Книга Пол и гендер, страница 56 – Евгений Ильин

Авторы: А Б В Г Д Е Ж З И Й К Л М Н О П Р С Т У Ф Х Ч Ш Ы Э Ю Я
Книги: А Б В Г Д Е Ж З И Й К Л М Н О П Р С Т У Ф Х Ц Ч Ш Щ Ы Э Ю Я
Бесплатная онлайн библиотека LoveRead.ec

Онлайн книга «Пол и гендер»

📃 Cтраница 56

Грей Дж., 2001, с. 479.

Эта точка зрения господствовала до конца 1970-х гг. вопреки тому, что в 82 % исследований по сравниванию убеждаемости мужчин и женщин и в 74 % исследований по гендерным особенностям в конформности никаких различий не обнаружено, пишет Ш. Берн, ссылаясь на работы Игли с соавторами (Eagly, 1978; Eagly, Wood, 1985). Но действительно ли это так?

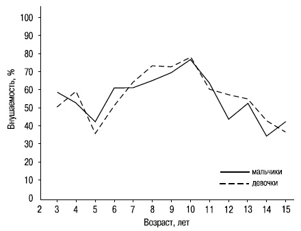
Известно, что лица женского пола более внушаемы , чем лица мужского (Петрик В. А., 1977; Левенфельд Л., 1977; Манилов И. Ф., 1997). Правда, как следует из данных А. И. Захарова (1998), это наблюдается не во всех возрастных группах (рис. 8.1).

Иллюстрация к книге — Пол и гендер [autogen_ebook_id58.jpg]

Рис. 8.1.

Внушаемость лиц мужского и женского пола

Как уже было отмечено, женщины более податливы и групповому давлению (более конформны), чем мужчины. По данным Э. С. Чугуновой (1974), у девушек по сравнению с юношами наблюдается более частый выбор профессии по советам родных и знакомых.

Таким образом, мотивация лиц женского пола более внешне организованна, т. е. мотив легче формируется под давлением извне, а мотивация лиц мужского пола – более внутренне организованна, т. е. исходит из понимания смысла и личной значимости того, что надо делать.

8.2. Потребности мужчин и женщин

А. В. Ермолин (1996) выявил, что при объяснении поступка «потребности» чаще называются лицами мужского пола, а «долженствование» – лицами женского пола. Это согласуется с данными ряда авторов, что школьницы больше предрасположены к усвоению общественных норм и требований.

Как показано Л. П. Кичатиновым (1989), мальчики во всех возрастах, кроме 4–5 лет, чаще, чем девочки, изъявляли желание мастерить, строить, конструировать. Это свидетельствует, что в процессе игры у них больше выражена преобразовательная деятельность. У мальчиков больше выражена потребность в занятиях спортом. Зато у девочек во всех возрастах больше выражены эстетические потребности.

В исследовании Ю. Е. Кочневой и О. А. Шибалиной (2000) установлено, что мужчины демонстрируют большую потребность в познании, чем женщины.

Имеются, однако, и другие данные. Так, в исследовании А. И. Винокурова (1996) выявлено, что женщины статистически достоверно по сравнению с мужчинами имеют более высокий уровень как потребности в достижении, так и в избегании неуспеха.

Потребность достижения. Распространено мнение, что мужчины в большей степени, чем женщины, придают значение победам, превосходству (Sidanius et al., 1994), у них выше конкурентность (Bartol K., Martin D., 1986; Cross S., Madson L., 1997; Maccoby E., Jacklin C., 1978; Powell G., 1990), а у женщин потребность (мотив) достижения ниже, чем у мужчин, и они не склонны строить в отношении своей профессиональной карьеры далеко идущие планы. У женщин, занятых в традиционно женских сферах профессиональной деятельности (педагогика, социальная работа, сестринское дело), как показали исследования американских психологов, это действительно имеет место.

