Книга Увлекательно о космосе. Межпланетные путешествия, страница 23 – Яков Перельман

Авторы: А Б В Г Д Е Ж З И Й К Л М Н О П Р С Т У Ф Х Ч Ш Ы Э Ю Я
Книги: А Б В Г Д Е Ж З И Й К Л М Н О П Р С Т У Ф Х Ц Ч Ш Щ Ы Э Ю Я
Бесплатная онлайн библиотека LoveRead.ec

Онлайн книга «Увлекательно о космосе. Межпланетные путешествия»

📃 Cтраница 23

Кроме силы тяжести, отлету ракеты с поверхности Земли должна препятствовать и атмосфера. Мы не можем рассматривать в этой книге влияние сопротивления воздуха на движение ракеты – вопрос этот чересчур сложен. Ограничимся указанием на то, что работа преодоления ракетой атмосферного сопротивления гораздо меньше, чем работа преодоления тяжести. При весе ракеты Ют, площади поперечного сечения 4 м2 и ускорении ее движения – 30 м/с2 давление взрывных газов на нее будет равно 30 т; сопротивление же атмосферы, по расчетам К.Э. Циолковского, при хорошо обтекаемой форме ракеты не будет превышать 100 кг. Профессор Оберт, германский теоретик звездоплавания, считает, что скорость ракеты, отсылаемой с Земли в бесконечность, уменьшается сопротивлением атмосферы всего на 200 м/с. Для ракет земного назначения, пролетающих в атмосфере значительную часть пути, величина сопротивления больше, чем для космических. В случае отсылки, например, ракеты на Луну (при выборе наиболее экономного проекта) максимальная скорость достигается на высоте 1700 км – далеко за пределами атмосферы. Плотный же слой атмосферы, толщиной 50 км, прорезается этой ракетой с довольно умеренной скоростью, которая лишь на уровне 50 км достигает 1,7 км/с – величины порядка скорости снаряда сверхдальнобойной артиллерии. Следовательно, нет места тем опасениям, которые нередко высказываются противниками звездоплавания, – что ракета не в силах пробить воздушный панцирь нашей планеты.

Точно так же и при возвращении из космического перелета снова на Землю ракета вступит в плотную часть нашей атмосферы вовсе не со скоростью близкой к скорости метеоров.

Присутствие атмосферы – отметим кстати – не только не является препятствием к осуществлению межпланетных перелетов, но, напротив, должно быть рассматриваемо как фактор, без которого они едва ли могли бы быть когда-нибудь реализованы. В самом деле, если атмосфера несколько увеличивает расход горючего при отлете с Земли, то зато она же создает огромную экономию горючего при возвращении ракеты из межпланетного рейса, давая возможность затормозить ракету почти без расхода горючего (подробнее об этом будет сказано в главе 15).

Часто задают вопрос: может ли ракета в мировом пространстве изменить направление своего полета? Безусловно, может. Для этого нужно лишь изменить направление газовой струи. Тогда с ракетой произойдет то же, что происходит со свободным телом, получившим удар вне центра его массы: ракета получит вращательное движение. Пользуясь этим, пилот будет иметь возможность менять по желанию курс своего ракетного корабля и даже повертывать его в безвоздушном пространстве на 180°.

Глава 14
Звездная навигация

Скорости, пути, сроки

Первое, что надо разрешить, обсуждая условия звездоплавания, – это вопрос скорости: какою скоростью необходимо снабдить отправляемый с Земли звездолет, чтобы он мог выполнить тот или иной межпланетный рейс? Некоторые из относящихся сюда числовых данных уже приводились ранее. Мы знаем, что круговой облет земного шара осуществляется при скорости (за пределами атмосферы) в 7,9 км/с, а при затрате энергии, отвечающей скорости 11,2 км/с, звездолет совершенно освобождается от цепей земного тяготения. Земного, но не солнечного. Ракета, которая ринется с Земли с такою скоростью в направлении годового движения нашей планеты, превратится как бы в самостоятельную планету, кружащуюся не около Земли, а около Солнца со скоростью 30 км/с. Она сможет беспрепятственно удаляться от Земли по ее орбите, но не сможет еще уйти от власти Солнца, могучее притяжение которого будет удерживать ее на определенном расстоянии. Чтобы заставить ракету удалиться от Солнца, то есть описывать более обширную орбиту, нужно увеличить ее скорость либо же с самого начала бросить ее в пространство с увеличенной скоростью. Если мы желаем, чтобы звездолет мог свободно перемещаться по всей планетной системе и даже вовсе покинуть царство нашего Солнца, мы должны снабдить его энергией, соответствующей скорости 16,7 км/с. При скорости промежуточной между 11,2 и 16,7 км/с ракета сможет долететь до орбиты любой из планет нашей системы. Какая же минимальная скорость нужна для достижения с Земли той или иной планеты? Расчет дает следующие цифры (подобные расчеты см. в Приложении 4):

Иллюстрация к книге — Увлекательно о космосе. Межпланетные путешествия [i_052.jpg]

Здесь надо сделать два пояснения. Во-первых, слово «скорость» в этих случаях есть не столько мера быстроты передвижения, сколько мера запаса энергии звездолета. Во-вторых, не следует думать, что, покинув Землю с некоторою скоростью, звездолет сохраняет ее во все время перелета; нет, скорость в пути изменяется согласно второму закону Кеплера: звездолет движется тем медленнее, чем дальше уходит он от центра притяжения.

Будущему звездоплавателю придется отчаливать не только с Земли. В далеких странствованиях, посетив другие планеты, он должен будет взлетать на своем корабле с их поверхности. Какие понадобятся скорости для освобождения от их притяжения? Это можно вычислить, зная радиус планеты и напряжение тяжести на ее поверхности (см. Приложение 4).

Результаты вычислений даны в следующей таблице:

Иллюстрация к книге — Увлекательно о космосе. Межпланетные путешествия [i_053.jpg]

Труднее всего было бы подняться с поверхности (фотосферы) Солнца, если бы это могло понадобиться: нужна скорость 618 км/с. Зато с лунной поверхности можно отлететь при скорости всего 2,4 км/с, не слишком далекой от той, с какой снаряды покидали жерло пушки «Колоссаль» при бомбардировке Парижа с расстояния 120 км.

Небесные тела, от которых всего легче отчаливать космическому кораблю, – это астероиды и мелкие планетные спутники. Чтобы покинуть, например, поверхность одного из спутников Марса – самых крошечных из известных нам планетных лун, – достаточно было бы сообщить ракете начальную скорость всего лишь 20 м/с. Отсюда ясно, какое важное значение приобретут в будущем подобные миниатюрные небесные тела в качестве удобных пристаней для временных стоянок космических кораблей.

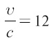
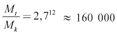
Зато высадка на Юпитер (и обратный взлет с него) совершенно неосуществима при тех средствах, которые мы можем предвидеть. Действительно, для подъема с Юпитера нужна начальная скорость 60 км/с – в 12 раз большая, чем скорость вытекания газа в водородной ракете. Но если

Иллюстрация к книге — Увлекательно о космосе. Межпланетные путешествия [i_054.jpg]
, то
Иллюстрация к книге — Увлекательно о космосе. Межпланетные путешествия [i_055.jpg]
(см. уравнение ракеты). Устроить ракету в 160 тысяч раз более легкую, чем заключенный в ней запас горючего, конечно, немыслимо. Вообще, посещение больших планет – Юпитера, Сатурна, Урана, Нептуна – вопрос, не разрешенный современной теорией звездоплавания.

Вход
Поиск по сайту
Ищем:
Календарь