Книга Прайс-менеджмент, страница 109 – Герман Симон

Авторы: А Б В Г Д Е Ж З И Й К Л М Н О П Р С Т У Ф Х Ч Ш Ы Э Ю Я
Книги: А Б В Г Д Е Ж З И Й К Л М Н О П Р С Т У Ф Х Ц Ч Ш Щ Ы Э Ю Я
Бесплатная онлайн библиотека LoveRead.ec

Онлайн книга «Прайс-менеджмент»

📃 Cтраница 109

Это эффект абсолютной цены ∂qt/∂pt, объем продаж qt и цена pt.

Если исходить из типичного жизненного цикла с нисходящим и восходящим трендом, объем qt вырастет до максимума в фазе зрелости. При условии отсутствия ценового эффекта и такой же цены (при прочих равных) εt будет снижаться при восходящем тренде жизненного цикла. Обратное справедливо для нисходящего тренда. Такой рост объема часто сопровождается снижением цен. Снижение эластичности в этом случае усиливается. Чтобы получить усиление (в абсолютном выражении) роста ценовой эластичности в восходящем тренде жизненного цикла, согласно Mickwitz [3], должны выполняться следующие условия.

• При постоянной цене ценовой эффект должен расти резче, чем объем продаж. Если взять реалистичные величины роста (объем продаж часто растет в 10, 20 и даже 100 раз), проблематичность данной предпосылки становится очевидной.

• Если цена снижается, ценовой эффект должен расти еще быстрее, чем соотношение (pt/qt) – снижаться. Подобное развитие событий еще менее вероятно, особенно на рынках с сильными эффектами кривой опытности. За несколько лет цены на калькуляторы, кварцевые часы, мобильные телефоны и цифровые камеры упали до незначительной доли от их начального уровня.


Всегда следует помнить, что ценовая эластичность – мера относительная. Если снижение цены в фазе внедрения составляет 10 % и объем продаж растет с 10 до 14 единиц (то есть на 4 единицы), то εt = –4. Если объем продаж позже поднимется до 1000 единиц, то аналогичное снижение цены должно увеличить объем на 400 единиц. Тогда ценовая эластичность εt = –4. Подобное невероятно, по крайней мере, без значительного изменения структуры рынка.


[2] В уравнении (7.2) коэффициент переноса считается константой. Однако, если принимать в расчет жизненный цикл продукта, способность продукта удержать существующих клиентов или привлечь новых со временем снижается. Этого следует ожидать как минимум в начале фаз зрелости и спада. Коэффициент переноса со временем снижается. Если принять экспоненциальный спад со скоростью (1 – r), это дает следующую модификацию/версию уравнения (7.2):

Иллюстрация к книге — Прайс-менеджмент [i_245.jpg]

Подобная модель переноса, которая варьируется со временем, остается простой и полезной для измерений. Она может учитывать самые разные формы жизненного цикла продукта [6].


[3] Связь между скоростью научения α и эластичностью χ становится ясна, если вставить Qt = 2Q0 и kt = (1 – α)k0 в уравнение (7.3).

Получаем (для Q0 = 1):

Иллюстрация к книге — Прайс-менеджмент [i_246.jpg]

После логарифмирования и решения получаем:


Ценовая эластичность

Иллюстрация к книге — Прайс-менеджмент [i_247.jpg]

или

Скорость научения

Иллюстрация к книге — Прайс-менеджмент [i_248.jpg]

Разница (1 – α) называется уклоном кривой опытности.


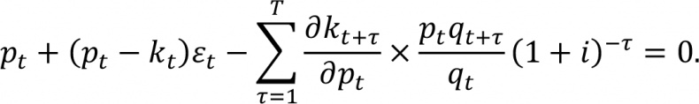
[4] Выведение долгосрочного условия оптимальности с динамической функцией затрат.

Продифференцировав долгосрочную функцию прибыли по pt, получаем:

Иллюстрация к книге — Прайс-менеджмент [i_249.jpg]

Помножив на pt/qt и вставив εt для ценовой эластичности, получаем:

Иллюстрация к книге — Прайс-менеджмент [i_250.jpg]

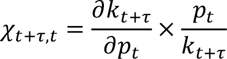
Дополняем слагаемые kt+τ/kt+τ и вставляем в

Иллюстрация к книге — Прайс-менеджмент [i_251.jpg]

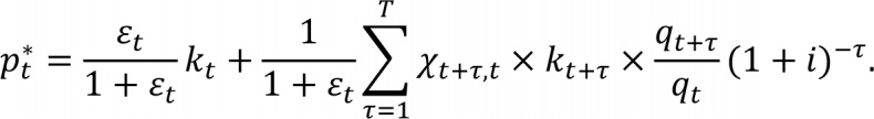
как эластичность удельных затрат в t + τ относительно цены в t. Решение для pt:

Иллюстрация к книге — Прайс-менеджмент [i_252.jpg]

Это можно записать как

Иллюстрация к книге — Прайс-менеджмент [i_253.jpg]

где

Иллюстрация к книге — Прайс-менеджмент [i_254.jpg]
Список использованной литературы

1. Simon, H. (1985). Goodwill und Marketingstrategie. Wiesbaden: Gabler.

2. Rogers, E.M. (1962). Diffusion of Innovations. New York: The Free Press.

3. Mickwitz, G. (1959). Marketing and Competition. Helsingfors: Centraltryckeriet.

4. Robertson, T. (1960). The Process of Innovation and the Diffusion of Innovation // Journal of Marketing. 31(1). Р. 14–19.

5. Rogers, E. M. (1983). Diffusion of Innovations. New York: The Free Press.

6. Simon, H. (1979). Dynamische Erklärungen des Nachfragerverhaltens aus Carryover-Effekt und Responsefunktion. In H. Meffert, H. Steffenhagen, & H. Freter (Eds.), Konsumentenverhalten und Information (p. 415–444). Wiesbaden: Gabler.

7. Friedel, E. (2014). Price Elasticity: Research on Magnitude and Determinants. Frankfurt am Main: Peter Lang.

8. Thaler, R.H. (1985). Mental Accounting and Consumer Choice // Marketing Science. 3(4). Р. 199–214.

9. Kucher, E. (1985). Scannerdaten und Preissensitivität bei Konsumgütern. Wiesbaden: Gabler.

10. Wright, J. (1936). Factors Affecting the Cost of Airplanes // Journal of Aeronautical Sciences.4 (3). Р. 122–128.

11. Henderson, B. (1968). Perspectives on Experience. Boston: The Boston Consulting Group.

12. Henderson, B. (1984). Die Erfahrungskurve in der Unternehmensstrategie. Frankfurt am Main: Campus.

13. Henderson, B. (1984). The Application and Misapplication of the Experience Curve // Journal of Business Strategy. 4(3). Р. 3–9.

14. National Human Genome Research Institute (2016). The Cost of Sequencing a Human Genome. https://genome.gov/sequencingcosts/. По состоянию на

19 декабря 2016 г.

15. Kurzweil, R. (2005). The Singularity Is Near. New York: Penguin.

16. Korstenhorst, J. (2015). The Accelerating Energy Revolution. Rotterdam: Cleantech Summit.

17. Apple Annual Report 2014 (2015). http://investor.apple.com/secfiling.cfm?filingid¼1193125-14-383437. По состоянию на 14 февраля 2018 г.

Реклама
Вход
Поиск по сайту
Ищем:
Календарь