Книга Пол и гендер, страница 51 – Евгений Ильин

Авторы: А Б В Г Д Е Ж З И Й К Л М Н О П Р С Т У Ф Х Ч Ш Ы Э Ю Я
Книги: А Б В Г Д Е Ж З И Й К Л М Н О П Р С Т У Ф Х Ц Ч Ш Щ Ы Э Ю Я
Бесплатная онлайн библиотека LoveRead.ec

Онлайн книга «Пол и гендер»

📃 Cтраница 51

7.1. Половые различия в доминировании базовых эмоций

Гнев (злость). Е. Маккоби и К. Джеклин (Maccoby, Jacklin, 1974) на основе анализа ряда экспериментальных исследований пришли к выводу, что в первые годы жизни нет различий в частоте и продолжительности этой отрицательной эмоциональной реакции у мальчиков и девочек, но с возрастом их частота и интенсивность у мальчиков возрастают, а у девочек – убывают. Авторы объясняют это тем, что девочки, имея те же агрессивные тенденции, что и мальчики, боятся проявить их, опасаясь наказания, в то время как к агрессии мальчиков окружающие относятся более благосклонно.

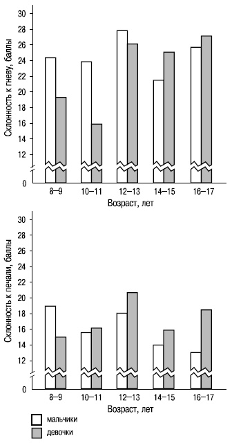
Другая возрастно-половая динамика выявлена М. С. Пономаревой (2001) при изучении склонности к переживанию гнева . Чем младше школьники, тем эта склонность больше выражена у лиц мужского пола, и чем старше школьники, тем больше она выражена у лиц женского пола (рис. 7.1).

Иллюстрация к книге — Пол и гендер [autogen_ebook_id44.jpg]

Рис. 7.1.

Склонность к переживанию гнева и печали у лиц мужского и женского пола

Печаль. Л. В. Куликов выявил значимые различия в самооценке печали: у женщин она выше. Это же выявлено и М. С. Пономаревой, с той лишь разницей, что у младших школьников склонность к печали больше выражена у мальчиков (рис. 7.1).

...

Один из основных вопросов исследования депрессии – почему женщины испытывают ее вдвое чаще мужчин? Проницательную мысль высказала Сюзан Нолен-Хоуксема (Nolen-Hoeksema, 1990; Nolen-Hoeksema и др., 1999); она указывает на особенности реакции мужчин и женщин при возникновении у них настроения. Печалясь, женщины склонны думать о возможных причинах и следствиях своих чувств. В противоположность им мужчины пытаются активно отвлечься от чувства подавленности, либо сосредоточиваясь на чем-то еще, либо при помощи физической нагрузки, которая уводит их мысли от текущего настроения. Все это позволяет сделать вывод, что именно большая склонность женщин к раздумьям, тяга к неотвязным размышлениям о своих проблемах увеличивает их уязвимость для депрессии (Butler, Nolen-Hoeksema, 1994)… Различия в реакции мужчин и женщин, которые делают женщин более подверженными депрессии, возникают в детстве (Nolen-Hoeksema, Girgus, 1994).

Герриг Р., Зимбардо Ф., 2004, с. 767–768.

Тревога и страх. В. А. Чикер с соавторами (1998) выявили, что для девочек старших классов социальная среда оказывается более насыщенной эмоциональными событиями, имеющими стрессогенное значение, чем для мальчиков. Это подтвердилось в исследовании, проведенном на студентах. В. П. Плотников с соавторами (2001) выявили наличие психического напряжения высокой степени у 62,5 % опрошенных девушек и легкой степени такого напряжения у 45,2 % юношей. Эмоциональное отношение к потенциальным источникам отрицательных эмоций у юношей и девушек было разным. Для юношей более значимыми, чем для девушек, были отношение к учебной группе, к своему самочувствию, к родителям; для девушек – к сессии и к экзаменам.

