Онлайн книга «Прайс-менеджмент»
|
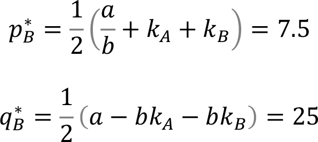
1. Определение цены pB (или объема продаж qB) таким образом, чтобы максимизировать общую прибыль (при условии, что партнеры ведут себя друг с другом честно и нет конфликта интересов). 2. Переговоры о цене pA, которая определяет распределение прибыли между двумя сторонами (разнонаправленные интересы). Функции прибыли двух компаний следующие (при условии линейной функции издержек): ![]() ![]() Единицы объема поставщика А определяются таким образом, что каждая единица клиента В содержит одну единицу поставщика А (qA = qB). Тогда совместная прибыль πT: ![]() Как можно видеть, πT не зависит от pA, так что оптимальная цена клиента В может определяться независимо от pA (этап 1). Мы используем численный пример с линейной функцией «цена-отклик», чтобы проиллюстрировать эту переговорную ситуацию: ![]() У поставщика А постоянные маржинальные затраты kA = 3, у клиента В маржинальные затраты kB = 2 (рис. 11.6). На вертикальной оси показана цена pB и соответствующий объем продаж qB (согласно функции «цена-отклик»), на горизонтальной – цена pA. ![]() Рис. 11.6. Переговорная ситуация как система изопрофитных кривых Согласия можно достичь, только если ни одна из сторон не несет убытков. Условие удовлетворяется внутри треугольника A-B-C. Вдоль линии A-B нет продаж, потому что qB = 0. Вдоль линии А-С поставщик А не получает прибыли (pA = 3 = kA). Вдоль линии В-С клиент В не получает прибыли (pB = pA + kB). Чтобы локализовать область согласия, посмотрим на точку Е (pA = 3,5; pB = 6). Точка Е лежит внутри треугольника A-B-C и в принципе позволяет прийти к согласию. Такая ценовая комбинация дает следующие прибыли: ![]() Компании, однако, могут улучшить ситуацию, подняв цену pA до 4,5 и pB до 7,5. Это дает прибыли πA = 37,5 и πB = 25 и общую прибыль πT = 62,5. За точкой F, однако, больше нет возможности одновременно улучшить показатели прибыли обеим сторонам. Это точка, где цена pB (или объем qB) максимизирует совместную прибыль πT. Можно проверить это арифметически, определив p*B и q*B для функции совместной прибыли. ![]() Это в точности значения точки F. Линия, параллельная оси pA с qB = q*B (или pB = p*B), это линия максимальной общей прибыли. Она называется «кривая контракта». Вдоль кривой контракта ни одна из сторон не может улучшить свою ситуацию, не ухудшив ситуацию другой стороны на тот же показатель. Это характеристика называется оптимальной по Парето. Но лишь отрезок кривой контракта берется за основу соглашения. Этот отрезок лежит в общей области согласия, определяемой треугольником A-B-C. Верхняя граница интервала – pA = 5,5 (потому что pB = 7,5 и kB = 2). В этой точке прибыль клиента В равна нулю. Нижняя граница определяется маржинальными затратами поставщика А и находится на pA = 3. На любой границе один из партнеров ничего не зарабатывает. Если обе стороны ведут себя рационально, они достигают согласия в интервале 3 ≤ pA ≤ 5,5. Это сводит проблему переговоров до сравнительно узкого диапазона. Результат переговоров зависит от дальнейших допущений о поведении партнеров. Подходы на основе поведенческой экономики предлагают в этом плане некоторые полезные идеи. Среди прочего эти подходы исследуют влияние ситуационных или контекстуальных переменных на исход переговоров [33]. Эти переменные включают количество человек, участвующих в переговорах [34], дефицит времени [35], наличие третьих сторон [36], раздражение и стресс [37], конфликтные ситуации или культурные различия. Ситуационные переменные всегда специфичны, и, как правило, на них нельзя повлиять, то есть из них нельзя вывести конкретные