Книга Укрощение бесконечности. История математики от первых чисел до теории хаоса, страница 53 – Йен Стюарт

Авторы: А Б В Г Д Е Ж З И Й К Л М Н О П Р С Т У Ф Х Ч Ш Ы Э Ю Я
Книги: А Б В Г Д Е Ж З И Й К Л М Н О П Р С Т У Ф Х Ц Ч Ш Щ Ы Э Ю Я
Бесплатная онлайн библиотека LoveRead.ec

Онлайн книга «Укрощение бесконечности. История математики от первых чисел до теории хаоса»

📃 Cтраница 53

ЧТО АНАЛИЗ ДАЕТ НАМ

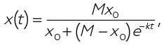
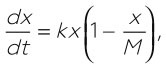
Анализ используется биологами для изучения динамики роста популяций различных организмов. Простым примером может служить логистическое отображение, или модель Ферхюльста – Пирла. Здесь изменение величины популяции x является функцией от времени t, моделируемой дифференциальным уравнением:

Иллюстрация к книге — Укрощение бесконечности. История математики от первых чисел до теории хаоса [i_165.jpg]

где константа М является «пропускной способностью», максимальной величиной популяции, которую может поддерживать окружающая среда.

Стандартный аналитический метод предлагает точное решение

Иллюстрация к книге — Укрощение бесконечности. История математики от первых чисел до теории хаоса [i_166.jpg]

которое называется логистической кривой. Соответственно модели численность популяции начинает расти очень быстро (экспоненциально), но по мере приближения величины популяции к половине пропускной способности кривая постепенно выравнивается, пока не достигает уровня пропускной способности.

Эта кривая не может точно отражать реальность, хотя достаточно четко воспроизводит поведение многих популяций. Более сложные модели такого типа представят данные, сильнее приближенные к реальности. Потребление человеком природных ресурсов также можно смоделировать в виде логистических кривых, обеспечивая возможность оценить потребности в этих ресурсах в будущем, а также сроки, на которые их хватит.

Иллюстрация к книге — Укрощение бесконечности. История математики от первых чисел до теории хаоса [i_167.jpg]

Мировое потребление нефти-сырца с 1900 по 2000 г.: сглаженная кривая – данные анализа, неровная кривая – реальные данные


Глава 12. Невозможные треугольники

Евклидова геометрия – единственно верная или нет?

В основу исчисления легли принципы геометрии, но и сама она была сокращена до символических вычислений, которые затем формализовались в анализ. Однако наглядное мышление по-прежнему важно для развития математики, особенно в одном новом и даже поначалу шокирующем направлении. На протяжении более 2000 лет имя Евклида было синонимом геометрии. Последователи успешно развивали его идеи, особенно в области конических сечений, но никто из них так и не внес радикальных изменений в основания дисциплины. Убеждение в том, что в мире существует лишь одна геометрия, евклидова, и строгое математическое описание пространства возможно лишь на его принципах, только укреплялось. Люди с трудом могли даже помыслить о какой-то альтернативе.

Так не могло продолжаться вечно.

Сферическая и проективная геометрия

Первое значительное отступление от правил евклидовой геометрии зародилось в недрах самого что ни на есть практического ее применения – навигации. На коротких расстояниях Земля может считаться практически плоской, и ее географические особенности можно точно перенести на плоскость. Но по мере того, как корабли совершали всё более длительные путешествия, учитывать истинную форму нашей планеты стало жизненно необходимо. Некоторые древние цивилизации знали, что Земля круглая. Доказательств было немало: начиная с того, как исчезает на горизонте уплывающий корабль, и кончая тенью планеты, падающей на Луну во время затмений. Это наталкивало древних ученых на мысль, что Земля – идеальный шар.

На самом деле этот шар слегка сплюснут: на экваторе его диаметр равен 12 756 км, а между полюсов 12 714 км. Разница относительно невелика – 300-я доля. В те времена, когда для навигаторов не считалась ошибкой промашка в несколько сотен километров, их вполне устраивала Земля как идеальный шар. Но тогда упор делался скорее на сферическую тригонометрию, а не геометрию – на саму суть навигационных расчетов, а не логический анализ сферы как особого вида пространства. Поскольку сфера относилась к трехмерному евклидову пространству, никто и не предполагал, что сферическая геометрия может чем-то отличаться от евклидовой. Все неточности списывали на кривизну Земли. Сама же геометрия пространства оставалась полностью евклидовой.

Значительным шагом за пределы евклидовой геометрии стала проективная геометрия, открытая в начале XVII в. На нее первыми обратили внимание не ученые, а художники: вспомните теоретические и практические исследования перспективы мастеров итальянского Возрождения. Их целью было сделать свои картины более реалистичными, а привело это к новому образу мышления в геометрии. И снова эти исследования могли быть восприняты как инновации в рамках классической евклидовой геометрии. Ведь речь шла не о самом пространстве, а о том, как мы видим его.

Открытие, что Евклид может быть не единственным авторитетом, что могут существовать логически обоснованные типы геометрии, опровергающие многие из его теорем, пришло с возрождением интереса к логическим основаниям геометрии. Споры захватили ученых в середине XVIII в. и продолжались до середины XIX в. Больше всего вопросов вызвал так называемый пятый постулат Евклида, который весьма туманно утверждал существование параллельных линий. Попытки вывести его из остальных аксиом Евклида привели к открытию, что такой вывод невозможен и есть и другие виды геометрии, помимо евклидовой. Эта неевклидова геометрия давно стала незаменимым инструментом для исследований в математике и математической физике.

Геометрия и живопись

В истории Европы геометрия пребывала в подобии спячки примерно с 300 по 1600 г. И только вопрос перспективы в живописи вдохнул в нее жизнь, вернув науке практическую ценность: как реалистично изобразить трехмерный мир на двумерном полотне.

Художники Возрождения не занимались исключительно живописью. Многие были востребованы как талантливые инженеры для военных и мирных проектов. Их отношение к искусству всегда имело и практическую сторону, и геометрия перспективы как раз и стала гранью, важной для архитектуры ничуть не меньше, чем для живописи. Также в то время оживился интерес к оптике и математике света, что привело к изобретению телескопа и микроскопа. Первым мэтром, заинтересовавшимся математикой, был Филиппо Брунеллески. По сути, его искусство стало движущей силой для его математики. Стоит также упомянуть о книге Леона Баттисты Альберти «Живопись», созданной в 1435 г. и напечатанной в 1511 г. Альберти начал с принятия некоторых важных, хотя и относительно безвредных упрощений, проявив рефлекс настоящего математика. Человеческое зрение – очень сложная тема. Например, мы используем два слегка расставленных в пространстве глаза, чтобы генерировать стереоскопические образы, получая ощущение глубины. Альберти упростил реальность, предложив работать с одним глазом с точечным зрачком, действующим как камера с малым отверстием. Он представил, как художник готовится писать картину, устанавливая мольберт и стараясь создать картинку на полотне с помощью единственного глаза. И с полотна, и с реального объекта картинка попадает на сетчатку, расположенную в задней части глаза. Самым простым (умозрительным) способом было бы сделать полотно прозрачным, смотреть через него с неподвижной точки и рисовать на полотне точно то, что видит глаз. Так трехмерная картинка проецируется на полотно. Нацельте глаз на каждую ее деталь так, чтобы он смотрел прямо, и отметьте, где эта линия встречается с плоскостью полотна: здесь и следует рисовать эту деталь.

Вход
Поиск по сайту
Ищем:
Календарь