Книга Психология индивидуальных различий, страница 44 – Евгений Ильин

Авторы: А Б В Г Д Е Ж З И Й К Л М Н О П Р С Т У Ф Х Ч Ш Ы Э Ю Я
Книги: А Б В Г Д Е Ж З И Й К Л М Н О П Р С Т У Ф Х Ц Ч Ш Щ Ы Э Ю Я
Бесплатная онлайн библиотека LoveRead.ec

Онлайн книга «Психология индивидуальных различий»

📃 Cтраница 44

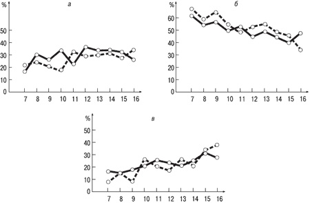
Рис. 5.9. Изменение с возрастом подвижности возбуждения. По горизонтали – возраст, годы; по вертикали – количество лиц, %. Сплошная линия – данные Н. Е. Высотской, пунктирная – Ж. Е. Фирилевой, шрихпунктирная – А. Г. Пинчукова.

Обращает на себя внимание тот факт, что среди мальчиков 7–16 лет количество лиц с подвижностью нервных процессов больше, чем среди девочек (рис. 5.10).

Иллюстрация к книге — Психология индивидуальных различий [autogen_ebook_id36.jpg]

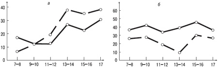
Рис. 5.10. Изменение с возрастом подвижности возбуждения у лиц мужского и женского пола (Н. Е. Высотская, 1972). По горизонтали – возраст, годы; по вертикали – степень подвижности (в условных единицах). Сплошная линия – данные лиц мужского пола, пунктирная – данные лиц женского пола.

Можно предполагать, что выявленное в ряде работ увеличение числа детей 6– 7 лет с подвижностью нервных процессов (по сравнению с 5-летними и 8–9-летними детьми) тоже связано с гормональным всплеском, так как в этом возрасте, по данным возрастной физиологии, усиливается выработка в организме мужского полового гормона.

Изменение баланса нервных процессов. По поводу возрастных изменений баланса нервных процессов также имеются противоречивые свидетельства, во многом связанные с различием методических приемов его изучения. Некоторыми авторами отмечается наличие большого количества детей с преобладанием возбуждения в период полового созревания (Г. П. Антонова, 1968; А. И. Шлемин, 1968;

П. П. Балевский, 1963), что затрудняет образование у этих детей дифференцировок при выработке условных рефлексов. По данным сотрудников А. Г. Иванова-Смоленского, в возрасте от 5 до 12 лет усиливается внутреннее торможение, что приводит к все большей уравновешенности нервных процессов.

Как уже говорилось, мною выделяются два вида баланса нервных процессов – «внешний» и «внутренний».

Изучение возрастных изменений «внешнего» баланса (М. И. Семенов, 1972; А. Г. Пинчуков, 1974; Ж. Е. Фирилева, 1974) показало: в младшем школьном возрасте преобладают дети с уравновешенностью нервных процессов (как среди мальчиков, так и среди девочек). Лиц с преобладанием торможения значительно меньше, но еще меньше тех, у кого преобладает возбуждение (рис. 5.11).

Иллюстрация к книге — Психология индивидуальных различий [autogen_ebook_id37.jpg]

Рис. 5.11. Изменение с возрастом «внешнего» баланса. По вертикали – число лиц, %; по горизонтали – возраст, годы; а – изменение числа случаев с преобладанием возбуждения, б – изменение числа случаев с преобладанием торможения. Сплошная линия – данные Ж. Е. Фирилевой (1974), пунктирная линия – данные М. И. Семенова (1972).

Однако с 10 лет у девочек и с 11 лет у мальчиков соотношение между этими типологическими группами начинает изменяться в сторону увеличения числа детей с преобладанием возбуждения (сначала за счет уменьшения числа тех, у кого преобладает торможение, а затем и за счет снижения числа их сверстников с уравновешенностью). Максимальное возрастание количества детей с преобладанием возбуждения приходится у девочек на возраст 14 лет, а у мальчиков – на возраст 15 лет, т. е. на период полового созревания.

