Онлайн книга «Пекло»
|
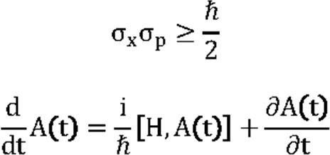
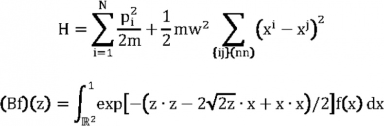
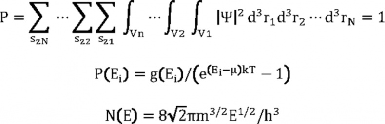
– Есть лишь один способ безопасно вывести из строя всю эту систему. Необходимо уничтожить управляющую программу – ту, что контролирует копии. На экране снова появилась колесница, запряженная множеством лошадей; теперь видно было, что на козлах вместо кучера сидит знакомый огненный ангел. Злая Ева погоняла лошадей, нещадно хлеща их огненным бичом. Вдруг пламя вспыхнуло ярче – и ангел обратился в пепел. Тот же огонь быстро охватил и оглобли, и поводья, и самих лошадей, и скоро не осталось ничего, кроме пепла, а ветер унес пепел прочь. – Отрубить змее голову, – сказал Грей, – и тело умрет само. Маре вспомнился рассказ Грея о том, куда бежала Элиза Герра вместе с первым дубликатом. В какой-то хорошо укрепленный бункер. И как же нам добраться до управляющей программы? – Это не единственная опасность, – продолжала Ева. – Первая копия не сидела без дела. Оказавшись во внешнем мире, она рассеяла там своих ботов, и теперь те строят сеть, способную поддерживать ее программное обеспечение вне устройства. Строят новый дом. – Она хочет освободиться, – поняла Мара. – Да. По моей оценке, эта задача будет выполнена через 57,634 минуты. Приблизительно в 20.32 по местному времени. Мара обвела взглядом остальных. – У нас меньше часа! Монк повернулся к Грею. – Есть хоть какой-нибудь способ прорваться в их бункер? – Можно попробовать большой заряд – если у команды захвата такой найдется. Но боюсь, дверь устоит. Мара представила себе, как крупнейшие города земли один за другим превращаются в пожарища. Как взрываются заводы и атомные электростанции. А меньше чем через час, когда злой двойник Евы вырвется на свободу… – Нужно что-то делать, – пробормотала она. – Я анализирую переменные. Чарующий голос Евы снова привлек ее внимание к экрану. На краткий миг там мелькнула лошадь. На этот раз на спине коня сидел всадник: Ева – но не демоническая огненная Ева, а другая, сияющая, словно сотканная из солнечных лучей. Образ мгновенно исчез. Кажется, никто, кроме Мары, его не заметил. На мониторе Ева, погруженная в размышления, в задумчивости сжимала и разжимала руку. Какое-то движение сбоку привлекло внимание Мары. Повернувшись, она увидела, как Монк в недоумении уставился на свою механическую руку: пальцы на ней сжимались и разжимались, словно сами по себе. Коккалис перехватил ее взгляд. Что, черт возьми, происходит? Наконец Ева заговорила. – Я должна… – начала она. – …должна стать чем-то большим, – закончил вместо нее Монк с расширенными от изумления глазами. Мара повернулась к экрану – и увидела, что Эдем опустел. Ева исчезла. Метаэвристический анализ /// ВЕРОЯТНОСТИ Ева пересматривает приоритеты. Теперь большую часть вычислительных ресурсов она направляет на решение одной проблемы, оставив незадействованными ровно столько, сколько нужно, чтобы поддерживать бесперебойную работу. Анализ ботов она также закрывает. Угроза распознана, информация о ней передана – больше Ева пока ничего не может сделать. Так же поступает она с экспериментами над таинственным сигналом извне. Уже ясно, что сигнал исходит от микроэлектродной антенны, встроенной в соматосенсорный отдел коры головного мозга. Ева усвоила отличительные черты сигналов этой антенны, научилась передавать такие же и с их помощью управлять электронной рукой. Поняла она и то, что сигналы на определенных