Книга Психология поведения жертвы, страница 52 – Ирина Малкина-Пых

Авторы: А Б В Г Д Е Ж З И Й К Л М Н О П Р С Т У Ф Х Ч Ш Ы Э Ю Я
Книги: А Б В Г Д Е Ж З И Й К Л М Н О П Р С Т У Ф Х Ц Ч Ш Щ Ы Э Ю Я
Бесплатная онлайн библиотека LoveRead.ec

Онлайн книга «Психология поведения жертвы»

📃 Cтраница 52
Рис. 2.4. Параллельная транзакция СД – ВР, ВР – СД Первое правило коммуникации. Параллельная транзакция имеет элемент ожидания. Очевидно, что любой разговор через некоторое время подходит к концу, однако до тех пор, пока транзакции остаются параллельными, ничто в процессе коммуникации не прерывает чередования стимулов и реакций.

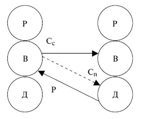
Пересекающиеся транзакции. Пересекающаяся транзакция – это такая транзакция, в которой векторы не параллельны друг другу, или эго-состояние, в которое они направлены, не является источником реакции. Когда транзакция пересекается, существует вероятность того, что человек, получающий пересекающуюся транзакцию, перейдет в эго-состояние, в которое была направлена транзакция. Тогда из нового эго-состояния он, скорее всего, будет направлять параллельные транзакции (рис. 2.5, 2.6).

Иллюстрация к книге — Психология поведения жертвы [autogen_ebook_id9.jpg]
Рис. 2.5. Пересекающаяся транзакция В – В, Р – Д

Иллюстрация к книге — Психология поведения жертвы [autogen_ebook_id10.jpg]
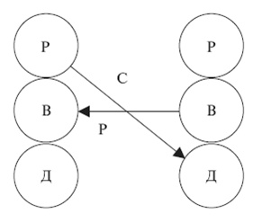
Рис. 2.6. Пересекающаяся транзакция Р – Д › В – В Второе правило коммуникации говорит: при пересекающейся транзакции происходит разрыв коммуникации, для ее восстановления одному или обоим людям необходимо изменить свое эго-состояние.

Скрытые транзакции. В скрытой транзакции одновременно передаются два сообщения. Одно из них – открытое, или сообщение социального уровня, другое – скрытое, или сообщение психологического уровня. Довольно часто сообщения социального уровня являются взаимодействием Взрослый– Взрослый. Сообщения психологического уровня обычно включают взаимодействия или Родитель-Дитя, или Дитя-Родитель (рис. 2.7).

Иллюстрация к книге — Психология поведения жертвы [autogen_ebook_id11.jpg]
Рис. 2.7. Двойная скрытая транзакция Социальный уровень: В – В, В – В Психологический уровень: Р – Д, Д – Р

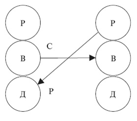
Любая скрытая транзакция, в которой социальное сообщение В-В перекрывает обмен на психологическом уровне между Р и Д (реже – Д-Д или Р-Р), называется двойной транзакцией. Эрик Берн описал еще один вид скрытой транзакции, которую он назвал угловой (рис. 2.8). В этом случае я могу направлять свой стимул на социальном уровне от Взрослого к Взрослому. Однако мое скрытое сообщение исходит из моего Взрослого и обращено к вашему Ребенку. Я надеюсь, что вы примете мое приглашение (стимул) и ответите реакцией из Ребенка.

Иллюстрация к книге — Психология поведения жертвы [autogen_ebook_id12.jpg]
Рис. 2.8. Угловая скрытая транзакция

Третье правило коммуникации гласит: поведенческий результат скрытой транзакции определяется на психологическом, а не на социальном уровне.

Берн считал: когда люди общаются на двух уровнях, то, что реально происходит, всегда является результатом скрытых сообщений.

«Поглаживания». Поглаживание определяется как единица транзакции. Можно классифицировать поглаживания следующим образом: вербальные или невербальные, позитивные или негативные, условные или безусловные. К невербальным поглаживаниям можно отнести помахивание рукой, кивание головой, пожатие руки или похлопывание друг друга. Большинство транзакций включают в себя как вербальные, так и невербальные взаимодействия. Они могут быть также полностью невербальными.

