Книга Пол и гендер, страница 164 – Евгений Ильин

Авторы: А Б В Г Д Е Ж З И Й К Л М Н О П Р С Т У Ф Х Ч Ш Ы Э Ю Я
Книги: А Б В Г Д Е Ж З И Й К Л М Н О П Р С Т У Ф Х Ц Ч Ш Щ Ы Э Ю Я
Бесплатная онлайн библиотека LoveRead.ec

Онлайн книга «Пол и гендер»

📃 Cтраница 164

По данным Лорти-Лассиер и Ринфрет (Lortie-Lussier, Rinfret, 2002), женщины лучше воспринимают женщину-менеджера, чем мужчины. Мужчины более позитивно относятся к своим коллегам-женщинам только тогда, когда женщины составляют 20 % от общего числа служащих в данной организации.

Имеет значение, кто именно – мужчина или женщина – оказывает покровительство. Женщины, имевшие наставников-мужчин, получали значительно более высокие зарплаты, чем женщины, работавшие под началом женщин. Мужчины, пользовавшиеся покровительством женщин, менее удовлетворены своим положением, чем те, кому покровительствовали мужчины. Они полагают, что женщины-наставники уделяют им меньше внимания, чем мужчины-наставники, и реже поручают им выполнение трудной и интересной работы (Ragins, Cotton, 1999).

Изучение С. А. Виноградовой (2004) представлений россиянок о «настоящей женщине» и «успешном руководителе» показало, что они значимо различаются по 14 характеристикам. Только два из высокозначимых качеств «настоящей женщины» вошли в набор необходимых качеств «успешного руководителя». Женщины считают, что руководитель должен обладать такими характеристиками, как сила, независимость, упрямство, решительность, т. е. качествами, которые приписываются «настоящему мужчине». Отсюда автор делает вывод, что упоминаемая в литературе половая дискриминация в отношении меньшего статуса и влияния женщин в организациях частично может быть связана с убеждениями самих женщин в своей «недостаточной силе» для руководящих должностей.

...

Данные российских социологических опросов административных работников показывают: 54,5 % респондентов считают, что женщина должна участвовать в управлении наравне с мужчинами; 11,4 % уверены, что большинство руководящих должностей нужно отдать женщинам; 34,1 % отдают предпочтение руководителям-мужчинам, при этом 9,1 % из них полагают, что женщин вообще не должно быть на руководящих постах.

Также можно отметить, что большинство опрошенных склоняются к той точке зрения, что для женщины семейная жизнь важнее работы (52,3 %) (Галиакберова Н. Р., 2001).

Дынин П. И., 2003, с. 313.

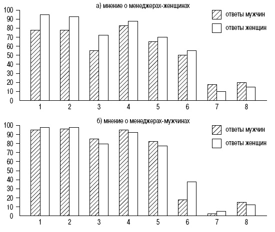
Проведенное Д. И. Вылегжаниным (2006) исследование позволяет заключить, что большинство менеджеров – мужчин и женщин – положительно воспринимают женщину-руководителя, согласны работать под ее руководством, чувствуют себя спокойно, уверенно в ее присутствии и не испытывают психического напряжения, угрозы, высокомерия с ее стороны и ущемления своего самолюбия (рис. 20.1). Правда, значительная часть респондентов высказала определенные опасения, связанные с неопределенностью поведения женщины-руководителя в тех или иных ситуациях. Кроме того, на вопрос, может ли женщина быть компетентнее и успешнее мужчины, положительных ответов было получено гораздо меньше, чем утверждений, что она может быть руководителем.

Иллюстрация к книге — Пол и гендер [autogen_ebook_id173.jpg]

Рис. 20.1.

Мнение менеджеров – мужчин и женщин – о руководителях разного пола

В отношении мужчины-руководителя выявлены те же тенденции, но еще более отчетливо, чем в отношении женщины-руководителя. Лишь в ощущениях стабильности, угрозы, психического напряжения и уважения со стороны руководителя различий во мнениях о руководителе-мужчине и руководителе-женщине практически не было.

