Книга Удивительные истории о веществах самых разных. Тайны тех, что составляют землю, воду, воздух... и поэзию, страница 2 – Бахыт Кенжеев, Петр Образцов

Авторы: А Б В Г Д Е Ж З И Й К Л М Н О П Р С Т У Ф Х Ч Ш Ы Э Ю Я
Книги: А Б В Г Д Е Ж З И Й К Л М Н О П Р С Т У Ф Х Ц Ч Ш Щ Ы Э Ю Я
Бесплатная онлайн библиотека LoveRead.ec

Онлайн книга «Удивительные истории о веществах самых разных. Тайны тех, что составляют землю, воду, воздух... и поэзию»

📃 Cтраница 2
Живет у нас сосед Букашкин,
в кальсонах цвета промокашки.
Но, как воздушные шары,
над ним горят
Антимиры!
И в них магический, как демон,
Вселенной правит, возлежит
Антибукашкин, академик
и щупает Лоллобриджид.
Но грезятся Антибукашкину
виденья цвета промокашки.
Да здравствуют Антимиры!
Фантасты – посреди муры.
Без глупых не было бы умных,
оазисов – без Каракумов.
Нет женщин – есть антимужчины,
в лесах ревут антимашины.
Есть соль земли. Есть сор земли.
Но сохнет сокол без змеи.
Люблю я критиков моих.
На шее одного из них,
благоуханна и гола,
сияет антиголова!..
…Я сплю с окошками открытыми,
а где‐то свищет звездопад,
и небоскребы сталактитами
на брюхе глобуса висят.
И подо мной вниз головой,
вонзившись вилкой в шар земной,
беспечный, милый мотылек,
живешь ты, мой антимирок!
Зачем среди ночной поры
встречаются антимиры?
Зачем они вдвоем сидят
и в телевизоры глядят?
Им не понять и пары фраз.
Их первый раз – последний раз!
Сидят, забывши про бонтон,
ведь будут мучиться потом!
И уши красные горят,
как будто бабочки сидят…
…Знакомый лектор мне вчера
сказал: «Антимиры? Мура!»
Я сплю, ворочаюсь спросонок,
наверно, прав научный хмырь.
Мой кот, как радиоприемник,
зеленым глазом ловит мир.

Молодому поколению надо, вероятно, пояснить, что у древних радиоприемников (были такие приборы, находящиеся в таком же отношении к Интернету, как велосипед к авиалайнеру) имелись особые «лампы» (примитивный вариант светодиода) зеленого цвета, помогавшие «настроиться на волну» или «поймать волну». Это было довольно увлекательное занятие.

Итак, за исключением истинно нейтральных частиц у всех других есть своя античастица. Но как быть, например, с нейтроном – электрически нейтральной частицей? В том‐то и дело, что удостоиться звания античастицы можно, не обязательно имея противоположный к частице заряд. У всех элементарных частиц есть целый набор свойств, часть которых доступна человеческому пониманию (например, электрический заряд или магнитный момент), а некоторые никакого соответствия в нашем макромире не имеют. Например – «цвет», но к этому цвету знаменитое «каждый охотник желает знать, где сидит фазан» не имеет никакого отношения; в данном случае это слово обозначает свойство, понятное только физикам. Причем этот цвет имеет числовое значение, например 2/3. Или еще изящнее – свойство «очарование», или «шарм». Так что у некой незаряженной частицы шарм равен, скажем, единице, а у античастицы – нулю. Впрочем, это случается и в макромире.

Дырявая дыра (озон)

Увы, некоторые химические элементы тоже склонны к нетрадиционной ориентации, в последнее время занимающей умы многих наших соотечественников. Действительно, Господь (как считает один из авторов) или Природа (как считает другой автор) создавали элементы для того, чтобы они плодились и размножались, то есть вступали в связь с другими элементами, образуя все разнообразие химических веществ. У людей два пола, у элементов – куда больше, но разница тут непринципиальна.

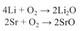
Возьмем, например, кислород. Его задача (согласно Богу или, если угодно, Природе) – соединяться с другими элементами, отбирая у них электроны. Вот что об этом пишут умные люди.

Сильный окислитель взаимодействует практически со всеми элементами, образуя оксиды. Степень окисления –2. Как правило, реакция окисления протекает с выделением тепла и ускоряется при повышении температуры (это и есть горение). Пример реакций, протекающих при комнатной температуре:

Иллюстрация к книге — Удивительные истории о веществах самых разных. Тайны тех, что составляют землю, воду, воздух... и поэзию [img1af6ff69b91e4646adb15f3b6c136758.jpg]

Окисляет соединения, которые содержат элементы с немаксимальной степенью окисления:

Иллюстрация к книге — Удивительные истории о веществах самых разных. Тайны тех, что составляют землю, воду, воздух... и поэзию [img8122c0a91e0c4b2cb615ea689b3442b1.jpg]

Окисляет большинство органических соединений:

Иллюстрация к книге — Удивительные истории о веществах самых разных. Тайны тех, что составляют землю, воду, воздух... и поэзию [img06945d57c7ce4f45991809d6567dd42f.jpg]

Кислород реагирует непосредственно (при нормальных условиях, при нагревании и/или в присутствии катализаторов) со всеми простыми веществами, кроме золота и инертных газов (гелий, неон, аргон, криптон, ксенон, радон); реакции с галогенами происходят под воздействием электрического разряда или ультрафиолета. Косвенным путем получены оксиды золота и тяжелых инертных газов (ксенон, радон). Во всех двухэлементных соединениях кислорода с другими элементами он играет роль окислителя, кроме соединений с фтором.

Результатом является здоровое потомство окислов, живущее уже собственной жизнью и вступающее в реакцию с другими веществами, обеспечивая, таким образом, химическое (по аналогии с биологическим) разнообразие на нашей планете, да и во Вселенной заодно.

Однако огромная часть атомов кислорода отлынивает от выполнения своего исконного предназначения и соединяется попросту друг с другом в молекулы О2, теряя на этот противоестественный союз значительную часть своего окислительного потенциала. Но и этим безобразием дело не ограничивается. Под влиянием ионизирующего излучения некоторые представители атомов кислорода окончательно теряют стыд и соединяются по трое в молекулы озона О3. Остается только развести руками и поговорить о свойствах этого вещества и его роли в нашей жизни.

Впервые озон обнаружил в 1785 году голландский физик и ботаник Мартин ван Марум по характерному запаху и окислительным свойствам, которые приобретает воздух после пропускания через него электрических искр, а также по способности окислять ртуть при обычной температуре, вследствие чего она теряет свой блеск и начинает прилипать к стеклу. Все мы знаем, что воздух после грозы (то есть пропускания через него электрических разрядов) начинает «пахнуть озоном», то есть кажется более свежим. Вот как расхваливает озон в своих стихах 1989 года, посвященных Семену Кирсанову, поэт Давид Самойлов:

Вход
Поиск по сайту
Ищем:
Календарь