Книга Золотые волки, страница 49 – Рошани Чокши

Авторы: А Б В Г Д Е Ж З И Й К Л М Н О П Р С Т У Ф Х Ч Ш Ы Э Ю Я
Книги: А Б В Г Д Е Ж З И Й К Л М Н О П Р С Т У Ф Х Ц Ч Ш Щ Ы Э Ю Я
Бесплатная онлайн библиотека LoveRead.ec

Онлайн книга «Золотые волки»

📃 Cтраница 49

Северин подбросил лепестки в воздух, и остальные гости последовали его примеру. На Лайлу обрушился цветочный дождь: лепестки падали сверху, как снежинки, опускаясь на ее волосы и ресницы. Изогнувшись в финальном движении, она вытянула руку и бросила ключ.

Он пролетел через зал, и Северин поймал его между ладонями. Хлопок. Лайла не видела его взгляда, но с легкостью могла представить, как темнеют его глаза цвета заката. Она знала, что должна смотреть и на других зрителей, но просто не могла оторвать от него взгляда. Ей же не хотелось, чтобы он смотрел на кого-то, кроме нее.

Амфитеатр взорвался аплодисментами. Мужчина, сидевший позади Северина, поймал ее взгляд. Он был одет в горчичный костюм и сидел почти неподвижно. Уходя со сцены, Лайла вздрогнула: мужчина склонился над Северином, словно карающий меч… или хищник, приготовившийся к нападению.

17
Зофья
Иллюстрация к книге — Золотые волки [i_001.jpg]

Зофья смотрела на часы: Северин опаздывал. До начала бала оставалось меньше часа. Если она не успеет сделать слепок ключа, то все окажется напрасно. Жаль, что матриарх не использовала вместо ключа свой отпечаток… Зофья могла бы применить свою улучшенную версию Метки Сиа. Правда, если подумать, у нее не было нужных ингредиентов: все осталось в лаборатории «Эдема».

Зофья заставила себя сесть в угол комнаты. Нервное расхаживание из стороны в сторону ничем ей не поможет. Бывало, во время ограблений ей приходилось ждать очень и очень долго. Девушка успокаивала себя тем, что это ожидание приближает их к цели.

Еще один день.

Еще один день, и все это останется позади.

К полуночи они уже будут в хранилище. Они уже знали, где искать Глаз Гора, останется лишь взять его с полки. Сущая мелочь, которая повлечет за собой серьезные изменения. Когда Глаз будет у них, она сможет выплатить все долги и отправить сестру в медицинскую школу. Северин станет патриархом и, воспользовавшись своим безграничным влиянием, вернет ее обратно в Академию. Еще при жизни ее родители говорили: тот, кто обладает знаниями, не боится ничего на свете. Она могла бы стать ученым или профессором… кем-то, кто освещает темные уголки неизведанного ярким лучом знаний. Она могла бы стать похожей на своих родителей и сестру. Она могла бы идти по улице в толпе людей. Она бы забыла о комке, возникающем в горле каждый раз, когда кто-нибудь задает простой, повседневный вопрос, а она не знает, как на него ответить.

Знания придали бы ей смелости.

А больше всего на свете Зофья хотела быть смелой.

Но вместо этого она училась приспосабливаться или, по крайней мере, притворяться, что у нее это получается. В другой стороне комнаты стоял большой шкаф, на дверце которого висело черное платье – ее наряд на сегодняшний вечер. Лайла не могла помочь ей со сборами, и Зофья потратила несколько часов на то, чтобы понять, как накраситься и сделать прическу самостоятельно.

Ее раздумья прервал Северин, с щелчком заперший дверь изнутри.

– Ты опоздал.

Северин был сам не свой. Он тяжело дышал, а в глазах блестело что-то дикое. Лайла должна была передать ему ключ, неужели что-то пошло не так? Зофья начала паниковать.

– С Лайлой все в порядке? У тебя лицо красное.

Северин кашлянул.

– Это потому, что я быстро шел. И Лайла выглядит отлично. В смысле, она чувствует себя отлично. Не бери в голову. Со мной все отлично. И вообще, все идет…

– Отлично?

