Книга Прайс-менеджмент, страница 97 – Герман Симон

Авторы: А Б В Г Д Е Ж З И Й К Л М Н О П Р С Т У Ф Х Ч Ш Ы Э Ю Я
Книги: А Б В Г Д Е Ж З И Й К Л М Н О П Р С Т У Ф Х Ц Ч Ш Щ Ы Э Ю Я
Бесплатная онлайн библиотека LoveRead.ec

Онлайн книга «Прайс-менеджмент»

📃 Cтраница 97

50. Schmalensee, R. (1984). Gaussian Demand and Commodity Bundling // The Journal of Business. 57(1). P. 211–230.

51. Prasad, A., Venkatesh, R. & Mahajan, V. (2015). Product Bundling or Reserved Product Pricing? Price Discrimination with Myopic and Strategic Consumers // International Journal of Research in Marketing. 32(1). P. 1–8.

52. Bayerische Motoren Werke (BMW) (2015). http://www.bmw.de/de/neufahrzeuge/7er/limou sine/2012/start.html. По состоянию на 5 ноября 2015 г.

53. Garraham, M. & Bradshaw, T. (4 апреля 2015 г.). Jay Z Relaunches Tidal as a Friend of Artists. Financial Times. P. 10.

54. Gropp, M. (1 апреля 2015 г.). Eine musikalische Unabhängigkeitserklärung: Popstars wie Madonna, Rihanna und Jay-Z fordern digitale Musikdienste mit einem eigenen Angebot heraus. Frankfurter Allgemeine Zeitung. P. 15.

Глава 7
Решение. Долгосрочная оптимизация цен
Иллюстрация к книге — Прайс-менеджмент [i_208.jpg]
Краткое содержание

Целью любой компании должна стать долгосрочная (а не краткосрочная) максимизация прибыли. Данная задача аналогична максимизации акционерной стоимости. До сих пор мы не рассматривали причинно-следственные связи на временных горизонтах. При долгосрочной оптимизации цен необходимо учитывать, что детерминанты оптимальной цены могут иметь динамический характер – это цели, функция «цена-отклик» и функция затрат. Условия конкуренции также меняются, как правило, в течение жизненного цикла продукта или рынка.

В данной главе мы изучим, как эффекты ценовых изменений, эффекты переноса и кривая опытности влияют на оптимальное ценообразование. В рамках вступительной фазы жизненного цикла продукта мы рассмотрим две стандартные стратегии – «снятие сливок» и «проникновение». Затем на примере нескольких случаев мы продемонстрируем различия между краткосрочными и долгосрочными оптимальными ценами. И в завершение мы поговорим о прайс-менеджменте и маркетинге отношений с качественной точки зрения.

7.1. Детерминанты долгосрочных оптимальных цен

В главе 5 мы рассматривали одномерные цены. Оптимизация цен сосредоточивалась на одном продукте, одной цене и одном периоде. В главе 6 мы включили в общую картину многомерные ценовые решения, то есть множественные цены для одного продукта или для нескольких. В обоих случаях мы исходили из того, что предметом анализа является только один период времени. Это так называемый статический анализ. Говоря о дифференциации исходя из временного критерия, мы не включали сюда взаимосвязи между периодами времени. Иными словами, мы проводили статичные сравнения. В этой главе мы будем явным образом учитывать несколько периодов, исходя из того, что текущая цена влияет на будущие объемы продаж и прибыли. Подобные эффекты должны приниматься в расчет при установлении текущей цены. Однако мы будем ограничиваться одним продуктом [1]. Задача анализа на основе нескольких временных периодов – установить оптимальные цены на длительный срок.

7.1.1. Долгосрочная целевая функция

Динамическая перспектива влияет на все детерминанты ценового решения, среди которых:

• целевая функция (то есть что именно мы стараемся максимизировать);

• функция «цена-отклик»;

• функция затрат.


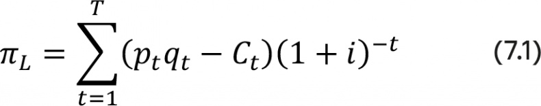
В действительности компании в большинстве случаев не занимаются максимизацией прибыли на один отдельно взятый период. Вместо этого они стараются обеспечить и максимизировать прибыль на длительный срок. Именно в этом и заключается смысл акционерной стоимости, как мы видели в главе 2. Учет множественных периодов при планировании означает, что денежные потоки возникают в различных временных точках. Эти разности по времени устраняются в долгосрочной целевой функции возвращением скидки на момент принятия решения t = 0. Целевая функция долгосрочной максимизации прибыли выглядит так:

Иллюстрация к книге — Прайс-менеджмент [i_209.jpg]

где πL – сумма дисконтированной прибыли (L означает «долгосрочный»); pt – цена в соответствующий период t = (1….,T); qt – объем продаж в период t; Ct – затраты в период t; i – процентная ставка дисконтирования.

Если соответствующие эффекты проявляются во всех периодах, все цены pt, tj (1….,T) должны одновременно включаться в решение в целях максимизации долгосрочной прибыли. Основной вызов долгосрочной ценовой оптимизации кроется в выборе между краткосрочными и долгосрочными высокими прибылями. Повышенная процентная ставка i ведет к более резкому дисконтированию последующих денежных потоков. Это значит, что они в меньшей степени влияют на общую долгосрочную прибыль. Чем выше ставка дисконтирования, тем выше степень подобия долгосрочной оптимальной цены и ее статичного аналога. На практике, однако, компания может только назначить и реализовать обязывающую цену на период 1. Таким образом, компания в целом оптимизирует цену на период 1 и принимает в расчет будущие эффекты в количественной или, как минимум, в качественной их форме.

7.1.2. Долгосрочная функция «цена-отклик»

Долгосрочный анализ позволяет расширить функцию «цена-отклик», включая следующие положения.

• Рынок и условия конкуренции в отношении продукта со временем меняются и зачастую следуют модели, которая называется жизненным циклом продукта.

• Текущие цены влияют на будущие объемы продаж и цены.


Эти положения являются фундаментальными основами долгосрочной ценовой оптимизации.

7.1.2.1. Жизненный цикл продукта

Жизненный цикл продукта или бренда можно представить в виде временного ряда продаж. Понятие жизненного цикла помогает описать и объяснить развитие процесса продаж на временном горизонте. Обычно жизненный цикл делится на четыре фазы: внедрение на рынок, рост, зрелость и спад. Единой теоретической основы данной концепции не существует. Типичная S-образная кривая жизненного цикла объясняется, как правило, результатами изучения диффузионных процессов. В частности, согласно теории Роджерса [2], распределение временных интервалов между запуском продукта и его принятием отдельными потребителями близко к нормальному. Те, кто быстро принимает новый продукт, и те, кому требуется для этого больше времени, составляют меньшинство относительно доли населения в целом, которая принимает продукт за среднее время.

Простая в понимании концепция жизненного цикла сильно повлияла на маркетинговое мышление. Следует, однако, избегать обобщенных выводов о форме кривой жизненного цикла. Жизненный цикл продукта не следует в своем развитии некоему общему закону, но подчиняется комбинации причинно-следственных факторов, специфичных для каждого продукта в отдельности. К таким факторам принадлежат уровень инновации, степень научения, которая потребуется клиентам и продавцам для ознакомления с продуктом, а также динамика конкуренции. Цены могут сильно влиять на степень диффузии.

Реклама
Вход
Поиск по сайту
Ищем:
Календарь