Книга Психология взрослости, страница 55 – Евгений Ильин

Авторы: А Б В Г Д Е Ж З И Й К Л М Н О П Р С Т У Ф Х Ч Ш Ы Э Ю Я
Книги: А Б В Г Д Е Ж З И Й К Л М Н О П Р С Т У Ф Х Ц Ч Ш Щ Ы Э Ю Я
Бесплатная онлайн библиотека LoveRead.ec

Онлайн книга «Психология взрослости»

📃 Cтраница 55

• ловушка неполноценности, в которой сливаются воедино установка благодарности и ощущение реализации «последнего шанса»;

• интимная удача, когда успех в сексуальных отношениях сводится к предвосхищению хорошего брака;

• взаимная легкодоступность, что очень привлекает в добрачных отношениях;

• жалость, она же в вариантах вины, долга, воспринимается как «собственная доблесть» и позволяет играть на сцене жизни весьма благородную роль;

• порядочность, когда брак стимулируется мнением ближайшего окружения и ответственностью перед ним [11];

• выгода, когда человек обретает посредством такого союза пристанище, финансовое и материальное благополучие;

• месть, когда выбор партнера и вступление в брак совершают «назло обидчику»;

• боязнь одиночества, когда брачный союз выступает в роли спасения от своих проблем, от самого себя, от страха будущей жизни.


По данным социологических опросов, проведенных в нашей стране в 1980-х гг., материальную обеспеченность как мотив брака назвали всего 3,1 % женщин, тогда как общность взглядов, интересов — около 30, любовь — около 50 % (В. Т. Лисовский, 1986). В начале XXI в. произошли некоторые изменения в мотивах вступления в брак (табл. 5.2). Любовь называют уже почти в два раза реже, снизился и такой показатель, как общность взглядов и интересов (А. М. Швец с соавт., 2006).


Таблица 5.2. Мотивы вступления в брак, количество случаев, % (180 пар)

Иллюстрация к книге — Психология взрослости [autogen_ebook_id51.jpg]

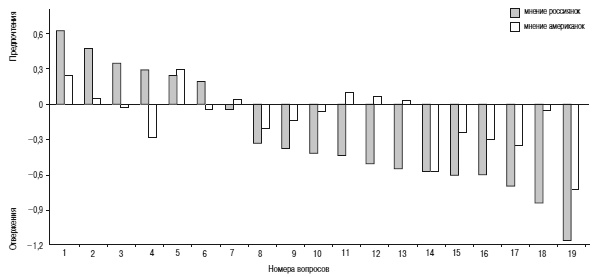
О. В. Митина и В. Ф. Петренко (2000) выявили брачные предпочтения российских и американских женщин (рис. 5.1).

Наиболее предпочтительным для российских женщин (в основном это были москвички) является брак с человеком более высокого социального статуса или с простым человеком, хорошим хозяином, живущим «земными» проблемами. За этими выборами, отмечают авторы, просматривается желание найти в браке безопасность, стабильность, гарантированный уровень жизни. Для американок наиболее предпочтителен муж-бизнесмен, хотя велика доля женщин, хотевших иметь мужа более высокого социального статуса.

Потребности, удовлетворяемые в браке. Взаимоотношения супругов во многом определяются тем, насколько их брак позволяет удовлетворять потребности и цели каждого. Среди этих потребностей и целей все авторы выделяют коммуникативные: потребность в общении, в теплых, сердечных межличностных отношениях. Взгляд на то, что дает семья с точки зрения удовлетворения коммуникативных потребностей, у женщин и мужчин, по данным Л. А. Коростылевой (2000), практически одинаковый: 1) служит опорой в трудную минуту; 2) избавляет от одиночества; 3) приносит счастье материнства и отцовства. Однако для женщин в удовлетворении коммуникативных потребностей характерны и некоторые особенности.

Так, У. Харли (1992) показано, что у женщин основными потребностями, реализуемыми в браке, являются: 1) романтическая атмосфера в семье, нежность, проявляемая мужем; 2) потребность в общении (возможность поговорить с мужем обо всем, что случилось за день); 3) честность и открытость в отношениях с мужем. Мужчины надеются удовлетворить в браке такую коммуникативную потребность, как моральная поддержка со стороны жены.

Сходные данные получены Т. В. Андреевой и Т. Ю. Пипченко (2000): у женщин ведущими потребностями-ожиданиями от мужей были следующие: 1) проявление нежности и заботы; 2) искренность и открытость в отношениях с мужем;

3) потребность в общении.


Иллюстрация к книге — Психология взрослости [autogen_ebook_id52.jpg]

Рис. 5.1. Брачные предпочтения российских и американских женщин. Вопросы: 1 — выйти замуж за человека более высокого социального статуса; 2 — выйти замуж за простого человека, хорошего хозяина, живущего «земными» проблемами; 3 — выйти замуж за человека другой национальности; 4 — выйти замуж за любимого человека с очень низкими доходами без перспективы их увеличить; 5 — выйти замуж за бизнесмена; 6 — выйти замуж за человека, посвятившего свою жизнь науке; 7 — выйти замуж за человека искусства (музыканта, поэта, артиста); 8 — выйти замуж за иностранца и уехать жить за границу; 9 — выйти замуж за военнослужащего; 10 — выйти замуж за политического деятеля; 11 — выйти замуж за рабочего; 12 — находиться на содержании у состоятельного мужчины; 13 — выйти замуж за «звезду» (спорта, эстрады, кино); 14 — выйти замуж без любви, по расчету; 15 — выйти замуж за фермера; 16 — выйти замуж за человека другой расы; 17 — не выходить замуж, полагая, что лучше прожить жизнь одной; 18 — выйти замуж за глубоко религиозного человека; 19 — выйти замуж за представителя криминальных структур


Мужчины меньше были склонны анализировать и осознавать свои потребности, связанные с браком. Молодые мужчины указывали на потребность в моральной поддержке. Потребность в совместном проведении отдыха с женой ими не отмечалась.

Как показали А. М. Швец с соавторами (2006), наиболее часто удовлетворенность браком в благополучных семьях наблюдается при мотиве вступления в брак «общность взглядов и интересов» и «любовь и секс».

Взгляд на то, что дает семья, у женщин и мужчин, по данным Л. А. Коростылевой (2000), практически одинаковый.

Женщины:

1) служит опорой в трудную минуту;

2) избавляет от одиночества;

3) приносит счастье материнства;

4) упорядочивает интимную жизнь;

5) налаживает быт, режим питания.

Мужчины:

1) служит опорой в трудную минуту;

2) избавляет от одиночества;

3) налаживает быт, режим питания;

4) приносит счастье отцовства;

5) упорядочивает интимную жизнь.

Неудачи мужчин и женщин в строительстве семьи обусловлены, считает У. Харли (1992), незнанием потребностей друг друга, а постоянная неудовлетворенность хотя бы одной из потребностей приводит к внебрачным связям. Он выделил по пять основных потребностей для мужей и жен, исполнения которых супруги ожидают друг от друга. У мужчин это: 1) половое удовлетворение; 2) спутник по отдыху; 3) привлекательность жены; 4) ведение домашнего хозяйства; 5) моральная поддержка женой. У женщин основными потребностями являются: 1) романтическая атмосфера в семье, нежность, проявляемая мужем; 2) потребность в общении (возможность поговорить с мужем обо всем, что случилось за день); 3) честность и открытость в отношениях с мужем; 4) финансовая поддержка отца семейства; 5) посвященность семье (роль отца).

Вход
Поиск по сайту
Ищем:
Календарь