– Да, – сказал Северин, протягивая ей ключ. – Лайле пришлось придумать новый способ передать мне его.

Что ж, это не объясняло, почему Северин так странно выглядел. Зофья взяла ключ и направилась к камину, где плавился кусочек цинка. Из своего чемодана она достала форму для отливки.

Северин прислонился к стене и провел рукой по лицу.

– Раствор «Пиранья» сработал.

Зофью это не удивило. В конце концов, это она приготовила раствор.

Северин продолжил:

– Насколько я знаю, оранжерея находится на карантине. Официальная версия гласит, что кто-то из стражников разбил окна, и смесь сотворенного дыма и яда растений образовала опасные испарения.

Тристан и Энрике уже должны были прятаться где-то в садах. В девять часов их приглашения истекут, и они покинут поместье. Тогда служба безопасности Дома Ко́ры вычеркнет их из списка гостей. Затем нанятый Северином экипаж отвезет их к неохраняемому входу на территорию Лунного Замка, и они встретятся в оранжерее.

Зофья вдавила ключ в воск.

– Все получилось, как ты и планировал.

– М-м-м, – Северин потянулся к дверной ручке, но его рука зависла в воздухе. Он выглядел так, словно хотел о чем-то спросить, но вдруг передумал.

– Будь готова. Мы переходим к финальной стадии плана.


Зофья переоделась в вечерний наряд. Она спрятала в свою бархатную сумочку коробок спичек и два ключа: настоящий и поддельный с небольшой вмятиной. Маска из покрытых инеем лебединых перьев скрывала ее лицо. Черное платье Зофьи блестело благодаря тонкой сетке из серебряных нитей, украшавшей юбку. Позже эта сетка должна была послужить фильтром для воздуха, ведь в оранжерее все пропиталось опасными испарениями.

Зал на первом этаже изменился до неузнаваемости. Все стены были завешаны зеркальными панелями: они делали пространство зала бесконечным. Задевая потолок и стены, по коридору шествовал прозрачный грифон. Леди и джентльмены весело смеялись, когда какое-нибудь призрачное существо огрызалось и шипело на них. В углу сверкал огромный торт, украшенный съедобными миниатюрами планет Солнечной системы. Только Лайла могла сделать что-то подобное.

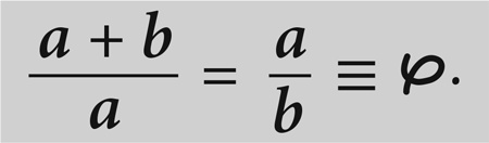
Зофья посмотрела на пол: ее внимание привлек блеск серебряной спирали. Она остановилась, пытаясь вспомнить что-то похожее… Ей был знаком этот узор. Раньше она не замечала его, но теперь, когда на черный мраморный пол упал яркий свет люстры, по нему словно расползлись серебряные вены. Узор напоминал раковины моллюсков. Он был точным. Математическим. Она подумала о логарифмической спирали золотого сечения. Золотым сечением считалось деление определенной величины на две неравные части, при котором вся величина так относится к большей части, как самая большая часть относится к меньшей. Отец объяснил ей это на примере золотого прямоугольника.

Иллюстрация к книге — Золотые волки [i_010.jpg]
Иллюстрация к книге — Золотые волки [i_011.jpg]

Представление в числовой форме называлось фи и равнялось примерно 1,618. Отец научил ее находить золотое сечение в природе: в спирали раковины моллюска, в круглых сердцевинах подсолнухов, в сосновых шишках… она никогда не видела, чтобы его использовали в качестве декоративного элемента интерьера. Зофья моргнула и начала внимательно осматривать зал, словно видела его впервые. Повсюду можно было найти примеры золотого сечения. На входных дверях. В форме окон. Все убранство поместья походило на уравнение. Зофья знала, что числа никогда не бывают случайными. Это было сделано намеренно, но она не понимала, с какой целью. Она шла к большой арке, и вдруг у нее на пути встал мужчина в горчичном костюме.

Реклама
Вход
Поиск по сайту
Ищем:
Календарь