Книга Укрощение бесконечности. История математики от первых чисел до теории хаоса, страница 77 – Йен Стюарт

Авторы: А Б В Г Д Е Ж З И Й К Л М Н О П Р С Т У Ф Х Ч Ш Ы Э Ю Я
Книги: А Б В Г Д Е Ж З И Й К Л М Н О П Р С Т У Ф Х Ц Ч Ш Щ Ы Э Ю Я
Бесплатная онлайн библиотека LoveRead.ec

Онлайн книга «Укрощение бесконечности. История математики от первых чисел до теории хаоса»

📃 Cтраница 77

В традиционной механике тела движутся по прямой, пока не подвергнутся воздействию силы. В криволинейных геометриях существование прямых вовсе не обязательно, а пути изогнуты. Если пространство искривлено, то, вынужденно отклоняясь от прямой линии, тело испытает не что иное, как силу. Теперь благодаря этому озарению Риман почувствовал себя вполне готовым к публичной лекции. Он прочел ее в 1854 г. Это был великий триумф. Идеи Римана быстро распространились, и восхищение его открытием только возрастало. Вскоре ученые принялись читать популярные лекции о новой геометрии. Среди них был и Герман фон Гельмгольц, первым заговоривший о существах, обитающих на сфере или иной криволинейной поверхности.

Технические аспекты римановой геометрии многообразий, в настоящее время известной как дифференциальная геометрия, получили дальнейшее развитие в трудах Эудженио Бельтрами, Эльвина Бруно Кристоффеля и ученых итальянской школы под руководством Грегорио Риччи и Туллио Леви-Чивита. Позже оказалось, что именно их разработок не хватало Эйнштейну для открытия его теории.

Матричная алгебра

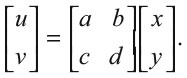
Алгебраисты тоже не сидели сложа руки, а развивали всё новые приемы вычисления для n-вариабельной алгебры – формальный символизм n-мерного пространства. Одним из таких методов стала матричная алгебра – прямоугольные массивы чисел, предложенные в 1855 г. Артуром Кейли. Такая абстракция естественным образом родилась из идеи об изменении координат. Это стало рутинным приемом – упрощать алгебраическое выражение, заменив переменные, например x и y, линейными комбинациями, например:

u = ax + by,

v = cx + dy

для констант a, b, c и d. Кейли представил пару (x, y) как вектор-столбец, а коэффициенты – таблицей размера 2 × 2, или матрицей. С соответствующим определением для умножения мы можем переписать изменение координат так:

Иллюстрация к книге — Укрощение бесконечности. История математики от первых чисел до теории хаоса [i_196.jpg]

Метод легко распространяется на таблицы с любым числом строк и столбцов, представляющие линейные изменения для любого числа координат.

ЧТО ГЕОМЕТРИЯ МНОГОМЕРНЫХ ПРОСТРАНСТВ ДАЛА ИМ

Примерно в 1907 г. немецкий математик Герман Минковский сформулировал теорию относительности Эйнштейна для четырехмерного пространства-времени, скомбинировав одномерное время и трехмерное пространство в единый математический объект. Он известен нам как пространство-время Минковского.

Иллюстрация к книге — Укрощение бесконечности. История математики от первых чисел до теории хаоса [i_197.jpg]

Требования теории относительности говорят, что естественная метрика пространства-времени Минковского не определяется теоремой Пифагора, в которой квадрат расстояния от точки (x, t) до начала координат равен x2 + t2. Это выражение следует заменить интервалом x2c2t2, где с – скорость света. Принципиальным изменением здесь является знак минус, который говорит о том, что события в пространстве-времени связаны с двумя конусами. Один (на нашей схеме это треугольник, поскольку пространство сократили на одно измерение) представляет будущее от нашего события, а другой – прошлое. Это геометрическое представление стало практически универсальным для современной физики.

Матричная алгебра позволяет делать расчеты для n-мерного пространства. По мере распространения новых идей складывался и новый геометрический язык для этого пространства, основанный на абстрактной алгебраической системе вычислений. Кейли считал свою идею не более чем удобным обозначением и предсказывал, что она никогда не получит иного применения. Сегодня эта методика распространилась во всех областях науки, особенно в такой, как статистика. Медики – одни из самых активных потребителей матриц, занимающиеся поисками статистически значимых связей между причиной и следствием.

Геометрические образы упрощают доказательство теорем. Критики утверждают, что эти новомодные геометрии относятся к пространствам, которые никогда не существовали. Алгебраисты возражают, что алгебра для n переменных существует практически наверняка, и в любом случае всякий прием, позволяющий сделать новые открытия в столь многих областях математики, заслуживает серьезного и пристального интереса. Джордж Сальмон писал: «Я уже полностью обсудил эту проблему (решения некоторой системы уравнений), когда даны три уравнения с тремя переменными. Теперь перед нами стоит вопрос о схожей задаче в пространстве с p измерениями, и мы склонны считать это чисто алгебраическим вопросом, независимым от каких-либо геометрических соображений. Но нам придется местами прибегнуть к геометрическому языку… потому что так легче понять, как применить к системе p уравнений процесс, аналогичный тому, который применили к системе из трех уравнений».

Реальное пространство

Существуют ли многомерные пространства? Конечно, ответ зависит от того, что мы подразумеваем под словом «существуют», но большинство людей не склонны вникать в такие тонкости, особенно если им что-то не нравится. Проблема стала очевидной в 1869 г. В знаменитом обращении к Британской ассоциации содействия развитию наук, позже напечатанном под заголовком «Мольба к математикам», Джеймс Джозеф Сильвестр указал, что важнейшим условием развития математики является обобщение. Ученый утверждал, что здесь главное – допустимость, а не прямое подтверждение физического опыта. Он говорил далее, что при наличии определенного навыка можно легко представить себе четыре измерения, а значит, пространство с четырьмя измерениями допустимо.

Это так разъярило ученого-шекспироведа Клемента Инглби, что он вдохновил великого философа Иммануила Канта доказать, будто трехмерность – неотъемлемая и бесспорная характеристика пространства, абсолютно отвергая доводы Сильвестра. Природа реального пространства не является предметом математического спора. В то время подавляющее большинство английских математиков соглашалось с Инглби. Но ряд ученых с континента не были с ним согласны. Грассман утверждал: «Теоремы “Учения о протяженности” не просто служат переводом геометрических результатов на язык абстракции; они обладают гораздо более важным обобщающим значением, ибо в то время, когда обычная геометрия остается узницей трех [физических] измерений, абстрактная наука не имеет никаких пределов».

Сильвестр обозначил свою позицию: «Немало ученых предпочли бы считать обобщенное понятие пространства всего лишь замаскированной формой алгебраической абстракции, но то же можно сказать о нашем представлении бесконечности, или о невозможных линиях, или о линиях, образующих угол, равный 0, в геометрии – понятиях, в пользе и необходимости которых уже никто не сомневается. Доктор Сальмон в своем расширенном изложении теории Мишеля Шаля о характеристиках поверхностей, мистер Клиффорд в вопросах о вероятности и я сам в теории о разбиении числа, а также в моей статье о барицентрической проекции ощущали и получали доказательства практической пользы четырехмерного пространства, как если бы оно было допустимо».

Вход
Поиск по сайту
Ищем:
Календарь