Онлайн книга «Финансовая отчетность для руководителей и начинающих специалистов»
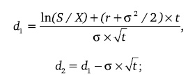
![]() Как видите, ожидаемая прибыль от опциона, т. е. его рыночная стоимость, составляет $5,30, хотя, реализовав его немедленно, вы получите всего $5. Эти дополнительные $0,30 называются опционной премией (option premium). Опционная премия – плата за страховку обладателя опциона от убытков и возможность получения дополнительной прибыли. Обратите внимание, что чем больше срок действия опциона, тем он ценнее. Например, если бы срок действия опциона в примере истекал через 2 месяца, то его справедливая цена составила бы всего 5,11: ![]() Модель, которую мы рассмотрели выше, называется биномиальной моделью (binomial model). Экономисты Фишер Блэк и Майрон Шоулз еще в 1973 г. свели эту модель к формуле, которая получила название формулы Блэка – Шоулза (Black-Sholes option-pricing formula): ![]() где С – теоретическая цена опциона; S – текущая рыночная цена акции; Х – страйк-цена опциона; t – время до истечения опциона; r – доходность по безрисковым вложениям (процент дохода, который вы можете получить, вложив свои деньги в самые безопасные виды ценных бумаг, например в государственные облигации); N – кумулятивная функция нормального распределения (см. теорию вероятности); ![]() σ – ожидаемое стандартное отклонение дохода на акцию от изменения ее курса; Не пугайтесь сильно. Этот монстр по сути та же самая биномиальная модель просто с очень большим количеством «квадратиков». Эту формулу можно применять в Excel с помощью несложных дополнительных программ, которые можно найти в Интернете (например, по адресу http://www.webcabcomponents.com/office/download.php). Формула Блэка – Шоулза показала свою практическую эффективность при определении рыночной цены опционов и используется повсеместно. Поэтому в 1997 г. Майрон Шоулз получил за нее Нобелевскую премию (Фишер Блэк, к сожалению, к тому моменту скончался, а Нобелевский комитет не присуждает премии посмертно). Давайте построим график цены опциона в зависимости от цены акции: ![]() Обратите внимание на следующие моменты: • опцион практически всегда стоит больше, чем его «внутренняя ценность»; • опционная премия – наибольшая в тот момент, когда текущий курс акций близок к страйк-цене опциона. Уяснив эти моменты, давайте перейдем к отражению опционных программ в финансовой отчетности компаний. Учет опционных программ в финансовой отчетности
Ни один стандарт финансовой отчетности не вызывал таких дискуссий и, я даже не побоюсь сказать, политических войн, как стандарт учета опционов в финансовой отчетности. Очевидность того, что опционные программы представляют собой часть расходов компании на оплату труда, не вызывала вопросов с момента появления этих программ. Весь вопрос в том, каковы размеры этих расходов. До недавнего времени компании учитывали расходы на такие опционы по «внутренней ценности» выдаваемых опционов. Грубо говоря, если в момент выдачи сотруднику опциона его страйк-цена была ниже рыночной цены акций, то компания записывала в уменьшение прибыли (расходы по опционной программе) разницу между страйк-ценой опциона и рыночной ценой. Поскольку большинство компаний, использовавших опционные программы, устанавливало страйк-цену опционов выше текущей рыночной цены акций либо акции таких компаний не торговались на бирже (и «внутреннюю ценность» опциона нельзя было надежно измерить), то никаких расходов в финансовой отчетности компании не показывали. Ситуация устраивала всех до начала 1990-х гг., когда резкое увеличение популярности опционных программ вновь поставило вопрос об отражении их в отчетности на повестку дня. Как мы уже поняли, реальная стоимость опциона выше его внутренней ценности, подчас весьма значительно. Иными словами, использование в финансовой отчетности только учета по принципу «внутренней ценности» оставляло за рамками финансовой отчетности значительную