Онлайн книга «Техники эффективного обучения от А до Я. Энциклопедия для родителей»
|
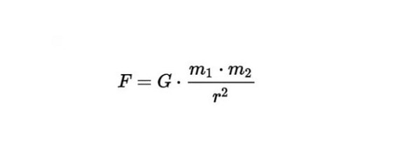
2. Запоминать с ребенком последовательности слов. 3. Развивать образную память. 4. Придумывать фразы и аббревиатуры для запоминания. Техника «Мнемотехническое выражение». Как запоминать формулы с помощью мнемотехники ![]() В школе детей знакомят с новой темой и новой формулой и начинают решать задачи. Считается, что после многократного применения формула отложится в голове. Если не отложится, то ее просто надо вызубрить. Однако, некоторые учителя забывают, что объем информации, которую получает ребенок, огромен. И помимо новой формулы по математике, ребенку надо выучить страны и столицы по географии, десяток дат и событий по истории, пару правил по русскому языку, грамматическое правило и десяток слов по английскому и т. д. В итоге формулы просто теряются в потоке информации и забываются первыми, потому что в отличие от другой информации, формулы – совершенно необразные, а порой и непонятные детям. Мозг решает их первыми забыть. Приемы которым я Вас хочу сейчас обучить, сначала могут показаться ужасно нелепыми. Мы будем использовать технику эффективного обучения «Мнемотехническое выражение». К нелепостям очень быстро привыкаешь, тем более, что именно благодаря глупостям, смешным моментам обычно бывает легко запомнить сложную для зазубривания информацию. Например, падежи русского языка легко запомнить с помощью довольно нелепой фразы: Иван родил девчонку, велел тащить пеленку. Начнем с математики, царицы наук. Запомним формулу площади круга: ![]() Супермен (S) бегал ровно (=) по всей площади круга за мышью (Пи), излучающей радиацию в квадрате (r^2). Желательно, чтобы в выражении был намек на то, о чем эта формула. Число Пи можно сравнить с мышью, ведь мышь пищит. Эта формула легко выводится логически, однако такие подсказки позволяют вспомнить ее в трудный момент (например, на контрольной). Запомним формулу посложнее. Перейдем к интегралу. Помню, в свое время хохотала над анекдотом: Встречает мастер своего преподавателя по вышке лет через восемь после окончания вуза, разговорились, вспомнили время былое. Профессор спрашивает: – Вот я Вам читал три года высшую математику, скажи, в жизни тебе мои знания когда-нибудь пригодились? Студент, подумав: – А ведь был один случай. – Очень интересно, расскажи, я его буду на лекциях рассказывать, что высшая математика не такая абстрактная наука и в жизни бывает нужна. – Шел я как-то по улице, и мне шляпу ветром в лужу сдуло. Так я взял кусок проволоки, загнул его в форме интеграла и шляпу достал. Предлагаю запомнить формулу Ньютона-Лейбница (связь между интегралом и первообразной). ![]() А и Б сидели… на этот раз не на простой трубе, а на интегальной. Рядом с ними были фантастические f хоромы, окутанные забором (х), в хоромах было что-то драгоценное, и А и Б помечтали. Они все это приравнивали (=) к разнице между Фантастическим имуществом (b) и фантастическим имуществом (а), ну а по факту фантастическим были только хоромы (х), а А и Б лишь наблюдали за этим с трубы. Подобные размышления над формулами позволяют запомнить их гораздо лучше, нежели простое зазубривание. Закон всемирного тяготения можно запомнить так: Фыркающая сила (F) подошла и поравнялась с гигантским (G) двухъэтажным (дробь) домом, где на втором этаже (числитель) были две мышки (первая и вторая), изучающие с Ньютоном закон тяготения, а на первом этаже (знаменатель) был работник (r) с квадратной головой. ![]() Выучим несколько формул по химии. Для того, чтобы их запомнить так же можно использовать мнемотехническое выражение. ![]() Формула процесса спиртового брожения глюкозы (виноградного сахара) СНОва (С…Н…О…) брожение вина (сопровождаемое двумя шестерками по краям С6 и О6) и их суммой (12) посередине (…Н12…). Ну а после брожения СНачала (СН, но два раза двоечник, потом отличник 2С2Н5) приходит к ОН (..ОН) и прибавляет двойные газы (+2СО2), которые испаряются в воздухе. ![]() Формула горения ацетилена Двоечники Углерод (С) и водород (Н) тождественно равны углероду и водороду (СН) и пяти отличникам (О), получившим двойку. В результате взаимодействия получим, что углерод получил четверку (4С) вместе с молекулой кислорода О2 и так вспотел, что выступили две капли воды (2Н2О). Такой анализ и творческий подход к запоминанию поможет не только понять формулу, но и придумать свое необычное объяснение. Что запоминается гораздо лучше механического заучивания. Далее формулы можно нанести на карточки размером с визитную карточку и положить в карман. С одной стороны написать формулу, с другой – что она обозначает. В любую удобную минутку можно достать из кармана карточки и, глядя на формулу, назвать, о чем она. А по обратной стороне карточки можно восстановить историю и вспомнить формулу. Такие процессы называются – кодирование и декодирование (расшифровка). Чтобы в совершенстве овладеть этим навыком нужны специальные тренинровки, упражнения и хорошая компания. Техника «Художник». Как запоминать стихи с помощью мнемотехники |
![Иллюстрация к книге — Техники эффективного обучения от А до Я. Энциклопедия для родителей [image035temp.jpg] Иллюстрация к книге — Техники эффективного обучения от А до Я. Энциклопедия для родителей [image035temp.jpg]](img/book_covers/082/82371/image035temp.jpg)
![Иллюстрация к книге — Техники эффективного обучения от А до Я. Энциклопедия для родителей [image036temp.jpg] Иллюстрация к книге — Техники эффективного обучения от А до Я. Энциклопедия для родителей [image036temp.jpg]](img/book_covers/082/82371/image036temp.jpg)
![Иллюстрация к книге — Техники эффективного обучения от А до Я. Энциклопедия для родителей [image037temp.jpg] Иллюстрация к книге — Техники эффективного обучения от А до Я. Энциклопедия для родителей [image037temp.jpg]](img/book_covers/082/82371/image037temp.jpg)
![Иллюстрация к книге — Техники эффективного обучения от А до Я. Энциклопедия для родителей [image038temp.jpg] Иллюстрация к книге — Техники эффективного обучения от А до Я. Энциклопедия для родителей [image038temp.jpg]](img/book_covers/082/82371/image038temp.jpg)
![Иллюстрация к книге — Техники эффективного обучения от А до Я. Энциклопедия для родителей [image039temp.jpg] Иллюстрация к книге — Техники эффективного обучения от А до Я. Энциклопедия для родителей [image039temp.jpg]](img/book_covers/082/82371/image039temp.jpg)
![Иллюстрация к книге — Техники эффективного обучения от А до Я. Энциклопедия для родителей [image040temp.jpg] Иллюстрация к книге — Техники эффективного обучения от А до Я. Энциклопедия для родителей [image040temp.jpg]](img/book_covers/082/82371/image040temp.jpg)