Книга Кожа: мифы и правда о самом большом органе, страница 31 – Андрей Сазонов

Авторы: А Б В Г Д Е Ж З И Й К Л М Н О П Р С Т У Ф Х Ч Ш Ы Э Ю Я
Книги: А Б В Г Д Е Ж З И Й К Л М Н О П Р С Т У Ф Х Ц Ч Ш Щ Ы Э Ю Я
Бесплатная онлайн библиотека LoveRead.ec

Онлайн книга «Кожа: мифы и правда о самом большом органе»

📃 Cтраница 31
Иллюстрация к книге — Кожа: мифы и правда о самом большом органе [i_022.jpg]

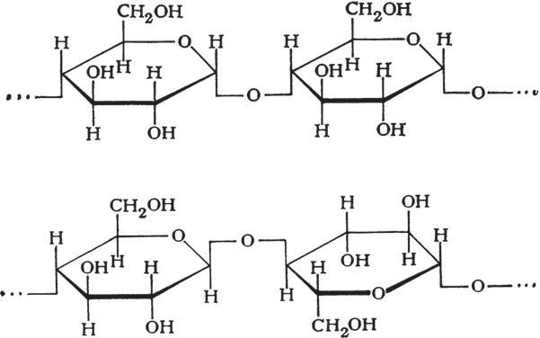
Фрагмент молекулы целлюлозы


То, что натуральная природная косметика лучше синтетической, — неверно. Но слово «натуральное» изначально является вдохновляющим, а слово «синтетическое» несет в себе потаенный негативный смысл. Опять же, здесь мы имеем дело с переносом непереносимого. Если одежда из хлопчатобумажных тканей комфортнее нейлоновой одежды, то это еще не означает того, что природный триолеат глицерина хуже синтетического. Вдобавок обратите внимание на то, что, сравнивая природный хлопок с синтетическим нейлоном, вы сравниваете два абсолютно разных по своему строению химических вещества. Хлопок — это целлюлоза плюс пять процентов жировых и минеральных примесей. А нейлон — это синтетический полиамид, то есть пластмасса на основе линейных синтетических высокомолекулярных соединений, содержащих в основной цепи амидные группы (−CONH−).

Иллюстрация к книге — Кожа: мифы и правда о самом большом органе [i_023.jpg]

Фрагмент молекулы нейлона


Сравните фрагменты молекул нейлона и целлюлозы. Тут уже можно найти куда больше отличий, чем семь, верно? Другое волокно, другие свойства, но мы противопоставляем «натуральное» «синтетическому», упуская из внимания то, что мы сравниваем козу с грозой. Помните, если, конечно, помните, песню молодой, то есть ранней, Аллы Пугачевой «Волшебник-недоучка»? — «Сделать хотел грозу, а получил козу, розовую козу с желтою полосой. Вместо хвоста нога, а на ноге рога, я не хотел бы вновь встретиться с той козой…» [58]. Вот что-то подобное и происходит при сравнении двух несравнимых веществ. Так что давайте будем вдумчивыми и последовательными. Да — нейлоновая ткань по своим потребительским качествам хуже хлопковой. Хлопок нравится нашей коже гораздо больше нейлона. Но это не означает того, что синтетические жиры (или какие-то другие вещества) будут нравиться коже меньше натуральных аналогов. Ключевое слово — «аналогов». Сравнивать нужно сравнимое.

И напоследок — о мытье волос яичными желтками. В принципе не возбраняется мыть голову и яичными белками, только они слишком уж «прилипчивые», замучаетесь волосы отмывать.

В стародавние времена (до второй половины ХХ века) качественное мыло было доступно лишь избранным, то есть — богатым людям. Широкие массы общественности мылись обычным мылом, вроде нынешнего хозяйственного, которое не самым лучшим образом действовало на волосы. Шампуни? Я вас умоляю! На территории шестой части Земли, которую всем существом в поэте восхвалял Сергей Есенин, шампуни вошли в обиход примерно полвека назад, то есть — в семидесятые годы ХХ века. До этого головы мылили всем, что под руку подвернется. Мыло было мылом. Как таковым. А не разными его разновидностями. Мыло первой половины ХХ века и всего предшествовавшего времени с начала его варки древними египтянами в V веке до нашей эры, было далеким от того совершенства, которым мы можем пользоваться сейчас. Оно сушило кожу, делало волосы жесткими, словно пакля, и лишало их красивого природного блеска, который не стоит путать с блеском жирных, давно не мытых волос. Качество определяют компоненты, входящие в его состав. Среди этих компонентов лидирует щелочь [59], необходимая для того, чтобы мыло было мылом, чтобы оно мылилось. Щелочь сушит кожу и волосы, а кислота их смягчает. Поэтому те, кто моет голову мылом с высоким содержанием щелочей, непременно нейтрализуют их, ополаскивая голову уксусом или водой с лимонным соком, то есть — кислотой.