часть реальных расходов работодателей по опционным программам. Такой порядок учета привел к тому, что молодые компании стали использовать опционные программы крайне активно, причем не только для оплаты труда, но и для финансирования своих текущих расходов, например аренды офисов, ведь это позволяло снизить затраты в финансовой отчетности. По сути, часть расходов компаний была спрятана от глаз инвесторов из-за особенностей учета опционов. В связи с этим органы, отвечающие за стандарты финансовой отчетности, подняли вопрос о необходимости пересмотра учета опционов и отражения затрат, связанных с ними, не по «внутренней ценности», а по справедливой стоимости опционов. Это вызвало настоящий переполох, особенно среди компаний сферы высоких технологий, которые использовали опционы наиболее активно. Неудивительно, такое решение привело бы к необходимости значительно снизить показатели прибыли в финансовой отчетности. Взгляните, например, как изменились бы показатели прибыльности некоторых крупных западных компаний в 2004 г., если бы они отражали затраты на опционы по справедливой стоимости. Как видите, прибыль многих компаний, даже таких известных, как AMD (второй в мире по размеру производитель микропроцессоров), при учете расходов на опционы по справедливой стоимости превратилась бы в убытки. ![]() Неудивительно, что вопрос учета стоимости опционов в финансовой отчетности вызвал ожесточенные дебаты, в том числе и политические. В США этот вопрос поднимался даже в конгрессе. Более того, из-за него конгрессмены угрожали лишить FASB (Federal Accounting Standards Board) полномочий по установлению стандартов финансовой отчетности в США! Если в международных стандартах финансовой отчетности вопрос отражения расходов на опционы по справедливой стоимости был закреплен еще в 1998 г., в США война между FASB и практически всем деловым миром продолжалась до 2006 г. До этого момента американским компаниям US GAAP разрешал учитывать опционы по «внутренней ценности», но рекомендовал дополнительно показывать в примечаниях к финансовой отчетности и «реальные» расходы по справедливой стоимости. Практически единственным защитником позиции FASB был Уоррен Баффет, который называл существующие стандарты «наиболее вопиющим случаем неприятия менеджерами и бухгалтерами объективной реальности» и сравнивал учет опционов по внутренней ценности с приравниванием значения числа π к 3, «чтобы было удобнее студентам». Но в конечном итоге здравый смысл победил. |
![Иллюстрация к книге — Финансовая отчетность для руководителей и начинающих специалистов [i_276.jpg] Иллюстрация к книге — Финансовая отчетность для руководителей и начинающих специалистов [i_276.jpg]](img/book_covers/077/77094/i_276.jpg)
![Иллюстрация к книге — Финансовая отчетность для руководителей и начинающих специалистов [i_277.jpg] Иллюстрация к книге — Финансовая отчетность для руководителей и начинающих специалистов [i_277.jpg]](img/book_covers/077/77094/i_277.jpg)
![Иллюстрация к книге — Финансовая отчетность для руководителей и начинающих специалистов [i_278.jpg] Иллюстрация к книге — Финансовая отчетность для руководителей и начинающих специалистов [i_278.jpg]](img/book_covers/077/77094/i_278.jpg)
![Иллюстрация к книге — Финансовая отчетность для руководителей и начинающих специалистов [i_279.jpg] Иллюстрация к книге — Финансовая отчетность для руководителей и начинающих специалистов [i_279.jpg]](img/book_covers/077/77094/i_279.jpg)
![Иллюстрация к книге — Финансовая отчетность для руководителей и начинающих специалистов [i_280.jpg] Иллюстрация к книге — Финансовая отчетность для руководителей и начинающих специалистов [i_280.jpg]](img/book_covers/077/77094/i_280.jpg)
![Иллюстрация к книге — Финансовая отчетность для руководителей и начинающих специалистов [i_281.jpg] Иллюстрация к книге — Финансовая отчетность для руководителей и начинающих специалистов [i_281.jpg]](img/book_covers/077/77094/i_281.jpg)