Книга Логико-философский трактат, страница 8 – Людвиг Витгенштейн

Авторы: А Б В Г Д Е Ж З И Й К Л М Н О П Р С Т У Ф Х Ч Ш Ы Э Ю Я
Книги: А Б В Г Д Е Ж З И Й К Л М Н О П Р С Т У Ф Х Ц Ч Ш Щ Ы Э Ю Я
Бесплатная онлайн библиотека LoveRead.ec

Онлайн книга «Логико-философский трактат»

📃 Cтраница 8

«1 – число», «Есть только один нуль» и прочие подобные выражения бессмысленны. (Равно бессмысленно говорить «Есть только одна 1» или «2 + 2 в три часа равно 4».)

4.12721. Формальное понятие задано вместе с объектом, который под него подпадает. Поэтому невозможно ввести в качестве элементарных идей объекты, принадлежащие формальным понятиям, и само формальное понятие. И так же невозможно, например, ввести в качестве элементарной идеи понятие функции и конкретные функции, что делает Рассел; или понятие числа и конкретные числа.

4.1273. Если мы хотим выразить в понятийной записи общее суждение «b следует за a», нам требуется выражение общего в последовательности форм

aRb,

(Ǝ х): aRx × xRb,

(Ǝ x, y): aRx × xRy × yRb, …

Чтобы выразить общее последовательности форм, мы должны использовать переменную, поскольку понятие «общее последовательности форм» есть формальное понятие. (Именно это упустили Фреге и Рассел: способ, каким они хотели выражать общие суждения, наподобие приведенного выше, некорректен; он содержит порочный круг.)

Мы можем определить общее последовательности форм, задав первый член последовательности и общую форму операции, которая порождает следующий член из суждения, ему предшествующего.

4.1274. Спрашивать, существует ли формальное понятие, бессмысленно. Ибо никакое суждение не может быть ответом на подобный вопрос.

(Нельзя, например, спросить: «Существуют ли не поддающиеся анализу субъектно-предикатные суждения?»)

4.128. Логические формы не имеют исчисления.

Поэтому в логике нет привилегированных чисел, как нет и возможности философского монизма или дуализма и т. п.

4.2. Смысл суждения заключен в его соотнесенности или несоотнесенности с возможностью существования или не-существования позиций.

4.21. Простейшая разновидность суждения, элементарное суждение, утверждает существование позиции.

4.211. Признак элементарного суждения – ему не противоречит никакое другое элементарное суждение.

4.22. Элементарное суждение состоит из имен. Это сочетание, сцепление имен.

4.221. Очевидно, что анализ суждений должен приводить к элементарным суждениям, состоящим из имен, связанных непосредственно.

Отсюда вопрос, как воплощаются подобные связи в суждении.

4.2211. Даже если мир бесконечно сложен и каждый факт состоит из бесконечного множества позиций, а каждая позиция включает в себя бесконечное множество объектов, всегда будут объекты и позиции.

4.23. Лишь в составе элементарного суждения имя входит в суждение.

4.24. Имена являются простыми символами: я обозначаю их отдельными буквами («x», «y», «z»).

Я записываю элементарные суждения как функции имен, и они имеют форму «fx», «φ (x, y)» и т. д.

Или же я присваиваю им буквы «p», «q», «r».

4.241. Используя два знака с одним и тем же значением, я выражаю это постановкой между ними знака «=».

Так, «a = b» означает, что знак «b» может быть заменен знаком «a».

(Если я использую уравнение, чтобы ввести новый знак «b», предполагая, что он заменит уже имеющийся знак «a», тогда, подобно Расселу, я записываю уравнение-определение в форме «a = b Def». Определение есть правило действий со знаками.)

4.242. Выражения в форме «a = b» суть, таким образом, простые представления. Они ничего не говорят о значениях знаков «a» и «b».

4.243. Можем ли мы понять два имени, не зная, обозначают ли они одно и то же или различное? Можем ли мы понять суждение, в котором встречаются два имени, не зная, одинаковы их значения или различны?

Предположим, мне известны значения английского и немецкого слов, которые обозначают то же самое; я не могу не признать, что они означают одно и то же; в этом случае я должен суметь перевести одно слово в другое.

Выражения вида «a = a» и их производные не являются элементарными суждениями и ни в каком отношении не имеют смысла.

(Это станет очевидно позднее.)

4.25. Если элементарное суждение истинно, позиция существует; если элементарное суждение ложно, позиция не существует.

4.26. Если заданы все истинные элементарные суждения, мы получим полное описание мира. Мир полностью описывается заданием всех элементарных суждений и указанием, какие из них истинны, а какие ложны.

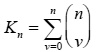
4.27. Для n числа позиций имеются

Иллюстрация к книге — Логико-философский трактат [i_002.jpg]
возможностей существования и несуществования.

Из этих позиций любая комбинация может существовать, а прочие – не существовать.

4.28. Этим комбинациям соответствует равное число возможностей истинности и ложности для n элементарных суждений.

4.3. Возможность истинности элементарных суждений означает возможность существования или не-существования позиций.

4.31. Мы можем представить возможности истинности схемой следующего вида («И» значит «истинно», «Л» значит «ложно», столбцы знаков «И» и «Л» под строками элементарных суждений символизируют их возможности истинности наглядным образом).

Иллюстрация к книге — Логико-философский трактат [i_003.jpg]

4.4. Суждение есть выражение соотнесенности или несоотнесенности с возможностями истинности элементарных суждений.

4.41. Возможности истинности элементарных суждений суть условия истинности или ложности суждений.

4.411. Сразу становится очевидным, что введение элементарных суждений создает основу для понимания всех прочих суждений. В самом деле понимание общих суждений ощутимо зависит от понимания элементарных суждений.

4.42. Для n числа элементарных суждений имеется

Иллюстрация к книге — Логико-философский трактат [i_004.jpg]

вариантов, какими суждение может соотноситься или не соотноситься с возможностями истинности.

4.43. Соответствие возможностям истинности можно выразить индексом «И» в приведенной выше схеме. Отсутствие этого индекса означает несоответствие.

4.431. Выражение соотнесенности или несоотнесенности с возможностями истинности элементарных суждений обозначает условия истинности суждения.

Суждение есть выражение условий его истинности. (И Фреге был абсолютно прав, используя их как отправную точку для объяснения знаков своей понятийной записи. А вот в объяснении понятия истинности Фреге допустил ошибку: если «истинное» и «ложное» – реальные объекты и аргументы в формуле ~p и т. д., тогда метод, каким Фреге определял смысл «~p», оставил бы их неопределенными.)

Вход
Поиск по сайту
Ищем:
Календарь