Онлайн книга «Осторожно, спорт! О вреде бега, фитнеса и других физических нагрузок»
|
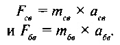
Сегодня нам известно, что сотрясение головного мозга не всегда сопровождается потерей сознания. В то же время какое-либо изменение психического состояния, сопровождающее любую травму головы, свидетельствует о сотрясении мозга. Если после столкновения или удара спортсмен оглушен, шатается как пьяный, смотрит пустым взглядом, говорит заплетающимся языком или у него двоится в глазах, значит, он получил сотрясение мозга. Специальный термин для этой группы травм — легкие черепно-мозговые травмы (ЧМТ). Черепно-мозговые травмы варьируются от очень легких, таких как легкие сотрясения мозга, до очень тяжелых и смертельных. Один из разделов медицины, патофизиология, изучает нарушение функционирования отдельных органов и организма в целом под влиянием повреждений и болезней. Патология может проявляться на макроуровне (например, видимое анатомическое изменение сломанной ноги), на микроскопическом уровне (например, нарушение клеточных структур под влиянием бактериальной инфекции) и на биохимическом уровне — то есть на уровне белков, ДНК и химических взаимодействий, управляющих всеми жизненными процессами. Практически при всех заболеваниях затрагиваются все три указанных уровня. Повреждением головного мозга, по сути, является любой процесс, нарушающий нормальное функционирование нейронной сети. Мозг представляет собой сложную систему, состоящую из миллиардов нервных клеток, называемых нейронами. Каждый нейрон содержит ядро и два вида отростков. ![]() Дендриты — это разветвленные короткие отростки, которых у нейрона может быть несколько. Дендриты близлежащих нейронов соединяются между собой и обеспечивают взаимодействие между клетками. Аксон — это длинный одиночный отросток. Клеточные тела нейронов располагаются на поверхности мозга и образуют его кору, изрезанную большим количеством борозд и извилин, придающих мозгу его характерный складчатый вид. Из-за серого цвета коры ее называют «серым веществом». Аксон сверху покрыт защитной миелиновой оболочкой, которая способствует быстрой передаче нервных импульсов между нейронами. Миелин имеет белый цвет и придает его внутренним структурам мозга, которые называются белым веществом. Аксоны могут проникать далеко вглубь мозга и передавать нервные импульсы к его глубинным структурам, таким как базальные ганглии, таламус, ствол мозга и спинной мозг, где они соединяются с другими нервными клетками. Такие цепочки из соединенных между собой нервных клеток доходят до каждого органа нашего тела — до каждой мышцы, вызывающей движение, до каждой железы, вырабатывающей гормоны, и до каждого органа, выполняющего свою строго определенную функцию. По пути каждый нейрон посредством дендритов соединяется с миллионами других нейронов, что создает внутри нашего тела настоящий «нейронный Интернет» с примерно 100 триллионами синапсов (нейронных связей). Внутри этой невероятно сложной сети ежесекундно передаются триллионы сигналов и совершаются триллионы операций, в результате чего производятся столь простые рефлекторные действия, как моргание глазами, или порождаются столь таинственно непостижимые явления, как человеческая мысль. Такая анатомия мозга объясняет его высокую подверженность травмам. Когда я читаю лекции по черепно-мозговым травмам студентам и интернам, я всегда заставляю их вспомнить кое-какой материал из школьной программы физики. Поскольку изучение в школе хотя бы одного курса физики является обязательным требованием для поступления в медицинский вуз, все мои студенты были вынуждены продираться сквозь дебри этой сложнейшей науки. И, хотя некоторым это даже нравилось, применимость физических знаний в повседневной медицинской практике весьма незначительна. ![]() Нейронные связи Однако нейрохирургам, лечащим черепно-мозговые травмы, такие знания могут пригодиться. Поэтому я напоминаю своим студентам второй закон Ньютона: F = та. Этот закон гласит, что сила, действующая на тело, равна произведению массы на ускорение. Это универсальное уравнение. Оно помогает доставлять астронавтов в космос, в свое время позволило Иоганну Кеплеру вывести законы движения планет, также оно объясняет, почему человеческий мозг столь плохо переносит резкие изменения в своем состоянии покоя или движения. Черепно-мозговая травма может возникать в двух случаях: когда на находящуюся в состоянии покоя голову воздействует движущийся предмет либо когда находящаяся в состоянии движения голова ударяется о неподвижный предмет, что приводит к резкому изменению скорости ее движения, иногда до полной мгновенной остановки. Поскольку нервные клетки состоят из двух столь анатомически разных структур — клеточных тел, образующих серое вещество (св), и аксонов, образующих белое вещество (бв) — они неоднородны по массе. Другими словами, ![]() то есть масса серого вещества не равна массе белого вещества. (Оставайтесь со мной. В конце концов это всего лишь физика!) Однако сила, прилагаемая к голове травмирующим предметом, прилагается одинаково и к серому, и к белому веществу. То есть ![]() Отсюда мы можем вывести два уравнения: ![]() Поскольку на обе части нейрона воздействует одинаковая травмирующая сила, левые части уравнений равны. Значит, правые части уравнений также должны быть равны: ![]() Но, как нам известно, их массы не равны. Следовательно, придаваемое им ускорение также не может быть равным, то есть ![]() |
![Иллюстрация к книге — Осторожно, спорт! О вреде бега, фитнеса и других физических нагрузок [img_8.jpg] Иллюстрация к книге — Осторожно, спорт! О вреде бега, фитнеса и других физических нагрузок [img_8.jpg]](img/book_covers/078/78551/img_8.jpg)
![Иллюстрация к книге — Осторожно, спорт! О вреде бега, фитнеса и других физических нагрузок [img_9.jpg] Иллюстрация к книге — Осторожно, спорт! О вреде бега, фитнеса и других физических нагрузок [img_9.jpg]](img/book_covers/078/78551/img_9.jpg)
![Иллюстрация к книге — Осторожно, спорт! О вреде бега, фитнеса и других физических нагрузок [img_10.jpg] Иллюстрация к книге — Осторожно, спорт! О вреде бега, фитнеса и других физических нагрузок [img_10.jpg]](img/book_covers/078/78551/img_10.jpg)
![Иллюстрация к книге — Осторожно, спорт! О вреде бега, фитнеса и других физических нагрузок [img_11.jpg] Иллюстрация к книге — Осторожно, спорт! О вреде бега, фитнеса и других физических нагрузок [img_11.jpg]](img/book_covers/078/78551/img_11.jpg)
![Иллюстрация к книге — Осторожно, спорт! О вреде бега, фитнеса и других физических нагрузок [img_12.jpg] Иллюстрация к книге — Осторожно, спорт! О вреде бега, фитнеса и других физических нагрузок [img_12.jpg]](img/book_covers/078/78551/img_12.jpg)
![Иллюстрация к книге — Осторожно, спорт! О вреде бега, фитнеса и других физических нагрузок [img_13.jpg] Иллюстрация к книге — Осторожно, спорт! О вреде бега, фитнеса и других физических нагрузок [img_13.jpg]](img/book_covers/078/78551/img_13.jpg)
![Иллюстрация к книге — Осторожно, спорт! О вреде бега, фитнеса и других физических нагрузок [img_14.jpg] Иллюстрация к книге — Осторожно, спорт! О вреде бега, фитнеса и других физических нагрузок [img_14.jpg]](img/book_covers/078/78551/img_14.jpg)