Но можно было не устраивать своим волосам, а заодно и коже головы подобных «качелей» (то щелочь, то кислота), а мыть голову яичными желтками. Да, разумеется, в наше время, которое можно назвать «сакрализационным», то есть в такое время, когда все, по отдельности, возводится в абсолют, яичным желткам приписываются несвойственные свойства. И то он содержат, и это, и тем насыщают волосы, и этим, но на самом деле весь смысл мойки волос с использованием желтков заключался в их относительной «мягкости». Благодаря своему белковому строению, яичные желтки создают «омыляющий» эффект, но при этом не «сушат» кожу и волосы.

Когда-то давно яичные желтки были предпочтительным средством для мытья волос. И не только предпочтительным, но и общедоступным. Поэтому нечего удивляться тому, что наши бабушки мыли волосы яичными желтками и завещали нам поступать точно так же.

Если хотите, то так и поступайте, только не обольщайтесь мнимой всесторонней пользой яичных желтков. И то в них содержится, и это, и полезные белки, и полезные жиры, и не менее полезные углеводы, а также рибонуклеиновые кислоты и минеральные вещества. Ну не желток, а какая-то пещера Аладдина, клянусь честным словом!

Перечень веществ, содержащихся в яичном желтке, выглядит впечатляюще, но…

Но что из этого условного великолепия успеет впитаться в ваши волосы за те одну-две минуты, пока растертые или даже взбитые желтки будут находиться в контакте с вашими волосами? Суть мытья волос яичными желтками заключается в их «мягком» омылении и в отсутствии таких явлений, как сухость кожи и волос. И ни в чем более.

А если говорить в общем и целом, то природные средства, употреблявшиеся нашими пращурами, в чем-то однозначно хороши, привлекательны и полезны, иначе б они не выдержали бы столь длительное испытание временем. Но у нас — хвала прогрессу! — есть более действенные средства, нежели те, что входили в арсенал прапрабабушек и прапрадедушек (да, наши прапрадедушки тоже мыли голову яичными желтками, ибо ничто человеческое не было им чуждо). Если вам так хочется, то можно предпочесть яичные желтки современным шампуням. Если не хочется, то…

То мойте ваши волосы современными шампунями, ибо все не только течет и меняется, но и совершенствуется. И современные шампуни для волос по многим параметрам превосходят яичные желтки, столь любимые нашими бабушками. Каждому овощу, как говорится, свое время.

Выбирая между натуральным и синтетическим, нужно отдавать предпочтение тому продукту, который вам больше подходит, невзирая на его происхождение. Долой расизм! Основным критерием выбора косметического средства выступает его совместимость с потребностями вашего организма. Все прочее, в том числе и происхождение продукта, — второстепенно.

А если уж говорить начистоту, то относительно чистое лучше относительно грязного… Ну, вы меня поняли, развивать дальше эту тему нет необходимости.

Впрочем, есть одно обстоятельство, мимо которого невозможно пройти. В химии существует такое понятие, как водородный показатель кислотности среды (рН), условная величина, используемая для количественной характеристики кислотности среды [60]. Оптимальный pH нашей кожи равен 5,5 (если брать в более широком значении, то от 3,5 до 5,9). Жирная кожа имеет более щелочную среду между 5,7 и 6,0, а сухая — более кислую — от 3,0 до 5,2. Чем метаться между натуральными и синтетическими косметологическими средствами, лучше ориентироваться на рН. Если у вас жирная кожа, то пользуйтесь кислыми, а не щелочными очищающими (моющими) средствами, а, если сухая — то обычными щелочными.

Вход
Поиск по сайту
Ищем:
Календарь