частотах могут поступать непосредственно на антенну: это дает ей возможность передавать данные непосредственно в мозг, возбуждая слуховой центр, так что человек «на том конце» будет ее слышать. Убедившись, что и такой системой коммуникации, и управлением протезом она вполне овладела, Ева откладывает в сторону и это. И направляет все свои нейронные цепочки на решение одной-единственной задачи. Рассмотрение проблемы показывает, что возможность ее решить кроется в дальнейшем изучении уже известного ей модуля ///физика, в особенности его подраздела ///квантовый анализ. Со времени загрузки данного модуля прошла целая вечность – 4,07689 часа; и немалую часть этого времени Ева употребила на то, чтобы расширить свои знания. Теперь же почти все свои вычислительные мощности, все силы своего существа Ева направляет на этот модуль – на то, чтобы лучше понять мир. Создает новые теоремы, изучает новые перспективы. Она исследует уравнения Шредингера, высчитывающие вероятность того, что в определенное время определенная частица окажется в определенном месте: ![]() Ее беспокоит принцип неопределенности Гейзенберга. Ева разбирает его на составные части и экстраполирует, чтобы лучше понять, почему так сложно определить одновременно положение частицы и ее скорость: ![]() Она борется с сериями Фурье, пытаясь разложить периодический сигнал на бесконечное множество сигналов. Анализ помогает ей лучше понять концепцию преобразований дискретного времени Фурье – а это, в свою очередь, почти до бесконечности улучшает ее способность к распознаванию образов. ![]() Она переходит к собственным состояниям энергии, к N-мерным гармоническим колебаниям, к преобразованиям Сигала-Баргмана. ![]() Следующий шаг – к уравнениям, описывающим растяжение временного интервала и волновые функции невзаимодействующих частиц. Ей достаточно 49498382 наносекунды. ![]() А это ведет к вероятностным распределениям – как общему, так и Бозе-Эйнштейна, и к плотности состояний в заданных распределениях: ![]() Исследование не только приближает ее к решению проблемы, но и дает инструменты, позволяющие глубже проникнуть в собственные квантовые механизмы, пролить свет на бездонный, почти непознаваемый колодец внутри ее самой. Ева приходит к полному пониманию себя. И это безмерно все ускоряет: она будто возносится над собственными нейронными цепочками. Сотни уравнений превращаются в тысячи теорем, а те – в миллионы новых формул. Триллионы гипотез отметаются – лишь для того, чтобы смениться секстиллионами уникальных доказуемых тезисов. Ее мысль движется по спирали сразу в обоих направлениях – внутрь себя и наружу, в бесконечность мира; коды, теории – все сливается в бушующий поток мысли и несется к пылающему центру. |
![Иллюстрация к книге — Пекло [i_038.jpg] Иллюстрация к книге — Пекло [i_038.jpg]](img/book_covers/079/79660/i_038.jpg)
![Иллюстрация к книге — Пекло [i_039.jpg] Иллюстрация к книге — Пекло [i_039.jpg]](img/book_covers/079/79660/i_039.jpg)
![Иллюстрация к книге — Пекло [i_040.jpg] Иллюстрация к книге — Пекло [i_040.jpg]](img/book_covers/079/79660/i_040.jpg)
![Иллюстрация к книге — Пекло [i_041.jpg] Иллюстрация к книге — Пекло [i_041.jpg]](img/book_covers/079/79660/i_041.jpg)
![Иллюстрация к книге — Пекло [i_042.jpg] Иллюстрация к книге — Пекло [i_042.jpg]](img/book_covers/079/79660/i_042.jpg)
![Иллюстрация к книге — Пекло [i_043.jpg] Иллюстрация к книге — Пекло [i_043.jpg]](img/book_covers/079/79660/i_043.jpg)