Книга Творцы совпадений, страница 25 – Йоав Блум

Авторы: А Б В Г Д Е Ж З И Й К Л М Н О П Р С Т У Ф Х Ч Ш Ы Э Ю Я
Книги: А Б В Г Д Е Ж З И Й К Л М Н О П Р С Т У Ф Х Ц Ч Ш Щ Ы Э Ю Я
Бесплатная онлайн библиотека LoveRead.ec

Онлайн книга «Творцы совпадений»

📃 Cтраница 25

– Отлично, – сказал Генерал. – Эмили, уж следующее ты должна знать.

– Номер два в верхний левый угол, – сказала Эмили ровным голосом.

– Не слишком распаляйся, – сказал Генерал, опуская кий под правильным углом к столу.

– Это довольно очевидно, – сказала Эмили.

– То есть?

– То есть, после того как я завалила два предыдущих вопроса, вы подкидываете мне самый простой случай, чтобы поднять мою самооценку. Спасибо, но это довольно очевидно.

– И поскольку это очевидно, то и менее значимо, конечно. Да? – сказал Генерал.

– Для меня, – сказала Эмили.

– А для шара номер два? – спросил Генерал.

Эмили убрала руки в карманы:

– В каком смысле?

– В том смысле, что, при всем уважении, если ты будешь ранжировать твои совпадения только по степени сложности или по тому, насколько они дают тебе чувство комфорта, ты забудешь, что важно изменение, которое ты производишь в жизни других людей. Тогда ты начнешь путать существенное и несущественное. Люди, которые влюбляются друг в друга после того, как ты поработала над их совпадением пять минут, делают это с той же страстью и с тем же ощущением фатальности, что и люди, которым ты готовила встречу на протяжении шести месяцев. Если ты пренебрегаешь простыми и очевидными совпадениями, значит тебе плевать на работу и важно лишь, как ты выглядишь, делая ее.

Он немного склонился над столом:

– И никогда не думай, что я тебя спрашиваю, чтобы поднять твою самооценку. Вообще, не пытайтесь меня исследовать – нос не дорос.

Он резко ударил кием. Номер два влетел в верхний левый угол.


Генерал разогнулся и осмотрелся вокруг, полуулыбка как будто пыталась пробиться на его лицо, но не смогла.

На столе осталось два шара, друг напротив друга. Один из них был белый.

– Что сейчас произойдет?

– Девятка в дальний правый угол, – сказала Эмили.

– В дальний левый угол, – сказал Гай.

– Ударится о бортик и улетит в ближний правый угол, – сказал Арик.


Генерал нагнулся над столом и направил кий.

– Вот что сейчас произойдет, – сказал Генерал. – Парочка у бара поцелуется.

Они все повернулись в направлении бара и увидели, как головы парня и девушки за барной стойкой постепенно сближаются, будто сомневаясь. Послышался звук удара шаров, и молодые люди поцеловались.

Генерал стоял сейчас позади стола с кием в руке. На столе остался только белый шар.

– Это, может быть, самое важное, – сказал он, когда они опять повернулись к нему. – Всегда есть более широкая перспектива. Всегда есть что-то вне системы, на которой ты концентрируешься. Никогда не забывайте об этом. Нет четких границ, жизнь не заканчивается за пределами стола, и всегда есть более шести луз, в которые можно упасть. Всегда есть нечто большее. Всегда, всегда, всегда.

Эмили собралась спросить что-то, но не решилась. Это подождет.

– Последний вопрос, – сказал Генерал. – Куда в итоге упал шар номер девять?

Они молчали. Никто не заметил.

– Зафиксируйте свое первое и последнее поражение, – сказал Генерал и положил кий на стол. – При всем уважении к широкой картине, не для того смотрят целую игру, чтобы упустить последний шар. Начинайте привыкать. Вы должны обращать внимание на гораздо большее количество вещей, чем вы думаете.

Из «Способов определения целей для совпадений». Введение

Даже если мы ограничимся последними пятью столетиями, то все равно не сможем полностью описать в этом кратком введении развитие наук о счастье, и все-таки попытаемся пройтись по основным вехам. Более подробный анализ вы найдете в источниках в приложении (из них мы советуем, главным образом, «Разработку модели счастья – тысяча первых лет», «Разработку модели счастья – тысяча последних лет» и «Теорию счастья для начинающих», все три – авторства теоретика Жана Кучи).

Классический период исследований счастья характеризуется в основном попытками вывести единую формулу, которая могла бы охватить все его основные составляющие.

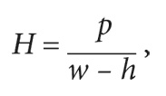
По Вольтану, например, счастье – это всегда обратное соотношение между личным потенциалом счастья и разностью между тем, что человек желает, и тем, что он имеет в реальности:

Иллюстрация к книге — Творцы совпадений [i_001.jpg]

где H – это уровень счастья, p – личный потенциал счастья (personal happiness potential, или PHP в некоторой профессиональной литературе), w – желаемое (want), h – действительное (have).

Вольтан утверждал, что максимальный уровень личного счастья зависит от личного потенциала счастья каждого, и чем меньше разница между желаемым и действительным, тем больше общее счастье. Отсюда вытекают два основных условия максимизации счастья – уменьшение w (то, что называется «снижение ожиданий» или «низкие ожидания») и наращивание h (что называется «успешность» или «удача», в зависимости от школы).

Основные проблемы формулы Вольтана

Проблема ограниченности: предельное состояние, когда у человека есть все, что он хочет, не определено формулой либо приводит к неограниченному счастью.

Проблема отрицательности: ситуация, в которой у кого-то есть больше, чем он хочет, определяется как отрицательное счастье, и это вызывает ряд проблем.

Проблема зависимости переменных: самое тяжелое обвинение против формулы Вольтана было выдвинуто Мюриэль Фабрик. В своей книге «Распределить и то и другое» она доказала, что если потенциал p действительно существует, то должно испытывать влияние желаемого и действительного, что делает формулу Вольтана нелинейной и нерешаемой при помощи имеющихся средств.

Формула Фабрик

Мюриэль Фабрик смогла доказать, что нельзя определить постоянные единицы измерения желаемого и действительного и иногда один и тот же человек пользуется различными единицами измерения. Поэтому формула, которую предложила Фабрик, была, по мнению большинства критиков, вариацией формулы Вольтана. Сначала Фабрик вывела формулу, согласно которой счастье является относительной величиной, измеряемой только по отношению к другим факторам, зачастую к счастью кого-то другого. Однако ближе к концу жизни она представила новую формулу, согласно которой счастье – это наслаждение или личное удовлетворение, помноженное на чувство значимости (или относительной иллюзии значимости) в квадрате:

H = pm2.

Эта формула позволила рассматривать счастье в терминах, отличных от приобретений и потерь, и подчеркнула его субъективную природу.

Принцип неопределенности Джорджа Джорджа

Исландский теоретик Джордж Джордж утверждал, что нельзя измерить как качество, так и размер ни одной из классических характеристик Вольтана, не влияя на них самим фактом их рассмотрения. По сути, нельзя проверить счастье, не изменив его, причем как в одномерном случае по Вольтану, так и в многомерном случае по Фабрик.

Вход
Поиск по сайту
Ищем:
Календарь