Книга Психология воли, страница 79 – Евгений Ильин

Авторы: А Б В Г Д Е Ж З И Й К Л М Н О П Р С Т У Ф Х Ч Ш Ы Э Ю Я
Книги: А Б В Г Д Е Ж З И Й К Л М Н О П Р С Т У Ф Х Ц Ч Ш Щ Ы Э Ю Я
Бесплатная онлайн библиотека LoveRead.ec

Онлайн книга «Психология воли»

📃 Cтраница 79
Иллюстрация к книге — Психология воли [autogen_ebook_id28.jpg]

Рис. 9.1. Изменение с возрастом компонентов выносливости: а — данные для лиц мужского пола; б — данные для лиц женского пола

Этот факт можно объяснить тем, что именно в данном возрасте увеличиваются сила нервной системы и инертность нервных процессов, обусловливающих, помимо мотивации, проявление терпеливости.

Е. В. Эйдман [1986], используя пробу с задержкой дыхания, не выявил существенных возрастных изменений терпеливости. Возможно, это связано с небольшим числом испытуемых школьников, а возможно, — со специфичностью дыхательной пробы. В то же время в его исследовании отчетливо проявилось то обстоятельство, что младшие школьники поддерживают волевое усилие при опоре на внешнюю стимуляцию (соревнование), в то время как старшие школьники используют внутренние побуждения (воображаемое соревнование, самопреодоление).

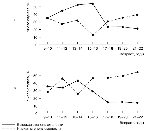
Н. Д. Скрябин [1974б] изучил изменение с возрастом (от 9 до 26 лет) волевого качества смелости. У представителей мужского пола число лиц с высокой степенью смелости увеличивается постепенно с 11–12 лет до 15–16 лет. Соответственно за этот период число лиц с низкой степенью смелости уменьшилось с 35,5 % до 11 %. Однако затем число лиц с высокой степенью смелости уменьшается, а число лиц с низкой степенью смелости возрастает до уровня 9-, 10-летних мальчиков, т. е. до 38 % (рис. 9.2).

Иллюстрация к книге — Психология воли [autogen_ebook_id29.jpg]

Рис. 9.2. Возрастные изменения числа лиц с высокой и низкой степенью смелости: а — лица мужского пола, б — лица женского пола


У девочек наблюдается схожая динамика, но количество лиц с высоким уровнем смелости среди них меньше, а максимум таких лиц наблюдается в возрасте 13–14 лет. Лиц с низкой степенью смелости среди представительниц женского пола во всех возрастных группах больше, чем среди лиц мужского пола, исключая возраст 9–10 лет, причем за этот период число таких лиц женского пола увеличивается с 27,5 % до 51 %. Таким образом, наибольшая смелость проявляется мальчиками и девочками в период полового созревания.

Если молод — не легко веришь в опасность.

М. Горький

Указанные особенности возрастной динамики смелости можно объяснить гормональными изменениями и связанным с этим изменением типологических особенностей свойств нервной системы. Так, в период полового созревания увеличивается сила нервной системы и преобладание возбуждения над торможением по «внешнему» балансу, которые способствуют проявлению высокой степени смелости.

Возрастные изменения решительности изучены И. П. Петяйкиным [1976]. Наибольшее время принятия решения (по которому судили о решительности) отмечалось у детей обоего пола в 7-, 8-летнем возрасте. Затем в возрасте 9 лет это время резко уменьшается и с небольшими колебаниями удерживается на одном уровне до 13 лет. После этого (в возрасте 14–17 лет) время принятия решения увеличивается, что свидетельствует о снижении решительности (рис. 9.3).

Иллюстрация к книге — Психология воли [autogen_ebook_id30.jpg]

Рис. 9.3. Возрастные изменения степени решительности

Начиная с 14-летнего возраста решительность девочек значительно меньше, чем выраженность того же качества у мальчиков, и это различие тем больше, чем субъективно опаснее действия, предлагаемые для исполнения. Характерным является количество отказов выполнять физическое упражнение (падение спиной назад) у мальчиков и девочек в различном возрасте. У мальчиков не было отказов во всех возрастных группах, кроме одной (небольшое число отказов было только у детей 8–9 лет); у девочек же не было отказов только в возрастной группе 10–11 лет.

Все приведенные выше исследования возрастной динамики волевых качеств выполнены с использованием экспериментальных методов. Данные методы показали, что имеет место разновременность (гетерохронность) возрастной динамики волевых качеств. Так, смелость ярче всего проявляется в период полового созревания, особенно у лиц мужского пола; терпеливость увеличивается после периода полового созревания — в 15–16 лет; наибольшая решительность проявляется в 8–11 лет. Отмечается и разнонаправленность этих изменений: в то время как в период полового созревания и сразу после него терпеливость возрастает, смелость и решительность уменьшаются.

Неравномерность развития различных волевых проявлений на каждом возрастном этапе показана и в других исследованиях (С. Я. Лайзане [1980]).


Глава 10. Безвольное поведение
10.1. Различные проявления безволия

Противоположным волевому является безвольное поведение. При обычной его характеристике наблюдаются те же недостатки, что и при характеристике волевого поведения. Так, за безволие принимают как нежелание («явно выраженное отрицательное отношение к преодолению трудностей» — В. И. Селиванов [1976, с. 49]), так и неспособность проявить силу воли («неумение подавлять в себе отдельные желания, настроения и чувства» — А. В. Веденов [1957]). Чаще всего безволие описывается как выражение отрицательных морально-волевых качеств или как некая характеристика воли в целом. В советское время проблема воли и, в частности, безволия оказалась сильно идеологизированной. Безволие превратилось в клеймо, стало показателем безыдейности, аморальности человека. И это наложило отпечаток на понимание воли и безволия отечественными психологами.

Примером такой идеологизации является характеристика безвольного поведения как малодушия. В «Словаре по этике» [1983] малодушие определяется как отрицательное моральное качество, характеризующееся слабостью воли личности и выражающееся в неспособности человека отстоять и провести в жизнь нравственные принципы, в которые он верит, по причине опасения за личные интересы, из-за боязни навлечь на себя неблагоприятные последствия, из страха перед трудностями или из-за неверия в собственные силы. С точки зрения автора статьи это проявление беспринципности, попустительство злу, потеря чувства ответственности за свои поступки и утрата веры в силу нравственных принципов, сопровождающаяся чувством бессилия. Конечно, все это может иметь место, но не всякое малодушие этим определяется.

К. Н. Корнилов [1948б] к проявлениям безволия относил внушаемость и негативизм человека. Негативизм он рассматривал как немотивированную, необоснованную склонность действовать наперекор другим людям, хотя разумные соображения не дают оснований для этого. Внушаемость же является недостатком воли, поскольку человек не умеет критически отнестись к тому, что ему советуют, предлагают сделать. Упомянутый автор писал: «Как внушаемый, так и негативист обнаруживают слабость воли, так как ни тот, ни другой не умеют подчинять свои действия доводам разума, сознательным мотивам поведения» [1948б, с. 331]. На подобном же основании К. Н. Корнилов считал безволием и упрямство. Упрямый, писал он, не владеет своей волей, так как она не подчинена его разуму. Воля упрямого — неразумная воля. Но, в противовес такой точке зрения, следует отметить, что разумность доводов — довольно шаткий критерий, чтобы выносить приговор человеку как безвольному. Одному разумным кажется одно, другому — другое. Тогда, с точки зрения спорящего, при несогласии оппонентов с его доводами все они становятся безвольными.

Вход
Поиск по сайту
Ищем:
Календарь