Л. В. Куликовым (1997) выявлены значимые половые различия в самооценке тревоги.

...

Многие исследователи отмечают половой диморфизм в реагировании на стрессовые ситуации. Так, по данным Л. В. Буравцевой (1975), у женщин более выраженная реакция на начало стресса и более быстрое восстановление после его завершения; они пластичнее мужчин. Эти выводы согласуются с исследованием Almeida D. M., Kessler R. C. (1998), в котором показано, что женщины подвержены воздействию бытовых стрессовых ситуаций в большей степени. У мужчин – меньшая чувствительность к страху, отмечаются низкие уровни нейротизма, тревоги (Nolen-Hoeksema S., 1987; Van Doornen L. P. J., Van Blockland R., 1987).

Maronqiu S. и Ekahammar B. (1998) отмечают, что женщины испытывают тревогу и напряжение в ситуациях, содержащих элемент конкуренции (соревновательности, мотивации достижения), а для мужчин характерна тревога и выраженность фрустрации относительно ситуаций, предполагающих необходимость проявления сочувствия к кому-либо, оказания помощи.

Stewart S. H., Taylor S. и Baker J. M. (1997) исследовали межполовые различия уровней тревоги по отношению к ситуациям, когда предполагаются негативные физические, социальные или психологические последствия. Было выявлено преобладание интегративных показателей по шкале тревожности у женщин. Обнаружено, что женщины преимущественно испытывают тревогу относительно ситуаций, имеющих негативные последствия для физических факторов; в то же время мужчинами в большей степени социальные и психологические факторы оценивались как наиболее угрожающие по сравнению с физическими.

Ткаченко А. А. с соавт., 2001, с. 32.

В исследованиях рада авторов (Chrisophersen, 1989; Feingold, 1994) было показано, что уже на первом году жизни девочки проявляют б о льшую, чем мальчики, робость в определенных ситуациях и больше пугаются; они менее склонны рисковать в таких ситуациях, менее напористы.

Сравнение склонности к переживанию базовых эмоций у школьников и школьниц разного возраста, проведенное М. С. Пономаревой, показало, что у девочек и девушек во всех возрастных группах склонность к переживанию страха выражена значительно больше, чем у мальчиков и юношей (рис. 7.2).

Иллюстрация к книге — Пол и гендер [autogen_ebook_id45.jpg]

Рис. 7.2.

Склонность к переживанию страха у лиц мужского и женского пола

Эти данные согласуются с результатами эксперимента, проведенного Ф. Зимбардо (2001). Эксперимент состоял в следующем: испытуемых просили представить себя родителем ребенка, которого они «держат» на руках; неожиданно перед испытуемыми появлялся бородатый незнакомец с музыкальной игрушкой – коробочкой, из которой неожиданно выскакивал забавный клоун. После этого каждому «родителю» был задан вопрос: «Какова была реакция вашего ребенка на происшедшее?» Оказалось, что девушки на порядок чаще юношей определили реакцию ребенка как «страх», тогда как юноши значительно чаще девушек говорили о том, что увидели в глазах своего малыша «любопытство». Правда, Ф. Зимбардо расценивает эти данные как влияние гендерных установок, сложившихся в обществе. Но не сказывается ли в этом случае оценка испытуемыми ситуации на основании собственного опыта (т. е. большей боязливости девушек)?

...

Специфические фобии широко распространены, особенно среди женщин… В течение жизни специфические фобии поражают свыше 16 % женщин и почти 7 % мужчин (Kessler L. N., 1994; Magee G. D., 1996). Сравнительная частота их развития для различных полов значительно варьирует в зависимости от типа специфической фобии. Например, около 90–95 % людей с зоофобиями – женщины, но для фобии, связанной с видом крови и ранениями, соотношение по полу оказывается ниже двух к одному.

…Зоофобии, как правило, возникают в детстве (когда они, по сути, одинаково свойственны мальчикам и девочкам, но мальчики склонны «вырастать» из них).

Реклама
Вход
Поиск по сайту
Ищем:
Календарь