Онлайн книга «Искусство трейдинга. Практические рекомендации для трейдеров с опытом»
|
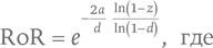
Для payoff ratio = 2 (Norman T. J. Barley formula): ![]() Для любых других значений payoff ratio, как правило, используют симуляцию Монте-Карло. Также можно использовать формулу, описанную Перри Кауфманом в книге «Системы и методы биржевой торговли» (New Trading Systems and Methods) (о ней ниже). Сначала о Монте-Карло. Допустим, Risk = 10 %. Таблица ниже содержит значения RoR, полученные на основе симуляции. Для получения результатов в этой таблице сделки повторялись либо до тех пор, пока капитал не терялся, либо до тех пор, пока капитал не увеличивался в 100 раз. Каждый такой раунд был повторен 100 000 раз, а RoR вычислялся как отношение раундов, в которых капитал был потерян, к 100 000. ![]() Для других значений риска на сделку вы можете воспользоваться следующими таблицами, полученными на основе симуляции. RoR для риска на сделку = 5 %: ![]() RoR для риска на сделку = 2 %: ![]() Формула, описанная Перри Кауфманом, позволяет рассчитать RoR, задавая при этом параметр Max Risk – максимальный уровень допустимых убытков в % от капитала. Если убытки достигают этого уровня, то трейдер считает, что произошел Ruin. Эта формула немного громоздкая: AvgWin% = Risk% × WinLossRatio; AvgLoss% = Risk%; E = expected mean return per trade = ProbWin × AvgWin% + ProbLoss × AvgLoss%; ![]() Для ясности можно разобрать пример вычислений в Excel. К примеру, капитал трейдера $100 000, и он хочет просчитать риск потери 75 % капитала. Другие параметры заданы в таблице: ![]() Если вы не хотите вручную производить вычисления RoR, то можете воспользоваться готовыми формулами и симуляторами в интернете, например по ссылкам: ● http://www.automated-trading-system.com/your-worst-drawdown-is-yet-to-come/; ● http://www.wisdomtrading.com/risk-drawdown-ruin-calculator/. Risk of Ruin (fixed fractional position size) Вычисления меняются, если вы хотите вместо постоянного риска на сделку в абсолютном выражении (fixed position size) использовать постоянную долю от капитала (fixed fractional position size). Допустим, вы уже рассчитали с помощью формулы Келли оптимальный риск на сделку (это число, напомню, является долей от текущего капитала, т. е. fixed fractional position size). Тогда для расчета вероятности того, что капитал вырастет в b раз, прежде чем сократится до доли a от капитала, можно воспользоваться следующей формулой (источник: William Chin and Marc Ingenoso. Risk Formulas For Proportional Betting): ![]() RoR = 1 – P, где P – вероятность того, что капитал вырастет в b раз, прежде чем сократится до а; b – это target, или цель; a – доля капитала, при достижении которой, по вашим представлениям, происходит Ruin; K – Kelly factor. Это множитель, или доля от того самого k, рассчитанного с помощью формулы Келли. Пример. Капитал = $100 000, a = 0,25, b = 4, k = 1 (т. е. вы в каждой сделке рискуете ровно той долей от капитала, которая рассчитана по формуле Келли), тогда вероятность того, что капитал вырастет в четыре раза, прежде чем сократится до 25 % от первоначального уровня (т. е. на 75 %), составляет P = 80 %, а RoR = 1 – 80 % = 20 %. Чем меньше а, тем выше P и, соответственно, ниже RoR, что логично: чем больше запас для того, чтобы пережить трудности, тем больше шансов достичь цели. Если в каждой сделке вы рискуете 75 % от числа, рассчитанного по формуле Келли (от k), т. е. K = 0,75, то P = 91 %, а RoR = 9 %. Если в каждой сделке вы рискуете 50 % от числа, рассчитанного по формуле Келли (от k), т. е. K = 0,5, то P = 98,5 %, а RoR = 1,5 %. Меняя K (Kelly factor), можно прийти к приемлемому для вас уровню RoR. К приведенной выше формуле необходимо относиться с долей осторожности. Значение RoR в ней зависит не от риска на сделку в % от капитала, а от Kelly factor. И для k = 1 %, и для k = 20 % значение RoR будет одинаковым, что нелогично. Если известны средняя доходность и стандартное отклонение доходности вашей торговли, вы можете рассчитать RoR с помощью формулы Cox и Miller из их труда The theory of stochastic processes: ![]() e – число Эйлера, приблизительно равное 2,71828; a – средняя доходность за период; d – стандартное отклонение доходности; z – доля капитала, при достижении которой происходит Ruin (то же, что Max Risk). Пример. a = 15 % = 0,15, z = 0,50, d = 25 % = 0,25, тогда RoR = e ^ ((– 2*0,15 / 0,25) * (ln (1 – 0,5) / ln (1 – 0,25))) = 0,555 = 5,55 %. В качестве периода можно брать день, неделю, месяц, год или другой срок. Вместо периода можно брать сделки. Среди минусов этой формулы, помимо предпосылки о неизменности средней доходности и стандартного отклонения, предпосылка о том, что торговля длится бесконечно. |
![Иллюстрация к книге — Искусство трейдинга. Практические рекомендации для трейдеров с опытом [_68.jpg] Иллюстрация к книге — Искусство трейдинга. Практические рекомендации для трейдеров с опытом [_68.jpg]](img/book_covers/078/78785/_68.jpg)
![Иллюстрация к книге — Искусство трейдинга. Практические рекомендации для трейдеров с опытом [_69.jpg] Иллюстрация к книге — Искусство трейдинга. Практические рекомендации для трейдеров с опытом [_69.jpg]](img/book_covers/078/78785/_69.jpg)
![Иллюстрация к книге — Искусство трейдинга. Практические рекомендации для трейдеров с опытом [_70.jpg] Иллюстрация к книге — Искусство трейдинга. Практические рекомендации для трейдеров с опытом [_70.jpg]](img/book_covers/078/78785/_70.jpg)
![Иллюстрация к книге — Искусство трейдинга. Практические рекомендации для трейдеров с опытом [_71.jpg] Иллюстрация к книге — Искусство трейдинга. Практические рекомендации для трейдеров с опытом [_71.jpg]](img/book_covers/078/78785/_71.jpg)
![Иллюстрация к книге — Искусство трейдинга. Практические рекомендации для трейдеров с опытом [_72.jpg] Иллюстрация к книге — Искусство трейдинга. Практические рекомендации для трейдеров с опытом [_72.jpg]](img/book_covers/078/78785/_72.jpg)
![Иллюстрация к книге — Искусство трейдинга. Практические рекомендации для трейдеров с опытом [_73.jpg] Иллюстрация к книге — Искусство трейдинга. Практические рекомендации для трейдеров с опытом [_73.jpg]](img/book_covers/078/78785/_73.jpg)
![Иллюстрация к книге — Искусство трейдинга. Практические рекомендации для трейдеров с опытом [_74.jpg] Иллюстрация к книге — Искусство трейдинга. Практические рекомендации для трейдеров с опытом [_74.jpg]](img/book_covers/078/78785/_74.jpg)
![Иллюстрация к книге — Искусство трейдинга. Практические рекомендации для трейдеров с опытом [_75.jpg] Иллюстрация к книге — Искусство трейдинга. Практические рекомендации для трейдеров с опытом [_75.jpg]](img/book_covers/078/78785/_75.jpg)