Онлайн книга «Финансовая отчетность для руководителей и начинающих специалистов»
|
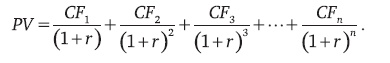
• В случае порчи оборудования компания компенсирует лизингодателю остаточную стоимость этого оборудования. • В конце срока лизинга компания имеет право купить оборудование у лизингодателя за символическую цену в 1 руб. В этом случае компания не берет оборудование в аренду. Она покупает его в кредит. Лизингодатель не может передать это оборудование кому-то другому. Компания не может отказаться от использования оборудования и перестать платить лизинговые платежи. Фактически у компании есть долгосрочный кредит, который она должна погасить. Логика подсказывает, что такой кредит должен быть обозначен в балансе компании. Чтобы учесть подобные ситуации, в стандартах ведения финансовой отчетности существуют два основных вида лизинга: • операционный лизинг (аренда) (operating lease) – краткосрочная аренда; • финансовый или капитальный лизинг (аренда) (capital lease) – долгосрочная аренда, которая фактически означает, что компания владеет соответствующим оборудованием (основными средствами). Арендные платежи по операционному лизингу считаются расходами компании и относятся на уменьшение прибыли, как любые другие расходы. Учет финансового лизинга несколько сложнее. Схема учета исходит из следующей логики: компания покупает актив за счет долгосрочного кредита. В общем случае при финансовом лизинге в активной части баланса компании появляется арендуемый актив. Одновременно с этим в пассивной части баланса появляются обязательства по финансовому лизингу. В процессе использования актива компания: • начисляет амортизацию по основному средству; • лизинговые платежи разбивает на две части по тому же принципу, что и при учете облигаций: – уплата процентов по лизинговому обязательству; – уплата основной части лизингового обязательства. Давайте рассмотрим учет финансового лизинга на примере. «Аэрофлот» берет в лизинг у компании «Ильюшин-финанс» самолет Ту-204. Условия лизинга: • Начальная стоимость самолета $30 000 000. • Ожидаемый срок использования – 20 лет. • После окончания использования остаточная стоимость Ту-204 равна нулю. • Ставка по кредитам для «Аэрофлота» равна 16 %. Первый вопрос, который нас интересует: сколько денег должен ежегодно платить «Аэрофлот» за лизинг Ту-204? Логика ответа та же самая, как и для определения цены облигаций (перечитайте главу «Долговые обязательства», если не очень хорошо помните): «Ильюшин-финанс» должен получать 16 % годовых на ту сумму кредита (фактически «Ильюшин-финанс» дает «Аэрофлоту» кредит под залог самолета), которую реально использует «Аэрофлот». При этом PV самолета, т. е. его текущая рыночная цена, равна $30 000 000. Надо узнать ежегодные платежи. Вспомним формулу PV: ![]() В нашем примере PV = $30 000 000, CF – это ежегодные платежи, r – это ставка по кредиту: ![]() Отсюда: CF = $5 060 000 (можете самостоятельно сделать вычисления, построив в Excel таблицу платежей и найдя значение CF с помощью функции подбора параметра или же просто использовав функцию Excel = ПЛТ). Итак, ежегодно за использование Ту-204 «Аэрофлот» должен будет выплачивать «Ильюшин-финанс» $5,06 млн. Второй вопрос: какие операции зафиксирует «Аэрофлот» в течение всего срока лизинга? Предположим, что аренда фиксируется как операционный лизинг. В этом случае каждый год в момент выплаты «Аэрофлот» будет отражать у себя расходы по операционному лизингу: ![]() Если рассматривать ситуацию как финансовый лизинг, то при заключении договора «Аэрофлот» отразит у себя актив в размере PV лизингового обязательства: ![]() Обратите внимание, что фиксируется только PV (дисконтированная стоимость), а не общая сумма выплачиваемых обязательств (общая сумма будущих выплат составит $5,06 млн × 20 лет = $101,2 млн). Фактически PV – это сумма, которую сейчас «Ильюшин-финанс» дает «Аэрофлоту» в кредит под 16 % годовых под залог самолета. В конце первого года «Аэрофлот»: • заплатит $5 060 000 компании «Ильюшин-финанс». Причем из этих денег $4,8 млн составят процентные расходы (interest expense) за пользование кредитом ($30 млн × 16 % = $4,8 млн), а оставшаяся сумма ($5 060 000 – $4 800 000 = $260 000) пойдет в уменьшение основной части долга; • начислит на самолет амортизацию в размере $1,5 млн ($30 млн × 1/20 = $1,5 млн): ![]() В конце второго года операции аналогичны: • лизинговый платеж по-прежнему $5 060 000. Однако процентные расходы составят $4 758 400 ($29 740 000 × 16 % = $4 758 400), в погашение основной суммы пойдет $301 600; • амортизация по-прежнему составит $1,5 млн в год: ![]() И так далее каждый год. В балансе «Аэрофлота» лизинговые обязательства отражаются в разделе долгосрочных долговых обязательств. Текущая часть, которая будет погашена в текущем году (например, $301 600 во втором году), указывается в разделе краткосрочной задолженности. Обратите внимание на различия между общими издержками, которые компания зафиксирует в течение всего срока лизинга при операционном и финансовом лизинге: ![]() При финансовом лизинге издержки, показываемые «Аэрофлотом», будут выше в начале срока лизинга и ниже в конце. Очевидно, что компании, которым важны показатели прибыли, операционный лизинг предпочтительнее финансового, так как при нем показываемые в финансовой отчетности расходы компании в первые годы будут ниже, а прибыль выше. |
![Иллюстрация к книге — Финансовая отчетность для руководителей и начинающих специалистов [i_233.jpg] Иллюстрация к книге — Финансовая отчетность для руководителей и начинающих специалистов [i_233.jpg]](img/book_covers/077/77094/i_233.jpg)
![Иллюстрация к книге — Финансовая отчетность для руководителей и начинающих специалистов [i_234.jpg] Иллюстрация к книге — Финансовая отчетность для руководителей и начинающих специалистов [i_234.jpg]](img/book_covers/077/77094/i_234.jpg)
![Иллюстрация к книге — Финансовая отчетность для руководителей и начинающих специалистов [i_235.jpg] Иллюстрация к книге — Финансовая отчетность для руководителей и начинающих специалистов [i_235.jpg]](img/book_covers/077/77094/i_235.jpg)
![Иллюстрация к книге — Финансовая отчетность для руководителей и начинающих специалистов [i_236.jpg] Иллюстрация к книге — Финансовая отчетность для руководителей и начинающих специалистов [i_236.jpg]](img/book_covers/077/77094/i_236.jpg)
![Иллюстрация к книге — Финансовая отчетность для руководителей и начинающих специалистов [i_237.jpg] Иллюстрация к книге — Финансовая отчетность для руководителей и начинающих специалистов [i_237.jpg]](img/book_covers/077/77094/i_237.jpg)
![Иллюстрация к книге — Финансовая отчетность для руководителей и начинающих специалистов [i_238.jpg] Иллюстрация к книге — Финансовая отчетность для руководителей и начинающих специалистов [i_238.jpg]](img/book_covers/077/77094/i_238.jpg)
![Иллюстрация к книге — Финансовая отчетность для руководителей и начинающих специалистов [i_239.jpg] Иллюстрация к книге — Финансовая отчетность для руководителей и начинающих специалистов [i_239.jpg]](img/book_covers/077/77094/i_239.jpg)