Книга Должность во Вселенной. Время больших отрицаний, страница 12 – Владимир Савченко

Авторы: А Б В Г Д Е Ж З И Й К Л М Н О П Р С Т У Ф Х Ч Ш Ы Э Ю Я
Книги: А Б В Г Д Е Ж З И Й К Л М Н О П Р С Т У Ф Х Ц Ч Ш Щ Ы Э Ю Я
Бесплатная онлайн библиотека LoveRead.ec

Онлайн книга «Должность во Вселенной. Время больших отрицаний»

📃 Cтраница 12

На следующий день сети поменяли местами, дырявую – теперь нижнюю – подлатали. Далее двигались без особых приключений.

На десятый день к вечеру они увидели впереди над горизонтом отсвет в тучах невидимых пока огней краевого центра.

В день одиннадцатый кавалькаду встречали подкатившие на «Чайках» и черных «Волгах» отцы города во главе с довольным Виктором Пантелеймоновичем. При них были корреспонденты, операторы кинохроники; они сразу принялись за дело. «Вы слышите эти мощные, своеобразные звуки, дорогие радиослушатели? – вопрошал один, поворачивая фаллосоподобный микрофон то к плывущему неподалеку Шару, то к себе. – Это сами стихии исполняют победный гимн во славу нашей науки…» – «Вы видите эти утомленные лица?.. – причитал другой рядом с оператором, устремившим объектив телекамеры на „газик“, где за рулем сидел Ненашев, а рядом обросший по самые глаза разбойной щетиной Корнев. – Это скромные герои, покорившие… овладевшие… прославившие…» Вели себя репортеры – особенно столичные – довольно нахально: один, намереваясь взять снисходительное телеинтервью у Корнева, потребовал, чтобы тот побрился и «привел себя в божеский вид». Александр Иванович за все время овладения Шаром и его транспортировки не позволил себе ни одного черного выражения (хотя сам их выслушивал неоднократно); а тут в нем что-то щелкнуло, и он выдал жрецу ТВ-музы такое полнозвучное, крупнокалиберное, многозарядное предложение, что вопрос об интервью тотчас отпал. Разговелся.

…И был день последний: Шар вывели к реке Катагани ниже города, около впадения в нее Коломака. Здесь расстилалось ровное поле аэродрома ДОСААФ; на нем и причалил Шар.

Работы на месте: установить лебедки на бетонные фундаменты; перепасовать наверх отремонтированную нижнюю сеть – для пущей надежности, в помощь первой; отнивелировать расположение аэростатов и натяжение канатов так, чтобы Шар устойчиво, но без опасных искажений пространства прилегал к полю, – было уже, как говорится, делом техники.

Теперь, когда эпопея, ко всеобщему удовольствию, завершилась благополучно, можно было не таиться. В газетах появилось сообщение ТАСС – весомо-краткое, но с обширными комментариями. По всем программам ТВ был передан впечатляющий телерепортаж; кинохроника выпустила – с полугодовым опозданием – короткометражку. И даже Александр Иванович – отоспавшийся, выбритый, при галстуке – был показан в программе «Время». За творческое и личное мужество, проявленные в операции по овладению Шаром, научный руководитель операции А. И. Корнев был награжден орденом Красного Знамени. Майор Ненашев получил Красную Звезду.

Часть II
НИИ НПВ
Глава 6
Пец приближается

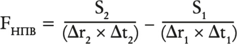
Вместо эпиграфа: «…Первичность действия S, а тем и его физических носителей квантов h, математически очевидна: это непроизводная величина. Энергия E = ΔS ÷ Δt есть производная от S по времени, импульс P = ΔS ÷ Δr – производная от действия по расстоянию, сила F = ΔS ÷ (Δr × Δt) – производная от него по тому и по другому… но само действие мы не можем так произвести ни от каких физических величин. Другой довод в пользу первичности – то, что без квантов действия (h) невозможно описание микромира. Не напрасно h называют „владыкой современной физики“ (О. Д. Хвольсон).

