Книга Больцман. Термодинамика и энтропия, страница 14 – Эдуардо Арройо

Авторы: А Б В Г Д Е Ж З И Й К Л М Н О П Р С Т У Ф Х Ч Ш Ы Э Ю Я
Книги: А Б В Г Д Е Ж З И Й К Л М Н О П Р С Т У Ф Х Ц Ч Ш Щ Ы Э Ю Я
Бесплатная онлайн библиотека LoveRead.ec

Онлайн книга «Больцман. Термодинамика и энтропия»

📃 Cтраница 14
Иллюстрация к книге — Больцман. Термодинамика и энтропия [img_19.jpg]

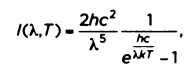
где I обозначала мощность, испускаемую на единицу площади, а λ — длину волны. В этой формуле впервые появилась h, постоянная Планка, которая определила эру квантовой механики, а также постоянная Больцмана k.


Но есть еще кое-что в статье 1872 года. Речь идет о математической уловке, к которой он прибегнул, чтобы доказать свой результат по-другому, намереваясь придать ему еще большую достоверность. Уловка заключалась в том, чтобы высказать догадку о природе атомов, и 30 лет спустя она обеспечила Планку инструменты для анализа излучения черного тела, и был дан стартовый сигнал квантовой механике.

Ранее упоминались использование эргодической гипотезы (предположения, что молекула проходит через все возможные состояния энергии) и проблемы, которые в связи с этим возникали. В своей статье 1872 года Больцман избежал ее, предположив, что существует только конечное число возможных состояний энергии, что сегодня известно как "дискретизация". Физик ввел допущение, что энергия молекул газа может принимать лишь некоторые значения (кратные некоторому числу), чтобы затем привести к произвольно малому значению, и это делало результат более обобщенным. Итак, для доказательства своего начала, используя энергию вместо скорости, Больцман дискретизировал энергию молекул так, что общая энергия могла быть вычислена в виде суммы. У дискретизации было две задачи: с одной стороны, она упрощала расчеты; с другой стороны, когда все возможные значения энергии стали конечным числом, оказалось ясно, что при достаточном времени молекулы в итоге пройдут через них все.

Распределение Больцмана, примененное к черному телу, точно объясняло результаты Планка, сразу принявшего точку зрения атомизма. Через некоторое время Эйнштейн объяснил фотоэлектрический эффект, создание электрического тока на основе света, испускаемого на металл, пользуясь похожей гипотезой: свет состоит из частиц, энергия которых может принимать не любое значение, а также дискретна. Квантовая механика родилась из статистической физики.

Н-теорема была очень важным результатом, так что на нее обратило пристальное внимание все научное сообщество. Это принесло Больцману не только репутацию, которая росла в течение жизни, но одновременно и шквал критики его вероятностного подхода ко второму началу. Одним из самых мощных критиков оказался его друг Лошмидт, изложивший парадокс обратимости и заставивший Больцмана размышлять о своем доказательстве и о природе времени. Плодом этого размышления стала последняя великая статья 1877 года, в которой содержалась формула, выгравированная на его могиле.


ГЛАВА 3
Вероятность, беспорядок и энтропия

Если 1905 год считается "годом чудес" для Эйнштейна, поскольку именно тогда он опубликовал свои статьи о фотоэлектрическом эффекте и специальной теории относительности, то 1876-1877 годы стали самым экстраординарным периодом в биографии Больцмана: он вступил в брак с любовью всей своей жизни, удивительной Генриеттой фон Айгентлер (она родила ему пятерых детей), и опубликовал статью, в которой заложил основы статистической физики.

Спустя некоторое время после сдачи в печать статьи 1872 года Больцман познакомился с Генриеттой фон Айгентлер, голубоглазой светловолосой девушкой на десять лет младше него. Генриетта училась в педагогическом училище для женщин в Граце и, по легенде, была первой и единственной студенткой в университете, который посещала в надежде стать преподавателем естественных наук. Из других источников следует, что она избрала этот факультет, познакомившись с Людвигом.

В любом случае, Генриетта поступила в университет и изучала математику в течение одного семестра. Далее в Грац хлынула лавина русских студенток из Цюриха, сосланных оттуда по подозрению в анархистской деятельности, и ректор решил проблему довольно предсказуемым образом — запретил женщинам посещать университет. Больцман пришел на помощь Генриетте, и, благодаря его участию, она получила специальное разрешение посещать занятия в течение еще одного семестра, хотя в итоге ей отказали в праве на обучение через несколько дней, после того как истек срок действия разрешения. Она больше не пыталась его получить.

Обучение женщины, которая затем стала его супругой, не было для Людвига проявлением легкомыслия, а как раз наоборот. Сам Больцман в одном из своих писем признавался: "Хотя воздержанность и забота о семье являются основными добродетелями мужа, единственный капитал которого — собственная работа, мне кажется, что не может быть долгой любви, если женщина не проявляет понимания и энтузиазма к его усилиям, если она лишь его служанка, а не подруга, которая борется рядом с ним".

Некоторые биографы свидетельствуют, что их первая встреча произошла на прогулке, на которую Генриетта отправилась с подругами по педагогическому училищу; другие утверждают, что Больцман уже до этого обратил на нее внимание и что в их встрече было мало случайного. Как бы то ни было, родилась взаимная симпатия, и через некоторое время началась переписка.

Их отношения вынужденно развивались в письмах, потому что в том же самом году Больцман получил кафедру математики в Венском университете. Как и во многих других случаях в 1870-е годы, ученому повезло: вначале было три кандидата на эту должность, и двое имели большие шансы, чем он, но под давлением Стефана Больцман стал вторым претендентом на место и в итоге получил кафедру, когда математик Александр Винклер, который был первым, решил отказаться.


О БОЛЬЦМАНЕ КАК ПРЕПОДАВАТЕЛЕ

Может показаться удивительным, что Больцман согласился на должность профессора математики, поскольку его специальностью была физика. На самом деле он всю жизнь шел по тонкой линии, разделяющей физику и математику, сегодня эта область известна как теоретическая физика, и тогда у нее не было так хорошо очерченного поля деятельности. По сути Больцман — один из мыслителей, кто внес вклад в создание образа физика-теоретика и придал ему вес в сегодняшнем понимании. В то время теоретиков часто недооценивали, и они уступали физикам-экспериментаторам, которые считали себя настоящими физиками. Сегодня можно сказать, что ситуация обратная, возможно, благодаря Эйнштейну — воплощению классического физика-теоретика.

Кроме того, была еще одна причина, по которой Больцман счел нужным согласиться принять кафедру математики: его многогранность как преподавателя. В течение жизни он преподавал такое разнообразие предметов, что удивительно, как ему удалось овладеть всеми ими, ведь он даже не пользовался конспектами на лекциях, что дает представление о его интеллектуальной мощи. Так, с 1868 по 1870 год, когда он был приват-доцентом в Вене, он вел курсы механической теории тепла, теории упругости, математической теории акустики и математической теории капиллярности; в Граце — анализ, механическую теорию тепла, дифференциальное и интегральное исчисление, теорию чисел, темы высшего анализа, аналитическую геометрию и теорию функций; в Вене — математику, а затем аналитическую механику, электромагнетизм и термодинамику.

Реклама
Вход
Поиск по сайту
Ищем:
Календарь