машина окажется готова (рис. 69). ![]() Рис. 69. Складывающая машина Имея ее в распоряжении, вы определили операцию, которую должна совершить машина, чтобы прибавить 1 к 1. Теперь, когда вы уже знаете, чему равно 1 + 1 [241], эта машина, называемая «одноразрядный сумматор с двумя входами», выглядит совершенно бесполезной. Однако давайте еще раз посмотрим, как работает сложение. В десятичн ой системе, к которой вы привыкли, 7 + 1 равно 8, 8 + 1 равно 9, но 9 + 1 дает уже двухразрядный ответ 10 вместо одноразрядного 9. Та же самая штука происходит в бинарной, только каждая новая колонка начинается не после 10, а после 2. Учитывая это, мы должны переименовать выходы a и b более аккуратным образом: давайте назовем их s (для «суммы») и c (для «переноса»). Если с равно 1, нам нужно перенести эту единицу в новый бинарный разряд. И нечто на самом деле интересное происходит, если вы берете сумматор и присоединяете его к другому сумматору с помощью ЭИЛИ-ячейки. Новая машина, которую мы назовем «одноразрядный сумматор с тремя входами», выглядит следующим образом (рис. 70). ![]() Рис. 70. Одноразрядный сумматор с тремя входами Эта новая машина все еще выдает ваше решение как s и с (что, как мы помним, представляет «сумму» и «перенос»), как и ранее, но теперь она может принимать в качестве входа разные с. Это с позволяет вам «переносить единицу» из результата другого сумматора с тремя входами и помещать в наш сумматор. То есть мы можем создать настоящую цепь из сумматоров! Именно в этом месте начинается волшебство, поскольку с каждым новым сумматором, включаемым вами в машину, удваивается максимальное число, с которым она может управиться. Один сумматор выдает два бинарных разряда, то есть 4 возможных числа на выходе, от 0 до 3. Три сумматора поднимают планку до 16, четыре – до 32, а потом вы поднимаетесь до 128, 256, 512, 1024, 2048, 2096, 8192, 16384 и т. д., удваивая числа с каждым новым сумматором. |
![Иллюстрация к книге — Как изобрести все [i_114.jpg] Иллюстрация к книге — Как изобрести все [i_114.jpg]](img/book_covers/082/82696/i_114.jpg)
![Иллюстрация к книге — Как изобрести все [i_115.jpg] Иллюстрация к книге — Как изобрести все [i_115.jpg]](img/book_covers/082/82696/i_115.jpg)
![Иллюстрация к книге — Как изобрести все [i_116.jpg] Иллюстрация к книге — Как изобрести все [i_116.jpg]](img/book_covers/082/82696/i_116.jpg)
![Иллюстрация к книге — Как изобрести все [i_117.jpg] Иллюстрация к книге — Как изобрести все [i_117.jpg]](img/book_covers/082/82696/i_117.jpg)
![Иллюстрация к книге — Как изобрести все [i_118.jpg] Иллюстрация к книге — Как изобрести все [i_118.jpg]](img/book_covers/082/82696/i_118.jpg)
![Иллюстрация к книге — Как изобрести все [i_119.jpg] Иллюстрация к книге — Как изобрести все [i_119.jpg]](img/book_covers/082/82696/i_119.jpg)
![Иллюстрация к книге — Как изобрести все [i_120.jpg] Иллюстрация к книге — Как изобрести все [i_120.jpg]](img/book_covers/082/82696/i_120.jpg)
![Иллюстрация к книге — Как изобрести все [i_121.jpg] Иллюстрация к книге — Как изобрести все [i_121.jpg]](img/book_covers/082/82696/i_121.jpg)