рекомендации по ведению переговоров. Можно, однако, получить некоторые данные для того, чтобы лучше оценить текущую ситуацию [33, 38]. Мы сделаем это на примере баланса сил между покупателем и продавцом. Баланс сил может влиять на пространство для маневра любой из сторон [39–41]. Как можно охарактеризовать покупателя или продавца – «сильный» или «слабый», – то есть ли у него власть над ценами, зависит от многих факторов. На силу продавца влияют такие факторы, как размер компании, прошлые объемы покупок, предполагаемый масштаб будущих заказов и кредитоспособность. Силу продавца определяет предлагаемый им уровень эффективности (качество, имидж, послепродажное обслуживание) и возможность замещения его продуктов и услуг. Эти факторы можно взвесить и подсчитать общий рейтинг для оценки силы покупателя и продавца (скоринговая модель). При данном подходе можно получить ценные данные о том, имеется ли (и если да, то до какой степени) пространство для ценового маневра. Подобный анализ можно провести на основе данных предыдущей транзакции. Баланс сил квантифицируется (с точки зрения продавца) на основе релевантных факторов, а затем полученный результат сопоставляется с реальным исходом переговоров (например, согласованной ценой или объемом). Это позволяет продавцу определить конкретные целевые ориентиры желаемого исхода переговоров. Компания Simon-Kucher & Partners регулярно применяет этот метод. Таланты команды переговорщиков оказывают существенное влияние на результат. В ходе многочисленных проектов компания Simon-Kucher & Partners квантифицировала навыки и компетентность разных команд одной и той же компании, а затем сравнивала с достигнутыми результатами переговоров. Корреляции всегда оказывались очень значительными. Характер взаимоотношений с заказчиком также влияет на пространство для маневра. На практике мы выделяем два вида таких взаимоотношений. В первом случае имеется общая почва для доверия, и переговоры проходят в справедливом ключе. Во втором случае отношения напряженные, а переговоры превращаются в поле боя. Первый случай, как правило, характеризуется низкой текучестью персонала, а при втором сотрудники часто меняются, и покупатель ставит себе агрессивные цели. Справедливые отношения не мешают занимать жесткую позицию на переговорах, однако последние в целом не оставляют неприятного впечатления. Время от времени можно видеть, что клиенты пытаются добиться дополнительных уступок, выходя напрямую на главу компании-поставщика. Здесь кроется слабое место. Поэтому поставщикам следует по возможности избегать участия CEO в ценовых переговорах. Для покупателей справедливо обратное. |
![Иллюстрация к книге — Прайс-менеджмент [i_354.jpg] Иллюстрация к книге — Прайс-менеджмент [i_354.jpg]](img/book_covers/082/82368/i_354.jpg)
![Иллюстрация к книге — Прайс-менеджмент [i_355.jpg] Иллюстрация к книге — Прайс-менеджмент [i_355.jpg]](img/book_covers/082/82368/i_355.jpg)
![Иллюстрация к книге — Прайс-менеджмент [i_356.jpg] Иллюстрация к книге — Прайс-менеджмент [i_356.jpg]](img/book_covers/082/82368/i_356.jpg)
![Иллюстрация к книге — Прайс-менеджмент [i_357.jpg] Иллюстрация к книге — Прайс-менеджмент [i_357.jpg]](img/book_covers/082/82368/i_357.jpg)
![Иллюстрация к книге — Прайс-менеджмент [i_358.jpg] Иллюстрация к книге — Прайс-менеджмент [i_358.jpg]](img/book_covers/082/82368/i_358.jpg)
![Иллюстрация к книге — Прайс-менеджмент [i_359.jpg] Иллюстрация к книге — Прайс-менеджмент [i_359.jpg]](img/book_covers/082/82368/i_359.jpg)
![Иллюстрация к книге — Прайс-менеджмент [i_360.jpg] Иллюстрация к книге — Прайс-менеджмент [i_360.jpg]](img/book_covers/082/82368/i_360.jpg)