Но является ли величина h = 6,626 × 10–27 эрг × c действительно Богом или природой установленной константой? Не вернее ли полагать (вслед за Я. И. Френкелем), что из-за обилия этих элементарных актов-действий в природе мы измеряем среднее значение, относительно которого индивидуальные h-кванты статистически рассеяны: есть и меньше, и больше, и даже очень меньше и очень больше. А поскольку Вселенная велика и разнообразна, то в ней могут быть области, где реализуются мелкие против „наших“ или, наоборот, крупные кванты h.

Для нас и любых других существ, порождений h-материи, мир выглядел бы одинаково при любых величинах квантов: важно их количество, а не значение в эрг-секундах. Но если соседствуют области с разными h, это обнаружится новыми законами и явлениями.

Во-первых, должен проявлять себя следующий закон сохранения материи-действия: в равных геометрических объемах произведения числа квантов n на их величины h равны:

S1 = n1 × h1 = n2 × h2 = S2 (1)

Но при этом для внутренних наблюдателей, для которых счет размеров и длительностей событий идет, повторим, в „штуках“, а не величинах h, физические размеры объемов окажутся различны. Где кванты мельче, а число их больше, больше и физического пространства-времени. Там могут вместиться более крупные объекты и произойти – за внешне малое время – более долгие события.

Во-вторых, на границе областей с разными h создастся НПВ, неоднородное пространство-время. Особенностью его будет наличие силового поля чисто математической природы. Действительно, смысл приведенной выше дифференциальной формулы для силы F в том, что между отстоящими на Δr друг от друга в пространстве и на Δt во времени участками есть не равный нулю избыток действия ΔS: F = ΔS ÷ (Δr × Δt).

При этом если ΔS = S2 – S1 = 0, то в обычном мире силы F нет. Но в НПВ для равных между собой S1 и S2 мы вправе написать это выражение так:

Иллюстрация к книге — Должность во Вселенной. Время больших отрицаний [i_005.jpg]
(2)

При этом, поскольку по закону (1) произведения в знаменателях Δr1 × Δt1 и Δr2 × Δt2 не равны между собой, то сила FНПВ – а следовательно, и силовое поле – будет!

Так как в квантовой электродинамике с h наиболее явно связаны электрические заряды и электрическое поле, то в переходной зоне НПВ оно и будет таким.

Другое развитие этого закона сохранения (1) даст иную картину Вселенной. Сейчас она, помимо видимых звезд и галактик, населена чудищами типа нейтронных звезд, черных дыр, квазаров и прочего. Основанием для них послужило то, что, кроме обычных фотонов, Вселенная посылает еще фотоны, сильно смещенные по спектрам как в красную сторону (и инфракрасную, вплоть до радиоволн), так и в фиолетовую – вплоть до ультрафиолета и рентгеновских лучей. Фотоны – практически единственный носитель информации из космоса. Поскольку зримых источников этих излучений зачастую нет, начинается научная фантастика с привлечением недоказанных экспериментально идей физики: о нейтронном веществе, гравитационном коллапсе и еще и еще. (Относительно нейтронного вещества и нейтронных звезд доказано противоположное: избыток нейтронов в атомных ядрах приводит к ускоренному распаду, а то и делению их. Таковы все трансурановые вещества. То есть такое вещество невозможно. Что до гравитационного коллапса, то явление тяготения изучено так слабо – не измерены гравитационные постоянные на других планетах! – и природа его настолько темна, что эту идею нельзя отнести даже к научной фантастике.) Объяснить все эти красные и фиолетовые, вплоть до рентгеновских, спектральные сдвиги вселенских фотонов можно очень просто. Их энергия E[f] = hv, где v – частота электромагнитных колебаний. Излучение фотона атомом – дискретный акт; стало быть, энергия эта по закону сохранения должна быть постоянна. Но о кванте h так сказать нельзя, „всемирное“ постоянство его не доказано.

Вход
Поиск по сайту
Ищем:
Календарь