Книга Прайс-менеджмент, страница 84 – Герман Симон

Авторы: А Б В Г Д Е Ж З И Й К Л М Н О П Р С Т У Ф Х Ч Ш Ы Э Ю Я
Книги: А Б В Г Д Е Ж З И Й К Л М Н О П Р С Т У Ф Х Ц Ч Ш Щ Ы Э Ю Я
Бесплатная онлайн библиотека LoveRead.ec

Онлайн книга «Прайс-менеджмент»

📃 Cтраница 84
Иллюстрация к книге — Прайс-менеджмент [i_170.jpg]

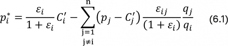
где εi – прямая ценовая эластичность, а εij – перекрестная ценовая эластичность сегмента j относительно цены pi. Уравнение (6.1) структурно соответствует так называемой формуле Ниханса [см. уравнение (6.4)] для оптимизации цен мультипродуктовыми компаниями.

В первом слагаемом мы видим формулу Аморозо – Робинсона. Член суммирования отражает влияние цены pi на спрос в других сегментах. В этом выражении только значение (1 + εi) отрицательное, так что в целом член суммирования будет отрицательным. Вместе с отрицательным знаком перед членом суммирования это дает оптимальную цену, которая выше, чем оптимальная цена полностью разделенных или изолированных сегментов рынка.

Иллюстрация к книге — Прайс-менеджмент [i_171.jpg]

Рис. 6.5. Установление единой цены и классическая дифференциация цен


Разница между оптимальными ценами в разных сегментах рынка тем выше, чем [5]:

• больше ценовые эластичности εij;

• больше удельные контрибуционные маржи в других сегментах;

• больше сегмент j зависит от объема по сравнению с сегментом i.


Вариант 3. Классическая модель ценовой дифференциации

В этом случае мы исходим из того, что есть только одна функция «цена-отклик», на основе которой можно определить оптимальные цены и сегменты одновременно (хотя сегменты не будут разделены оптимальным образом).

Классическую дифференциацию цен лучше всего отражает линейная функция «цена-отклик» [6]. Повышение прибыли за счет дифференциации цен достигается за счет извлечения надбавки потребителей.

На рис. 6.5 дается сравнение единообразного ценообразования и классической дифференциации цен. Мы принимаем в качестве исходных условий монопольную ситуацию, постоянные маржинальные затраты, отсутствие затрат на ценовую дифференциацию и линейную функцию «цена-отклик».

Общая потенциальная прибыль соответствует области треугольника А-В-С. Максимизирующая прибыль единая цена p* лежит, согласно формуле (5.3), на срединной точке между максимальной ценой В и переменными удельными затратами k. При единой цене p* компания получает прибыль, определяемую прямоугольником A-D-H-L. Прибыль при единой цене, таким образом, представлена прямоугольником, который попадает внутрь «треугольника потенциальной прибыли» A-B-C. Область треугольника D-B-H соответствует надбавке потребителей, то есть неизвлеченной готовности платить.

Если используется ценовая дифференциация с тремя ценами p1*, p* и p2*, прибыль повышается на количества, определяемые прямоугольниками D-E-F-G и L–I-J-K. Надбавка потребителей в этом случае снижается на количества, определяемые треугольниками I-H-J, G-F-H и E-B-F. Отсюда ясно, что повышенная прибыль от ценовой дифференциации получается за счет снижения надбавки потребителей. Таким образом, можно так сформулировать задачу классической ценовой дифференциации: следует двигаться от «прямоугольника к треугольнику».

На рис. 6.5 хорошо видно, что если мы имеем линейные функции «цена-отклик» и затрат, а также применяем совершенно индивидуальную, идеальную дифференциацию цен, общая прибыль вдвое выше, чем результат при единой цене [7]. Общая поверхность двух треугольников D-B-H и L-H-C такая же, что у прямоугольника A-D-H-L.

6.2.3. Внедрение ценовой дифференциации

Проблема разделения или «разбивки» рыночных сегментов не решается поиском оптимальных цен. Жизненно важно, чтобы компания добилась того, чтобы клиенты в отдельных сегментах считали цены приемлемыми и не подрывали их. Соответствующие проблемы определяются как формой ценовой дифференциации, так и ее условиями. Чтобы изучить и понять их, прежде всего проведем разбивку типов ценовой дифференциации согласно таксономии Пигу. Тогда мы сможем разобрать отдельные виды внедрения дифференциации цен.

Пигу выделяет дифференциацию цен первого, второго и третьего типов, в зависимости от степени извлечения надбавки потребителей [6].

При ценовой дифференциации первого вида продавец назначает каждому клиенту точную максимальную цену. При этом извлекается вся надбавка потребителей. Поэтому данный случай называют идеальной ценовой дифференциацией.

Если продавец способен разделить клиентов по сегментам с различными максимальными ценами, а затем установить цены для каждого целевого сегмента, это считается ценовой дифференциацией второго типа.

Клиенты по-прежнему свободны самостоятельно делать выбор, то есть они не привязаны к какому-либо сегменту. Поскольку продавец не тратится на контроль, внедрение проходит относительно гладко. Проблема в связи с ценовой дифференциацией второго типа заключается в выборе продуктов с чувствительными взаимосвязями «цена-ценность», которые оптимально удовлетворяют соответствующему сегменту рынка.

При дифференциации цен третьего типа сегменты определяются на основе наблюдаемых и целевых критериев. Оптимальная цена для каждого сегмента будет тогда определяться на этой основе. Переход потребителей между сегментами при ценовой дифференциации второго типа невозможен или возможен только за счет определенных затрат, поскольку доступ в каждый сегмент привязан к соблюдению соответствущих критериев сегментации.

На рис. 6.6 представлена связь между тремя типами ценовой дифференциации по Пигу, а также наиболее общие формы ее внедрения.

Реклама
Вход
Поиск по сайту
Ищем:
Календарь