Книга Бронемашины Сталина, 1925-1945, страница 68 – Максим Коломиец

Авторы: А Б В Г Д Е Ж З И Й К Л М Н О П Р С Т У Ф Х Ч Ш Ы Э Ю Я
Книги: А Б В Г Д Е Ж З И Й К Л М Н О П Р С Т У Ф Х Ц Ч Ш Щ Ы Э Ю Я
Бесплатная онлайн библиотека LoveRead.ec

Онлайн книга «Бронемашины Сталина, 1925-1945»

📃 Cтраница 68
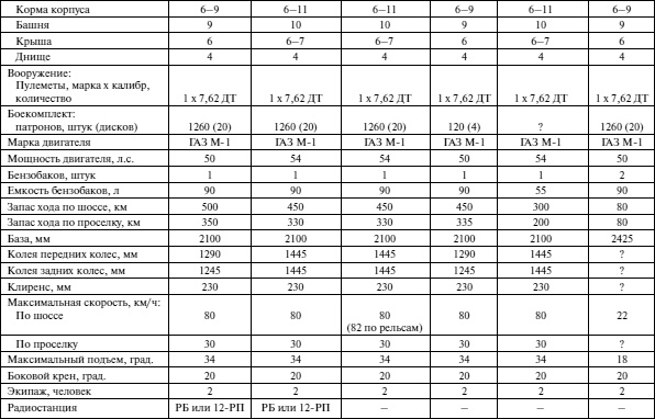
Приложения
Иллюстрация к книге — Бронемашины Сталина, 1925-1945 [i_255.jpg]
Иллюстрация к книге — Бронемашины Сталина, 1925-1945 [i_256.jpg]
Иллюстрация к книге — Бронемашины Сталина, 1925-1945 [i_257.jpg]
Иллюстрация к книге — Бронемашины Сталина, 1925-1945 [i_258.jpg]
Иллюстрация к книге — Бронемашины Сталина, 1925-1945 [i_259.jpg]
Иллюстрация к книге — Бронемашины Сталина, 1925-1945 [i_260.jpg]
Иллюстрация к книге — Бронемашины Сталина, 1925-1945 [i_261.jpg]
Иллюстрация к книге — Бронемашины Сталина, 1925-1945 [i_262.jpg]
Иллюстрация к книге — Бронемашины Сталина, 1925-1945 [i_263.jpg]
Иллюстрация к книге — Бронемашины Сталина, 1925-1945 [i_264.jpg]
Иллюстрация к книге — Бронемашины Сталина, 1925-1945 [i_265.jpg]

~ ~ ~

В книге использованы фотографии из фондов Российского Государственного архива кинофотодокументов (РГАКФД), Российского Государственного военного архива (РГВА), Российского Государственного архива экономики (РГАЭ), Центрального музея Вооруженных Сил (ЦМВС), музея Ижорского завода, из коллекций |Я. Магнуского| (Польша), Е. Муикку (Финляндия), а также из архива издательства «Стратегия КМ» (АСКМ).

Источники и литература

1. Российский государственный военный архив.

Фонды: Управление моторизации и механизации РККА (Автобронетанковое управление РККА), Научно-испытательный полигон АБТУ РККА, Главное артиллерийское управление РККА, Секретариат наркома обороны СССР, Коллекция материалов по советско-финляндской войне, Коллекция материалов по боям у реки Халхин-гол, Коллекция материалов по Гражданской войне в Испании, Полевое управление Белорусского фронта, Полевое управление Украинского фронта.


2. Российский государственный архив экономики.

Фонды: Народный комиссариат тяжелой промышленности СССР, Министерство тяжелого машиностроения СССР, Народный комиссариат танковой промышленности СССР, Народный комиссариат среднего машиностроения, Всесоюзный трест специального машиностроения наркомата тяжелой промышленности, 3-е Главное управление наркомата танковой промышленности СССР, 1-е Главное управление министерства транспортного машиностроения.


3. Центральный архив Министерства Обороны.

Фонды: Главное автобронетанковое управление Красной Армии, Управление командующего бронетанковыми и механизированными войсками Западного фронта; Управление командующего бронетанковыми и механизированными войсками Юго-Западного фронта, Управление командующего бронетанковыми и механизированными войсками Брянского фронта, Управление командующего бронетанковыми и механизированными войсками Ленинградского фронта, Управление командующего бронетанковыми и механизированными войсками 1-го Белорусского фронта, Управление командующего бронетанковыми и механизированными войсками 2-го Белорусского фронта, Управление командующего бронетанковыми и механизированными войсками 2-го Украинского фронта, Управление командующего бронетанковыми и механизированными войсками Забайкальского фронта, Управление 1-го механизированного корпуса, Управление 5-го механизированного корпуса, Управление 7-го механизированного корпуса, Управление 8-го механизированного корпуса, Управление 9-го механизированного корпуса, Управление 15-го механизированного корпуса, Управление 19-го механизированного корпуса, Управление 22-го механизированного корпуса, Штаб 1-й танковой дивизии, Штаб 5-й танковой дивизии, Штаб 14-й танковой дивизии, Штаб 17-й танковой дивизии, Штаб 18-й танковой дивизии, Научно-испытательный бронетанковый полигон, Гороховецкий научно-испытательный артиллерийский полигон, Штаб 1-го отдельного автобронебатальона, Штаб 2-го отдельного автобронебатальона.


4. Коломиец М. Средние бронеавтомобили Красной Армии («Фронтовая иллюстрация» № 6 2003). — М., ООО «Стратегия KM», 2003.

5. Коломиец М. Средние бронеавтомобили Красной Армии в боях («Фронтовая иллюстрация» № 4 2005). — М., ООО «Стратегия KM», 2005.

6. Коломиец М. Легкие бронеавтомобили Красной Армии довоенной постройки («Фронтовая иллюстрация» № 2 2007). — М., ООО «Стратегия KM», 2007.

7. Прочко Е. Вездеходы РККА («Армада № 7»). — М., Экспринт HB, 1998.


Реклама
Вход
Поиск по сайту
Ищем:
Календарь