А по данным казанских психологов («Психологические…», 1977), потребность в достижениях у женщин несколько выше, чем у мужчин (соответственно 13,3 и 12,8 балла). Результаты моего исследования тоже показали, что у девушек чаще, чем у юношей, встречается высокий уровень мотива (потребности) достижения (32,2 % против 20,0 % у юношей). То же можно сказать и в отношении среднего уровня мотива достижения: у девушек он обнаружен в 60,7 % случаев, а у юношей – в 48 % случаев. Еще более резкие различия выявляются при сравнении юношей и девушек с низким уровнем мотива достижения: у девушек он только в 7,1 % случаев, а у юношей – в 32,0 %. В среднем для группы девушек мотив достижения равен 15,9 балла, а для группы юношей – 8,8 балла.

С другой стороны, в работе И. Мацака и Й. Безака (1973) показано, что при просьбе повысить темп точностной работы мотивация у мальчиков по сравнению с девочками оказалась более сильной. Выявлено также, что после поступления в школу девочки предпочитают работать с решенными задачами, а мальчики – с теми, с которыми не справились (Grandall, Rabson, 1960).

Однако Г. Н. Рыбка (2006) не выявила различий по мотиву достижения (методика Т. Элерса) между учащимися различного пола.

...

Исследования женской мотивации достижения строились из предпосылки, что успех женщин ограничивает только их гендерная роль в культуре. …Многочисленные данные показывают, что женщины стремятся преуспеть в самых разных сферах (мужчины, по-видимому, не способны проявлять такую широту взглядов). Более того, женская потребность быть хорошим партнером и/или матерью может рассматриваться как осуществление потребностей женщин в присоединении, но вместе с тем ее также можно рассматривать как осуществление потребности в успехе в той сфере, которая традиционно считается женской (Doyle, Paludi, 1995). Тем не менее эта тема редко изучалась.

Палуди М., 2003, с. 281.

Показано, что профессиональные планы женщин, занятых в сфере коммерции, юриспруденции и медицины, оказались очень близки тем, которые строят в отношении своей карьеры мужчины, занятые аналогичными видами деятельности. Это соответствует выводу, который сделан в работе Макклелланда с сотрудниками (McClelland et al., 1953): половые различия в мотивах достижения необходимо рассматривать в соответствии с типом цели. Парадоксальность и неустойчивость половых различий в силе мотива достижения, получаемые в разных исследованиях, Х. Хекхаузен (2001) тоже склонен объяснять различиями в том, какая ценностная ориентация превалирует у женщин – мужская (интеллектуальная) или женская (семейно-бытовая). Очевидно, именно с большей ориентацией на учебу можно связать лучшую успеваемость и больший мотив достижения в учебе у учащихся девочек и девушек по сравнению с учащимися мальчиками и юношами (Maccoby, Jacklin, 1978).

...

Многие ученые подчеркивают важность взаимоотношений родитель – ребенок в развитии у детей мотивации достижений. Например, родители могут иметь более высокие ожидания достижений от сыновей, чем от дочерей. Родители более удовлетворены уровнем достижения своих дочерей, чем сыновей, – даже тогда, когда нет различия между их академической успеваемостью (McGrath, Repeti, 2000).

Lips H., 2008, p. 426.

Имеются три точки зрения на проявление мотива достижений у мужчин и женщин. Первая состоит в том, что женщины иначе мотивированы на достижения, чем мужчины; вторая – мужчины и женщины мотивированы разными потребностями: для женщин потребность в аффилиации (эмоциональном принятии) важнее, чем потребность в достижениях; третья – мужчины и женщины обладают мотивом достижений в равной степени, но реализуют его в разных видах деятельности (Ходырева Н. В., 1997).

Первая точка зрения находит подтверждение в данных Д. Спенса и Р. Хельмрайха (Spens, Helmreich, 1978). Мотив достижения изучался авторами в трех сферах: совершенствование, соревнование, достижение результата. На студенческой выборке было выявлено, что у женщин выше мотивация достижения результата, у мужчин – мотивация совершенствования и соревнования. В других выборках (спортсмены, бизнесмены, психологи) различия между мужчинами и женщинами по мотивации достижения результата и совершенствования были меньшими, а по соревновательности различия (в пользу мужчин) были такими же, как у студентов.

Реклама
Вход
Поиск по сайту
Ищем:
Календарь