Книга Занимательная химия для детей и взрослых, страница 45 – Илья Леенсон

Авторы: А Б В Г Д Е Ж З И Й К Л М Н О П Р С Т У Ф Х Ч Ш Ы Э Ю Я
Книги: А Б В Г Д Е Ж З И Й К Л М Н О П Р С Т У Ф Х Ц Ч Ш Щ Ы Э Ю Я
Бесплатная онлайн библиотека LoveRead.ec

Онлайн книга «Занимательная химия для детей и взрослых»

📃 Cтраница 45
Иллюстрация к книге — Занимательная химия для детей и взрослых [autogen_ebook_id86.jpg]
Пуфемид

Сюрпризы грамицидина

Все знают, что в названии «витамин С» буква «С» читается как русская «ц», и только малограмотный человек может сказать «витамин эс». Видимо, по аналогии название некогда распространенного антибиотика грамицидина С также произносят «грамицидин це». Однако это неверно: буква «С» в этом названии должна произноситься как «эс». История появления этого лекарственного средства, а также других антибиотиков интересна и драматична. Когда говорят «антибиотик», чаще всего вспоминают пенициллин. Его открытие в середине ХХ в. знаменовало собой новую эпоху в борьбе с болезнетворными микроорганизмами. Пенициллин и другие антибиотики спасли от неминуемой смерти миллионы людей. Однако мало кто знает, что история антибиотиков по сути намного древнее. Еще в Библии было описано применение грибов и плесени для обработки инфицированных ран. В начале 70-х гг. XIX в. врач и публицист Вячеслав Авксентьевич Манасеин (1841–1901) и дерматолог Алексей Герасимович Полотебнов (1838–1908) установили антибактериальные и лечебные свой ства зеленой плесени. В частности, Манасеин в 1871 г. опубликовал в «Военно-медицинском журнале» статью «Об отношении бактерий к зеленому кистевику Penicillum glaucum». Российские медики применяли плесень для лечения гнойных ран и хронических язв. Но несовершенство химических методов не позволило в то время выделить из плесени действующее начало.

В 1928 г. шотландский бактериолог и биохимик Александр Флеминг (он приобрел известность еще в 1922 г. благодаря открытию фермента лизоцима) заметил, что оставленная им на несколько дней культура стафилококковых бактерий покрылась плесенью.

Однако вместо того, чтобы просто выбросить испорченный препарат, Флеминг начал внимательно его разглядывать: он заметил, что вокруг каждого пятнышка плесени располагаются чистые области, где культура бактерий исчезла. Он понял, что в этих областях присутствует какое-то вещество, выделяемое плесневыми грибами, которое обладает сильным антибактериальным действием. Так Флеминг открыл пенициллин. Это название происходит от рода грибов Penicillum (их около 250 видов). Флеминг использовал активный раствор пенициллина для лечения ран. Но выделить действующее начало в чистом виде ему тогда не удалось: антибиотик быстро терял свои свойства при любых попытках его выделения и очистки.

Задача была решена лишь десятилетие спустя английским биохимиком Эрнстом Борисом Чейном, немцем по происхождению, эмигрировавшем из Германии в 1933 г. Он применил необычную для того времени методику сублимационной сушки: водный раствор препарата был заморожен до –40 °С, и при этой температуре из него был в вакууме испарен лед. Полученные таким способом кристаллы пенициллина оказались стойкими и сохраняли свое действие в течение длительного времени. Исследовал терапевтические свойства очищенного пенициллина и впервые применил его с лечебной целью английский патолог австралийского происхождения Х. У. Флори. К 1940 г. была создана реальная возможность для массового использования пенициллина в качестве лекарства. Оказалось, что он губителен не только для стафилококков, но также для пневмококков, менингококков и многих других микробов. В США, которые в декабре 1941 г. вступили в войну с Японией, в исключительно короткие сроки были построены огромные предприятия по производству пенициллина для нужд армии. К 1945 г. была разработана технология, которая позволяла получать полтонны продукта в месяц. Несмотря на все усилия немецкой и японской разведок, им так и не удалось узнать секрет получения нового средства.

