Книга Мозг Брока, страница 100 – Карл Эдвард Саган

Авторы: А Б В Г Д Е Ж З И Й К Л М Н О П Р С Т У Ф Х Ч Ш Ы Э Ю Я
Книги: А Б В Г Д Е Ж З И Й К Л М Н О П Р С Т У Ф Х Ц Ч Ш Щ Ы Э Ю Я
Бесплатная онлайн библиотека LoveRead.ec

Онлайн книга «Мозг Брока»

📃 Cтраница 100
Приложение 4
Напряженность магнитного поля, необходимая для превращения эксцентричной орбиты кометы в круговую

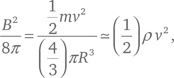
Хотя Великовский этого не сделал, мы можем приблизительно подсчитать порядок величины напряженности магнитного поля, необходимого, чтобы серьезно изменить движение кометы. Возмущающее поле может быть от планеты, такой как Земля или Марс, к которой направляется комета, или от межпланетного магнитного поля. Чтобы это поле играло существенную роль, плотность ее энергии должна быть сравнима с плотностью кинетической энергии кометы. (Мы даже не беспокоимся о том, имеет ли комета распределение зарядов и полей, которое позволит ей реагировать на наложенное поле.) Таким образом, условия следующие:

Иллюстрация к книге — Мозг Брока [i_013.jpg]

где B – это сила магнитного поля в гауссах, R – радиус кометы, m – ее масса, v – скорость и ρ – плотность. Мы видим, что условия не зависят от массы кометы. Взяв типичную скорость кометы во внутренней Солнечной системе приблизительно 25 км/с и ρ, как плотность Венеры, приблизительно 5 г/см³, мы находим, что требуется индукция магнитного поля больше 10 млн Гс. (Близкое значение в электростатических единицах понадобилось бы, если бы формирование круговой орбиты было электрическим, а не магнитным.) Поле экваториальной плоскости Земли составляет около 0,5 Гс. Поля Марса и Венеры – менее 0,01 Гс. Солнечное поле – несколько гауссов, а в области солнечных пятен – несколько сотен гауссов. Поле Юпитера, измеренное «Пионером-10», меньше 10 Гс. Типичные межпланетные поля – 10–3 Гс. В Солнечной системе невозможно генерировать крупномасштабное поле, напряженность которого приближалась к 10 МГс. И нет признаков того, что такое поле когда-либо существовало поблизости от Земли. Мы помним, что магнитные домены расплавленных горных пород в ходе повторного замерзания ориентируются соответственно преобладающему полю. Если бы Земля оказалась, даже ненадолго, в магнитном поле напряженностью 10 МГс 3500 лет назад, намагниченность горных пород четко бы это показала. А это не так.

Благодарности

За обсуждение отдельных тем хочу поблагодарить моих друзей, корреспондентов и коллег: Диану Аккерман, Д. Артура, Джеймса Бакалара, Ричарда Берендзена, Нормана Блума, С. Чандрасекара, Кларка Чапмана, Сидни Коулмана, Ива Коппенса, Джуди-Линн Дель Рей, Фрэнка Дрейка, Стюарта Эдельштейна, Пола Фокса, Дэниела Гайдушека, Оуэна Джинджерича, Томаса Голда, Дж. Ричарда Готта III, Стивена Гулда, Лестера Гринспуна, Станислава Грофа, Дж. Гунтера, Роберта Хорвица, Джеймса Калата, Берта Ли, Джека Льюиса, Марвина Мински, Дэвида Моррисона, Филипа Моррисона, Брюса Мюррея, Филео Нэша, Тобиаса Оуэна, Джеймса Поллака, Джеймса Рэнди, Э. Солпитера, Стюарта Шапиро, Гюнтера Стента, О. Туна, Джозефа Веверку, Э. Уитакера и А. Янга.

Эта книга увидела свет во многом благодаря внимательной и компетентной работе Сьюзен Лэнг и Кэрол Лейн и в особенности моего личного помощника Ширли Арден.

Я особенно благодарен Энн Друян и Стивену Сотеру за постоянную поддержку и ценные комментарии по многим темам этой книги. Энн помогла написать большинство глав и придумать название; я в неоплатном долгу перед ней.

Вход
Поиск по сайту
Ищем:
Календарь