Книга Большая энциклопедия НЛП. Структура магии, страница 130 – Ричард Бэндлер, Джон Гриндер

Авторы: А Б В Г Д Е Ж З И Й К Л М Н О П Р С Т У Ф Х Ч Ш Ы Э Ю Я
Книги: А Б В Г Д Е Ж З И Й К Л М Н О П Р С Т У Ф Х Ц Ч Ш Щ Ы Э Ю Я
Бесплатная онлайн библиотека LoveRead.ec

Онлайн книга «Большая энциклопедия НЛП. Структура магии»

📃 Cтраница 130

(Ii, Rj, _, _, _, _),

где i = j.


Отметим, что в нашем последнем рассуждении мы начали процесс определения множества психотерапевтических функций – класса, представленного в нашей системе записи символом ƒ. Полное определение ƒ должно было бы представлять собой формализацию эффективных психотерапевтических маневров и вмешательств, направленных на получение приемлемого психотерапевтического изменения. Используя понятие функции следующего состояния:

ƒ есть множество функций, таких что


f (X) → (Y),


где X – это множество всех возможных шестикортежностей, Y– множество правильных шестикортежностей.

Если перевести это на описательный язык, ƒ представляет собой любое психотерапевтическое вмешательство, любое действие со стороны психотерапевта, если оно ведет к следующему состоянию, мгновенное описание которого удовлетворяет условиям правильности для шестикортежности. Вопросы метамодели, разработанные нами в первом томе «Структуры магии», представляют собой эксплицитный и адекватный набор психотерапевтических вмешательств на вербальном уровне. Данные вопросы определяют уместное вербальное вмешательство со стороны психотерапевта на множестве всей возможной вербальной продукции клиента (поверхностных структур клиента). Данные вербальные вмешательства чисто формальны, то есть не зависят от содержания. На уровне структуры шестикортежности разработанные нами метатактики работают так же, как вопросы метамодели работают на вербальном уровне. Рассмотрим, например, набор метатактик для работы с клиентом, демонстрирующим неконгруэнтную коммуникацию. Предположим, что мгновенное описание клиента выглядит следующим образом:

(_, K, _, 2, _, _)c.


Задача психотерапевта состоит в том, чтобы рассортировать эту одновременную неконгруэнтность, превратив ее в последовательную неконгруэнтность. Другими словами, нужно преобразовать приведенную выше шестикортежность в пару шестикортежностей, каждая из которых будет хорошо сформированной.

Иллюстрация к книге — Большая энциклопедия НЛП. Структура магии [i_108.jpg]

Если использовать термины, которые мы ввели в части, посвященной работе с неконгруэнтностью, психотерапевт должен рассортировать парасообщения на две конгруэнтные полярности.

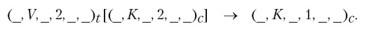
В той же части мы приводили список метатактик, позволяющих осуществить правильную сортировку. Возьмем метатактику 1 – «режиссер-постановщик». Здесь психотерапевт, во-первых, дает клиенту вербальные инструкции и, во-вторых, использует кинестетический канал – придает телу клиента более конгруэнтную позу В данном случае значение ƒ представляет собой множество вербальных и кинестетических входных сигналов, идущих от психотерапевта к клиенту Другой вариант психотерапевтического вмешательства – использование техники проигрывания полярностей (которая также описана в разделе, посвященном неконгруэнтности). Имея дело с вышеописанной шестикортежностью, психотерапевт может таким образом организовать свои выходные каналы, чтобы исполнить одну из полярностей, частично проявляемых здесь клиентом, но сделать это более конгруэнтно и энергично, чем сам клиент. Например, психотерапевт может предъявить клиенту следующую шестикортежность:


(_, V, _, 2, _, _)t,


где t – психотерапевт.

Результатом подобного исполнения полярности психотерапевтом станет переход клиента в противоположную полярность, частично представленную в исходной шестикортежности:


(_, K, _, 1, _, _)c.


Используя предложенную нами систему обозначений функции следующего состояния, всю эту часть психотерапевтического вмешательства, когда психотерапевт идентифицирует и рассортировывает неконгруэнтные сообщения клиента, можно представить следующим образом:

Иллюстрация к книге — Большая энциклопедия НЛП. Структура магии [i_109.jpg]

Данный перевод психотерапевтической техники в формальную систему обозначений показывает одно важное обстоятельство, а именно, что адекватный словарь для описания множества психотерапевтических вмешательств (множества ƒ) будет включать тот же самый словарь, который выступает в качестве словаря для области определения и области значений множества функций ƒ.

Полная формализация психотерапии для каждого члена множества логически возможных шестикортежностей (то есть области определения функции) должна была бы задавать множество приемов, или вмешательств (множество ƒ) и конкретный результат, или следующее состояние клиента (ограниченное множество психотерапевтически правильных шестикортежностей), являющееся результатом действия каждого из членов/, определенных в качестве уместных для начального состояния, предъявляемого клиентом. Полная формализация психотерапевтического изменения представляет собой область исследований, в которых должны участвовать психотерапевты в ходе своей текущей работы. Для того чтобы результирующая формальная модель оказалась действительно полезной, она должна быть итогом действительного опыта работы с процессом изменения в контексте психотерапевтической практики. В данном разделе мы ставили перед собой цель создать такие системы обозначений с использованием такого словаря, чтобы это могло помочь психотерапевтам организовывать и передавать свой опыт способом, который непосредственно помогал бы им совершенствовать свои психотерапевтические навыки и, в конечном итоге, способствовал разработке полной формальной модели изменения, позволяющей адекватным образом удовлетворить нужды людей, приходящих к нам за помощью. В следующем разделе мы представим пример эффективного психотерапевтического изменения, в ходе которого психотерапевт использует некоторые метатактики, описанные нами выше, и параллельно осуществляет формализацию психотерапевтического вмешательства с помощью только что предложенной нами системы формальных обозначений. Мы надеемся, что это послужит руководством к действию и станет первым шагом в построении полной формальной модели психотерапевтического изменения.

Применение системы формальных обозначений в качестве инструмента психотерапии.

Ниже представлена формальная репрезентация некоторой части полной психотерапевтической сессии. Цель заключается в том, чтобы помочь вам адаптировать эту систему для вашей собственной работы, идет ли речь о психотерапевтической практике, исследовательской деятельности или теоретических изысканиях. Мы хотим продемонстрировать вам, что данная формальная система обозначений способна послужить в качестве диагностического инструмента, одновременно предоставляющего в распоряжение психотерапевта стратегию, которой он может руководствоваться в своем поведении и которая, к какой бы психотерапевтической школе он ни принадлежал, поможет ему разработать эффективный план для достижения клиентом желаемого изменения и появления у него необходимых ему возможностей выбора.

Реклама
Вход
Поиск по сайту
Ищем:
Календарь