Иллюстрация к книге — Психология индивидуальных различий [autogen_ebook_id38.jpg]

Рис. 5.12. Изменение с возрастом «внутреннего» баланса (А. Г. Пинчуков, 1974). По горизонтали – возраст, годы; по вертикали – число случаев, %. Сплошная линия – данные лиц мужского пола, пунктирная – данные лиц женского пола. а – преобладание возбуждения.

Тогда же начинает проявляться качественно новый сдвиг баланса в обратную сторону: на фоне большого числа лиц с преобладанием возбуждения увеличивается количество тех, у кого отмечается преобладание торможения. Особенно заметен этот процесс у девушек. В возрастной период от 14—15 лет до 18—19 лет резко снижается количество лиц с уравновешенностью нервных процессов. «Внутренний» баланс , по данным этих же авторов, изменяется с возрастом так же, как и «внешний». Различие заключается лишь в сроках появления фаз: по «внутреннему» балансу смена фаз начинается на 2 года раньше. В младшем школьном возрасте преобладают дети с уравновешенностью нервных процессов, в возрасте 9–11 лет резко увеличивается число детей с преобладанием возбуждения. В 14—15 лет вновь в большинстве лица с уравновешенностью нервных процессов при значительном увеличении числа тех, у кого преобладает торможение (рис. 5.12).

Глава 6 Методические вопросы изучения свойств нервной системы

6.1. «Произвольные» и «непроизвольные» методики изучения свойств нервной системы

Считалось, что метод изучения свойств нервной системы с помощью условных рефлексов имеет то несомненное преимущество, что позволяет исключить произвольные реакции человека, которые могут мешать диагностике из-за сознательного искажения обследуемым получаемых результатов. Отсюда и возникло в лаборатории Б. М. Теплова требование использовать для диагностики типологических особенностей только «непроизвольные» реакции и основанные на них «непроизвольные» методы. Автор считал, что «методики произвольных реакций», или «произвольные» индикаторы, имеют лишь чрезвычайно ограниченные возможности для изучения свойств нервной системы, поскольку они неизбежно адресуются к сплаву черт природных и приобретенных, а стало быть, как пишет В. Д. Небылицын, «выявляют не свойства нервной системы как таковые, а в лучшем случае индивидуальные модификации используемых в опыте реакций под комплексным влиянием свойств нервной системы и приобретенного опыта» (1966, с. 12).

В этом сплаве врожденное может быть абсолютно замаскировано приобретенным в процессе жизни.

Достоинством непроизвольных методик В. С. Мерлин считает следующее:

– они дают возможность освободиться от маскирующего эффекта ранее образованных связей и выработать у испытуемого действительно новые условные связи;

– с их помощью изучаются свойства нервной системы при наименьшем и наиболее просто учитываемом влиянии со стороны второй сигнальной системы;

– они дают возможность выделить отдельные свойства нервной системы (автор, очевидно, полагал, что в произвольных реакциях проявляются сразу несколько свойств).

У такой позиции психофизиологов было двоякое последствие. С одной стороны, она заставила исследователей разборчивее и строже относиться к показателям, с помощью которых судят о типологических особенностях. С другой – привела практически к полному игнорированию произвольных методик при изучении свойств нервной системы. Автору достаточно было указать в работе, что типологические особенности изучались с помощью произвольных реакций человека, чтобы вызвать недоверие к полученным результатам. И если первое следствие можно рассматривать в качестве положительного, позволившего уйти, как отмечал Б. М. Теплов, от опасности незаметной для самого исследователя подмены изучения свойств нервной системы изучением сложившихся форм поведения [6] , то второе, думается, было неоправданным, надолго задержавшим успешное изучение типологических особенностей у человека.

Реклама
Вход
Поиск по сайту
Ищем:
Календарь