Онлайн книга «Темная сторона материи. Дирак. Антивещество»
|
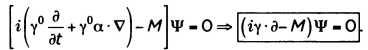
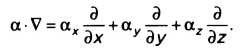
α Индексы i,j относятся к любой из трех пространственных составляющих: х, у, z. Коэффициенты Дирак интерпретировал как матрицы. Последнее означало, что волновая функция Ψ содержит разные составляющие, помимо своей зависимости от временных и пространственных переменных. Это было новостью. В предыдущем 1927 году Паули уже представил волновую функцию с двумя составляющими, связанными с двумя возможными значениями спина. Однако проблема была решена не до конца. Сопряженность гамильтониана означала, что четыре матрицы должны быть, в свою очередь, эрмитово-сопряженными. В первое время Дирак думал о матрицах Паули, которые отвечали всем необходимым условиям. Но матриц Паули было три, и Дираку надо было найти четвертую, чтобы окончательно сформировать уравнение. В результате он пришел к выводу, что найти четвертую матрицу для трех матриц Паули невозможно. Математики на самом деле уже знали этот результат, так как они доказали, что для квадратных матриц Nx N максимальное количество независимых эрмитово-сопряженных матриц, которые «антикоммутируют» между собой, равно N2 -1. Следовательно, у Дирака оставалась единственная возможность — увеличить размер матриц. Доказав, что их размер обязательно должен быть парным, ученый наконец нашел четыре независимые эрмитово-сопряженные матрицы 4x4. Это минимальный размер, который согласуется с общими свойствами его уравнения. Дирак заметил: «Мне понадобилось много недель, чтобы осознать, что необязательно использовать переменные с двумя строками и двумя столбцами. Почему бы не представить четыре строки и четыре столбца?» МАТРИЦЫ И КОВАРИАНТНАЯ ФОРМА УРАВНЕНИЯ ДИРАКА Уравнение Дирака запечатлено на его мемориальной доске в Вестминстерском аббатстве. На самом делетам оно присутствует в своей «ковариантной форме». Это значит, что форма уравнения является одинаковой для любой инерциальной системы отсчета. Для упрощения записи уравнения в квантовой релятивистской теории принято одновременно считать редуцированную постоянную Планка, h, и скорость света, с, равными единице. Это называется «естественной системой единиц». В таком случае уравнение Дирака записывается так: ![]() В него включен оператор Гамильтона, ![]() , и использовано выражение: ![]() Матрицы Дирака могут быть прямо выражены через матрицы Паули, оk, в следующей форме: ![]() Вставляя выражение γ0 ≡ β; γk ≡ ßak и умножая левую часть этого уравнения Дирака на матрицу β, мы в итоге получаем ![]() Уравнение в рамке соответствует тому, что запечатлено в Вестминстерском аббатстве. Несмотря на кажущуюся простоту, оно на самом деле объединяет четыре дифференциальных уравнения. Данное уравнение известно как «ковариантная форма уравнения Дирака для свободного электрона» и включает в себя оператор γ ∙ ∂ ≡ γ0 ∂/∂t + γx ∂/∂x + γy ∂/∂y + γz ∂/∂z. Ценность уравнения Дираку не было достаточно просто формулировки своего уравнения в написанной им статье 1928 года: ученый также доказал, что оно соблюдает свойство инвариантности при преобразованиях Лоренца. Так, уравнение Дирака представляет собой действительно удовлетворительное описание квантового поведения субатомных частиц: оно соблюдает релятивистское соотношение момента и энергии, из него вытекает плотность вероятности, имеющая положительное значение, с действительными значениями энергии, и, наконец, оно согласуется с принципом относительности Эйнштейна. Спустя годы Дирак удивлялся: «Не могу понять, почему мне понадобилось столько времени, чтобы решить такой элементарный вопрос». Дирак довел математику до ее предела. Необходимость ввести новые размеры заставила его принять волновые функции, описанные через четыре составляющие, физический смысл которых (отбросив два возможных состояния спина) в последующие годы стал новой головоломкой для физиков. Теория электрона Дирака является примером того, что Вигнер назвал «иррациональной действенностью математики в естественных науках». НЕОБЫКНОВЕННЫЙ УСПЕХ, НЕОЖИДАННЫЕ ПРОБЛЕМЫ Уравнение Дирака ошеломило всех его коллег. Некоторые из них уже многие месяцы выводили квантовое релятивистское уравнение, и работа Дирака поставила их в тупик, породив глубокое чувство неудовлетворенности. Йордан заметил: «Я не прощу себе своей неспособности понять, что главным было найти линейное выражение». Тем не менее он признал качество работы Дирака: «Я бы предпочел сам вывести уравнение, но формулировка Дирака столь восхитительна, уравнение такое лаконичное, что мы все должны наслаждаться тем, что оно появилось на свет». Это мнение разделяли практически все физики. Гейзенберг заявил: «Я очень высоко ценю его последнюю работу о спине». А Эренфест сказал: «Я нахожу последнюю работу Дирака о спине электрона просто замечательной». Работа о спине рассматривалась как чудо. Общее чувство было, что Дирак получил больший результат, нежели заслуживал. Никто до этого так не подходил к физике. Леон Розенфельд, бельгийский физик, коллега Борна в Геттингене Общее восхищение и уважение, вызванное уравнением Дирака, было связано не только с тем, каким именно методом ученый разработал его (главенство основополагающих принципов физики над всеми остальными эмпирическими методами), но также и с решениями этого уравнения. Свойство спина появлялось как естественное следствие самой структуры уравнения, которое в свою очередь было логическим результатом основополагающих принципов двух главных новаторских теорий физики — теории относительности и квантовой теории. Уравнение давало магнитный момент электрона и позволяло получить точное значение постоянной тонкой структуры. |
![Иллюстрация к книге — Темная сторона материи. Дирак. Антивещество [img_36.jpg] Иллюстрация к книге — Темная сторона материи. Дирак. Антивещество [img_36.jpg]](img/book_covers/076/76562/img_36.jpg)
![Иллюстрация к книге — Темная сторона материи. Дирак. Антивещество [img_37.jpg] Иллюстрация к книге — Темная сторона материи. Дирак. Антивещество [img_37.jpg]](img/book_covers/076/76562/img_37.jpg)
![Иллюстрация к книге — Темная сторона материи. Дирак. Антивещество [img_38.jpg] Иллюстрация к книге — Темная сторона материи. Дирак. Антивещество [img_38.jpg]](img/book_covers/076/76562/img_38.jpg)
![Иллюстрация к книге — Темная сторона материи. Дирак. Антивещество [img_39.jpg] Иллюстрация к книге — Темная сторона материи. Дирак. Антивещество [img_39.jpg]](img/book_covers/076/76562/img_39.jpg)
![Иллюстрация к книге — Темная сторона материи. Дирак. Антивещество [img_40.jpg] Иллюстрация к книге — Темная сторона материи. Дирак. Антивещество [img_40.jpg]](img/book_covers/076/76562/img_40.jpg)