Что касается мнения менеджеров мужского и женского пола о женщине-руководителе, то менеджеры-женщины чаще относятся к ним благосклонно, чем менеджеры-мужчины. Исключение составил ответ на вопрос о непредсказуемости поведения женщин-руководителей. Женщины чаще, чем мужчины, отвечали на этот вопрос положительно.

В отношении мнений о мужчине-руководителе различия между ответами менеджеров-мужчин и менеджеров-женщин выявлены не по всем изучавшимся параметрам. Женщины чаще отвечали, что при мужчине-руководителе ощущали бы стабильность, уважение с его стороны, отсутствие психического напряжения и угрозы, и реже, что женщина-руководитель может быть компетентнее мужчины-руководителя. По остальным вопросам мнения менеджеров-мужчин и женщин о мужчине-руководителе совпадали одинаково часто.

При сравнении мнений менеджеров-мужчин о руководителе-мужчине или женщине выявлено, что по большинству позиций (может ли быть руководителем, согласие работать с руководителем данного пола, отсутствие ущемленного самолюбия, большая компетентность, отсутствие опасений в связи с тем, что не знает, как поведет себя руководитель, уверенность, отсутствие высокомерия) преимущество отдается руководителю-мужчине.

Иные мнения о руководителях разного пола у женщин-менеджеров.

Женщины принимают женщину-руководителя почти так же, как и мужчину-руководителя, и более положительно, чем менеджеры-мужчины. В то же время отрицательное мнение почти по всем позициям чаще высказывается женщинами-менеджерами в отношении женщины-руководителя, чем в отношении мужчины-руководителя. Мужчины же чаще отдают предпочтение руководителю-мужчине по большинству позиций.

О. В. Побывко (2007) выявила, что чем важнее для женщины карьерный рост, тем меньше она склонна разделять любые негативные стереотипы в отношении женщин-руководителей и согласна с нетипичным для нашей культуры утверждением, что «женщины-руководители – милые и приятные люди». Если же собственная карьера не имеет значения, то и согласие со стереотипами более высокое. Женщины-руководители в меньшей степени, по сравнению с женщинами – рядовыми специалистами, согласны с утверждениями «у женщин-руководителей, как правило, не складывается личная жизнь» и «если женщина стала руководителем, значит, у нее жесткий, “мужской” характер».

По данным этого же автора, уровень идентификации с фемининными чертами не оказывает влияния на отношение к женщинам-руководителям. В то же время чем выше уровень идентификации с маскулинностью, тем в меньшей степени женщины поддерживают стереотипы в отношении женщин-руководителей. Женщины с низким уровнем маскулинности в большей степени согласны со стереотипными суждениями. Также было выявлено, что чем больше женщины знают лично женщин-руководителей и чем чаще с ними общаются, тем чаще они не согласны с утверждением, что быть руководителем – не женское дело и что женщины-руководители имеют мужской характер.

Скептическое отношение общества к возможности женщин руководить заставляет женщин-руководителей прибегать к защитным стратегиям (называемым гендерным менеджментом), которые заключаются в том, чтобы: 1) тратить больше времени и усилий на работе; 2) использовать специфически женские способы ведения деловых переговоров с мужчинами (кокетство, принижение своих способностей); 3) использовать «маску» – скрывать свою эмоциональную и личную жизнь во избежание мнения о профессиональной неэффективности. Но такое поведение, как отмечает Г. Пауэлл (Powell G., 1990), может являться угрозой для психического здоровья женщин.

Как сообщают американские авторы, в административной и управленческой сфере в США заняты 12 % мужчин и 7 % женщин. Успешность женщин в должности администратора и дальнейшее продвижение во многом зависят от наличия наставника-мужчины, в роли которого часто выступают их мужья. Однако когда профессиональная карьера начинает мешать женщине уделять необходимое время семье, мужья-наставники часто отказываются содействовать продвижению жены по служебной лестнице (Roberts R., Newton P., 1987).

Реклама
Вход
Поиск по сайту
Ищем:
Календарь