Позитивные и негативные поглаживания. Позитивное поглаживание – это такое поглаживание, при котором получатель испытывает приятные чувства. Негативное же воспринимается болезненно. Можно думать, что люди всегда стремятся получать позитивные поглаживания и избегать негативных. Но на самом деле любое поглаживание лучше, чем его отсутствие.

Условное поглаживание связано с тем, что человек делает. Безусловное – с тем, что он есть (что он из себя представляет). Согласно теории ТА у каждого человека есть свой предпочтительный коэффициент поглаживания.

Фильтр в поглаживаниях. Когда кто-либо получает поглаживание, которое не входит в его предпочтительный коэффициент поглаживания, этот человек склонен его игнорировать или преуменьшать. Мы говорим, что он игнорирует или отфильтровывает поглаживание. По-видимому, в каждом человеке имеется фильтр, пропускающий те поглаживания, которые соответствуют предпочтительному коэффициенту, и отсеивающий остальные. В свою очередь, коэффициент поглаживания человека поддерживает его представления о себе самом.

Клод Стайнер (Steiner, 1968) предположил, что в детстве родители внушают человеку пять запрещающих правил касательно поглаживаний:

● не давай поглаживаний, когда их надо давать;

● не напрашивайся на поглаживания, когда ты в них нуждаешься;

● не принимай поглаживаний, если ты нуждаешься в них;

● не отвергай поглаживаний, когда ты не нуждаешься в них;

● не гладь себя сам.

Структурирование времени. При встречах людей в группах или парах существует шесть различных способов проводить время. Эрик Берн выделил следующие шесть видов структурирования времени: уход, ритуалы, времяпрепровождение, деятельность, игры, интимность. По мнению Берна, все эти способы удовлетворяют структурный голод человека. Если проанализировать каждый из шести видов структурирования времени, их можно связать с концепциями эго-состояний и поглаживаний. Интенсивность поглаживаний возрастает при движении вниз по списку – от ухода к интимности. Иногда в литературе по ТА высказывают мысль о том, что с продвижением вниз по списку возрастает также и степень психологического риска.

Уход . Когда человек уходит, он может физически оставаться в группе, однако при этом он не взаимодействует с другими членами группы. Во время ухода он может находиться в любом эго-состоянии. При этом провести поведенческий анализ эго-состояния невозможно, так как отсутствуют его внешние признаки.

Ритуалы . Ритуал – это обычная форма социального взаимодействия, которое протекает по заранее спланированной программе. Ритуалы различаются по своей сложности. Самый простой из них – американское приветствие, включающее обмен одним поглаживанием: «Хай!» – «Хай!» На другом полюсе находятся некоторые религиозные поглаживания. Последовательность в них заранее предопределена, а священник и прихожане следуют четким инструкциям во время выполнения ритуала, который может длиться несколько часов. С точки зрения структуры программа ритуалов соответствует эго-состоянию Родителя.

Времяпрепровождение . Времяпрепровождение протекает по накатанному пути, однако его содержание не так жестко запрограммировано по сравнению с ритуалом. Поэтому люди, участвующие во времяпрепровождении, имеют больше возможностей приятно проводить время. В любом времяпрепровождении участники только говорят о чем-то и ничего не предпринимают. В группе они обсуждают свою и другие группы, при этом не проявляя каких-либо намерений что-либо сделать. Чаще всего участники времяпрепровождения обсуждают то, что произошло вчера, а не то, что происходит «здесь и теперь». Типичный пример времяпрепровождения – легкое и поверхностное общение во время торжественных приемов. Времяпрепровождения обычно проигрываются из эго-состояния Родителя или Ребенка. На социальном уровне некоторые типы времяпрепровождения могут казаться времяпрепровождениями Взрослого, однако на самом деле в них участвует Ребенок.

Вход
Поиск по сайту
Ищем:
Календарь