Книга Предрассудки о здоровье. Жить надо с умом и правильно, страница 65 – Андрей Сазонов

Авторы: А Б В Г Д Е Ж З И Й К Л М Н О П Р С Т У Ф Х Ч Ш Ы Э Ю Я
Книги: А Б В Г Д Е Ж З И Й К Л М Н О П Р С Т У Ф Х Ц Ч Ш Щ Ы Э Ю Я
Бесплатная онлайн библиотека LoveRead.ec

Онлайн книга «Предрассудки о здоровье. Жить надо с умом и правильно»

📃 Cтраница 65

HCN ←→ Н+ + CN

синильная кислота

КCN ←→ К+ + CN

цианид калия

Na CN ←→ Na+ + CN

цианид натрия

Отвлечься от основной темы нам понадобилось для того, чтобы показать, чем определяется ядовитость того или иного растворимого в воде вещества. Растворимого! Любой яд непременно должен быть растворимым в воде, поскольку иначе он не сможет оказать действие на организм. Все жизненные процессы, все биохимические реакции нашего организма происходят в водной среде.

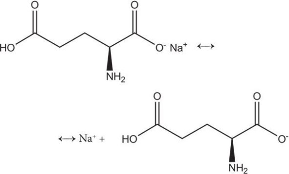
А теперь давайте посмотрим, как диссоциируют глутаминовая кислота и глутамат натрия.

Глутамат натрия диссоциирует на положительно заряженный ион натрия и отрицательно заряженный ион глутаминовой кислоты (глутамат-ион).

Иллюстрация к книге — Предрассудки о здоровье. Жить надо с умом и правильно [i_058.jpg]

глутамат-ион


Глутаминовая кислота тоже диссоциирует с образованием глутамат-иона и протона (положительно заряженного иона водорода).

Иллюстрация к книге — Предрассудки о здоровье. Жить надо с умом и правильно [i_059.jpg]

Теперь призываем на помощь логику.

Глутамат-ионы для нас с вами ядовитыми не являются. Напротив, они участвуют во многих реакциях нашего организма.

Ионы натрия тоже не являются ядовитыми. Вместе с ионами калия они выполняют в нашем организме несколько очень важных функций — обеспечивают возникновение мембранного потенциала (разница между зарядами внутренней и внешней стороны клеточной мембраны) и мышечных сокращений, поддерживают осмотическую концентрацию крови и кислотно-щелочной баланс организма, активируют ряд ферментов… Натрий наносит вред здоровью только при гипертонии, потому что обладает способностью удерживать воду в кровеносном русле, что приводит к повышению артериального давления. Лишь тем, кто страдает гипертонией, нужно снижать поступление натрия в организм, ограничивая употребление в пищу поваренной соли, глутамата натрия и продуктов, которые их содержат.

А теперь объясните, пожалуйста, — за счет чего может быть ядовитым вещество, состоящее из двух неядовитых ионов? Более того — из двух ионов, в обилии имеющихся в нашем организме!

Где ядовитый компонент глутамата натрия?

Ядовитый компонент глутамата натрия находится в воображении людей, рассуждающих о вреде этого вещества.

Все началось полвека назад, в 1968 году, когда некий Роберт Хо Ман Квок описал в американском медицинском журнале «New England Journal of Medicine» синдром, возникающий в ходе посещения китайских ресторанов. Спустя 15–20 минут после начала приема пищи возникало чувство онемения на задней поверхности шеи, которое постепенно распространялось на обе руки и спину. Онемение сопровождалось общей слабостью и учащенным сердцебиением. Примерно через два часа самочувствие приходило в норму.

Уточнение — Роберт Хо Ман Квок был не научным авторитетом, а читателем журнала и его письмо было опубликовано в разделе «Письма читателей». «Письма читателей» — это весьма удобный раздел для публикации всяких вымыслов и домыслов. Публикация научной статьи предполагает проведение какого-то исследования, результатом которого и стала статья. Читатель же может просто делиться своими впечатлениями, ничем их не подтверждая. Да, разумеется, некоторые впечатления читателей журнала могут стать толчком к совершению научного открытия, поэтому публикация их писем вполне уместна в научном журнале. Но и удобна тоже…

Неизвестно, какие именно причины побудили Роберта Хо Ман Квока написать такое письмо. Была ли у него индивидуальная реакция на какой-то распространенный компонент китайских блюд? Или же его ощущения имели психосоматическую природу? Можно допустить и то, что никаких неприятных ощущений не было вовсе, а письмо стало началом кампании, развернутой против китайских ресторанов их конкурентами. А что? Вполне возможно, ведь подавляющее большинство китайских ресторанов (за исключением элитно-аристократических) работает по принципу: «Дешево! Много! Быстро!». При таком подходе к делу от клиентов обычно не бывает отбоя. Продавать бóльшие порции, чем у китайцев, по более дешевой цене конкуренты не могли, вот и решили выставить китайскую еду вредной для здоровья.

Описанный синдром получил название «синдром китайского ресторана». Размышления о том, что такого особенного, чего нет в европейской еде, содержит еда китайских ресторанов, очень быстро привели к выводу — глутамат натрия! Восточная мудрость гласит: «Добрая слава на месте лежит, а дурная далеко бежит».

По репутации совершенно безвредной приправы был нанесен сокрушающий удар. Следом за первым письмом о «синдроме китайского ресторана» косяком пошли свидетельства других авторов, испытавших на себе «пагубное влияние» китайской еды.

К глутамату натрия было привлечено внимание ученых. Еще бы — такая насущная тема! Однако многочисленные научные исследования (те, которые заслуживали доверия), так и не смогли подтвердить вред глутамата натрия.

Приведем всего два примера — две научные статьи, опровергающие утверждение о вреде глутамата натрия. Если кому-то из читателей захочется бóльшего количества доказательств, то их можно найти в Интернете самостоятельно.

Первая статья с длинным названием «Обзор предполагаемой реакции на глутамат натрия и результат многоцентрового двойного слепого плацебо-контролируемого исследования» («Review of alleged reaction to monosodium glutamate and outcome of a multicenter double-blind placebo-controlled study»), была опубликована в американском «The Journal of Nutrition» («Журнал питания») в апреле 2000 года.

«Плацебо-контролируемое» означает, что часть участников эксперимента получает плацебо, то есть «пустышку». Это делается для того, чтобы доказать, что действие препарата не является плодом самовнушения и что препарат, в отличие от «пустышки», оказывает эффект.

«Двойное слепое» означает, что о том, кто из участников эксперимента получает исследуемый препарат, а кто «пустышку»-плацебо, не знали ни участники, ни те, кто дает им препарат и оценивает результаты его приема.

«Многоцентровое» означает, что клиническое исследование проходит на базе нескольких исследовательских центров.

Вывод был следующим: употребление в пищу глутамата натрия не влечет за собой неблагоприятных последствий [37].

Вход
Поиск по сайту
Ищем:
Календарь