Книга Укрощение бесконечности. История математики от первых чисел до теории хаоса, страница 47 – Йен Стюарт

Авторы: А Б В Г Д Е Ж З И Й К Л М Н О П Р С Т У Ф Х Ч Ш Ы Э Ю Я
Книги: А Б В Г Д Е Ж З И Й К Л М Н О П Р С Т У Ф Х Ц Ч Ш Щ Ы Э Ю Я
Бесплатная онлайн библиотека LoveRead.ec

Онлайн книга «Укрощение бесконечности. История математики от первых чисел до теории хаоса»

📃 Cтраница 47

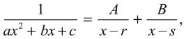
Как и число i само по себе, логарифмы комплексных чисел тут же превратились в очередную проблему. В 1702 г. Иоганн Бернулли исследовал процесс интегрирования, применив его к обратным полиномам второй степени. Он нашел изысканный способ решения этой задачи, когда у квадратного уравнения есть два действительных корня: r и s. Теперь мы можем переписать это подынтегральное выражение, используя так называемые простейшие дроби:

Иллюстрация к книге — Укрощение бесконечности. История математики от первых чисел до теории хаоса [i_153.jpg]

что приводит нас к интегралу

A ln (x – r) + B ln (x – s).

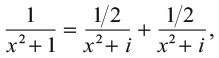
А что, если квадратное уравнение не имеет действительного корня? Как, например, проинтегрировать величину, обратную x2 + 1? Бернулли понимал, что раз уж вы занялись алгеброй комплексных чисел, трюк с простейшей дробью сработает и здесь, только в этом случае r и s будут комплексными числами. Например:

Иллюстрация к книге — Укрощение бесконечности. История математики от первых чисел до теории хаоса [i_154.jpg]

а интеграл этой функции принимает форму:

1/2 ln (x + i) + 1/2 ln (x – i).

Этот финальный шаг не совсем удовлетворителен, поскольку требует определения логарифма комплексного числа. Возможно ли сделать корректным такое утверждение?

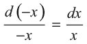
Бернулли считал, что можно, и благодаря этой идее добился потрясающего эффекта. Той же позиции придерживался и Лейбниц. Однако математические детали всё еще требовали доработки. К 1712 г. оба ученых сошлись в споре по самой сути такого подхода. Забудем про комплексные числа, – что такое логарифм отрицательного действительного числа? Бернулли считал, что он тоже должен быть действительным, а Лейбниц утверждал, что он будет комплексным. Бернулли представил нечто вроде доказательства своей правоты: с помощью обычного вычислительного формализма уравнение

Иллюстрация к книге — Укрощение бесконечности. История математики от первых чисел до теории хаоса [i_155.jpg]

может быть проинтегрировано, получим

ln (-x) = ln (x).

Однако Лейбница это не убедило, и он по-прежнему утверждал, что интегрирование будет верно только для положительного действительного x.

Этот узконаправленный спор был разрешен в 1749 г. Эйлером, и оказалось, что Лейбниц был прав. Бернулли забыл, что любой интеграл включает произвольную константу. И вместо полученного Бернулли выражения должно быть

ln (-x) = ln (x) + c

для некой константы с. Но что это за константа? Если логарифм отрицательных (и комплексных) чисел должен иметь свойства логарифма действительных чисел, что и является целью всей игры, то верно, что

ln (-x) = ln (–1 × x) = ln (–1) + ln x,

так что c = ln (–1). Затем Эйлер привел последовательность изящных преобразований, получив еще более явную формулу для с. Прежде всего он нашел способ манипулирования различными формулами, содержащими комплексные числа, придя к выводу, что они ведут себя очень похоже на действительные, и получил соотношение между тригонометрической функцией и экспоненциальной:

eiθ = cos θ + i sin θ.

Эта формула была предложена в 1714 г. Роджером Котсом. Установив, что θ = π, Эйлер получил превосходный результат:

eiπ = –1,

связавший две основные математические константы: e и π. Вызывает восхищение как само существование этой связи, так и ее простота. Эта формула по праву считается одной из самых красивых формул всех времен.

Взяв логарифм, мы получаем:

ln (–1) = iπ,

приоткрывая тайну этой непостижимой константы с из предыдущего текста: она равна iπ. В таком случае это мнимое число, т. е. Лейбниц был прав, а Бернулли ошибался.

Но и это еще не всё: ящик Пандоры едва успел открыться. Если принять, что θ = 2π, то

e2iπ = 1.

Значит, ln (1) = 2iπ. Тогда уравнение x = x × 1 приводит к выводу:

ln x = ln x + 2 iπ.

Тогда для любого целого n

ln x = ln x + 2niπ.

На первый взгляд, бессмыслица: это означает, что 2niπ = 0 для любого n. Но есть и такой способ проинтерпретировать это выражение, что оно покажется осмысленным. В случае комплексных чисел логарифмическая функция многозначна. И действительно, кроме тех случаев, когда комплексное число z равно 0, функция ln z может принимать бесконечно много разных значений (когда z = 0, ее логарифм не определен).

ЧТО КОМПЛЕКСНЫЕ ЧИСЛА ДАЛИ ИМ

Действительные и мнимые части комплексной функции должны удовлетворять условиям Коши – Римана, что тесно связано с применением ДУЧП для гравитации, электричества, магнетизма и некоторых видов гидродинамики на плоскости. Это условие позволяет решать многие уравнения в математической физике – но только для двумерных систем.

Иллюстрация к книге — Укрощение бесконечности. История математики от первых чисел до теории хаоса [i_156.jpg]

Магнитное поле вокруг магнитного стержня, «увидеть» которое помогают железные опилки: комплексный анализ может быть использован при расчете таких полей


Математики привыкли пользоваться функциями, которые могут иметь несколько разных значений, и квадратный корень остается самым очевидным примером: здесь даже действительное число имеет два разных корня, положительный и отрицательный. Но бесконечно много значений? Это действительно странно.

Интегральная теорема Коши

Большой переполох в этой области учинило открытие, что вы можете заниматься исчислением – комплексным анализом – с комплексными функциями, а полученная в результате теория элегантна и полезна. Настолько полезна, что само логическое обоснование данной идеи перестало волновать кого бы то ни было. Когда что-то работает и вы понимаете, что без этого не обойтись, вы обычно не особо задаетесь вопросом, почему так получилось.

Вход
Поиск по сайту
Ищем:
Календарь