Справедливости ради следует сказать, что первым антибиотиком, выделенным в чистом виде, был не пенициллин, а тиротрицин, полученный в 1939 г. американским ученым Р. Дюбо из культуры спор почвенной аэробной палочки Bacillus brevis. Однако он оказался токсичным и не нашел практического применения.

Ученые, открывшие и выделившие пенициллин в чистом виде, приобрели всемирную известность: Флеминг и Флори были возведены в пэры Британии, стали членами научных обществ и академий разных стран, Флори был также награжден золотой медалью имени М. В. Ломоносова АН СССР. Флеминг же был выбран почетным вождем племени кайова в Северной Америке. В 1945 г. Флеминг, Чейн и Флори получили Нобелевскую премию по физиологии и медицине «за открытие пенициллина и его терапевтического эффекта при лечении разных инфекционных заболеваний» (официальная формулировка протокольного решения шведского Каролинского медико-хирургического института, который присуждает премии в этой области).

В нашей стране исследования пенициллина микробиологом Зинаидой Виссарионовной Ермольевой (в будущем – академика Академии медицинских наук) увенчались в 1942 г. выделением пенициллина из культуры Penicillum crustorum. После войны по разработанному Ермольевой методу было организовано производство пенициллина на заводах в разных городах страны. Ее заслуги были в 1943 г. отмечены Государственной премией. Ермольева первой получила также отечественный стрептомицин (в 1947 г.), интерферон, ряд других препаратов.

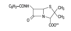
Детальное изучение пенициллина показало, что это не одно вещество, а группа близких по химическому строению соединений. Наиболее ценным оказался природный бензилпенициллин, который в течение многих лет широко применялся в медицинской практике. В 1958 г. химики научились «снимать» с него бензильную группу С6Н5СН2 и присоединять взамен ее другие органические группы. Некоторые из этих полусинтетических веществ, не имеющих аналогов среди природных соединений, обладали более высокой антимикробной активностью.

Иллюстрация к книге — Занимательная химия для детей и взрослых [autogen_ebook_id87.jpg]

Бензилпенициллин

Успешное применение пенициллина и его производных способствовало поиску других антибиотиков в царстве грибов. Было, например, известно, что в одном грамме почвы содержатся миллионы бактерий, плесеней и иных микроорганизмов. Знали также, что туберкулезные палочки, попадая в почву, быстро погибают. Еще в 1932 г. отечественный микробиолог Н. А. Красильников обнаружил у некоторых обитающих в почве лучистых грибов – актиномицетов способность, подобно пенициллину, уничтожать микробов. Он впервые выделил актиномицеты в отдельный класс и в 1939 г. описал антибиотик актиномицетного происхождения. В годы войны в работу включился американский микробиолог З. А. Ваксман, который совершил в медицине открытие не меньшего значения, чем Флеминг. Однако, если Флемингу помог случай, открытие Ваксмана было совершенно закономерным. Зельман Абрахам Ваксман, преподаватель Национального сельскохозяйственного колледжа, родился в небольшом поселке в Украине и первоначальное образование получил в России. В 1910 г. он эмигрировал в США и с 1914 г. занимался изучением почвенных микроорганизмов, в частности актиномицетов. С 1938 г. начал систематические испытания различных актиномицетов на способность образовывать антимикробные вещества. Уже в 1940 г. Ваксман выделил антибиотик актиномицин, но он оказался слишком токсичным для человека.

Ваксман продолжил поиск микроорганизмов, образующих антибиотики (он ввел в употребление и сам термин «антибиотик»; от греч. bios – «жизнь» и приставки anti – «противодействие»).

Вход
Поиск по сайту
Ищем:
Календарь