Онлайн книга «Психология индивидуальных различий»
|
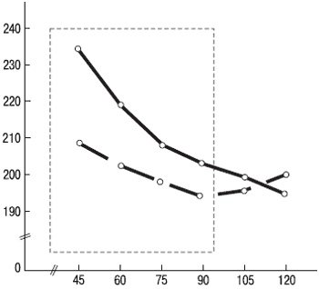
Далее приводится по несколько методик выявления каждого свойства. Это обусловлено тем, что у исследователей может оказаться под рукой разная аппаратура. Методики изучения силы нервной системы Методика «наклон кривой» Она основана на измерении времени простой реакции (на свет или звук) при разных интенсивностях раздражителя и выявлении степени наклона получающейся на графике кривой (рис. П.3). ![]() Рис. П.З. Изменение времени реакции у испытуемых с сильной и слабой нервной системой при увеличении интенсивности звука. По горизонтали – громкость звука (дБ); по вертикали -время реакции, мс. Верхняя линия характеризует сильную нервную систему, нижняя – слабую нервную систему. Пунктиром обозначена зона слабых и средних интенсивностей звука, используемых в методике «наклон кривой». Чем сильнее раздражитель, тем короче время ответной реакции. Эта закономерность присуща лицам как со слабой, так и с сильной нервной системой, но у первых при слабой и средней интенсивности стимула время реакции меньше (особенно при слабых стимулах) и поэтому соответствующая кривая наклонена менее круто, чем у лиц с сильной нервной системой, у которых время реакции на слабый стимул значительно больше. При сильных раздражителях должен быть перегиб кривых, связанный с увеличением времени реакции при сверхоптимальной силе раздражителя. Причем у людей со слабой нервной системой этот перегиб должен произойти раньше, чем у тех, чья нервная система сильная. Практически же это наблюдается крайне редко, так как использование сверхоптимальных раздражителей нецелесообразно по этическим соображениям (эти раздражители вызывают неприятные, в том числе и болевые ощущения). Аппаратура, необходимая для исследования. Рефлексометр любого типа с приставками, изменяющими интенсивность светового и звукового сигналов. Большое распространение получил, например, электронный щитовой нейрохронометр (рис. П.4), созданный в Казанском университете (подробное описание этого прибора можно найти в книге «Методы и портативная аппаратура для исследования индивидуально-типологических различий человека» (Казань, 1976, глава III). Процедура исследования. Измеряется время простой реакции на свет или звук, имеющих шесть фиксированных уровней интенсивности. Для светового раздражителя начальная – 0,02 лк, каждая последующая ступень превышает предыдущую в 10 раз, достигая в итоге 2000 лк. Для звука первая ступень – 40—46 дБ от уровня 0,0002 бара; чистый тон частотой 1000 Гц от звукового генератора ЗГ-10; далее каждая ступень возрастает на 16—20 дБ до максимальной величины в 120 дБ. Перед опытами со световой стимуляцией производят 10-минутную адаптацию обследуемого при слабой освещенности (0,002 лк).![]() Рис. П.4. Электронный нейрохронометр: 1 – пульт испытуемого, 2 – наушники, 3 – нейрохронометр, 4 – регулятор громкости звука, 5 – переключатель программ, 6 – ручка регулировки времени между сигналами, 7 – цифровое табло. Согласно варианту, предложенному В. Д. Небылицыным, сигналы разной интенсивности подаются в случайном порядке, и каждый повторяется 20 раз. Н. М. Пейсахов сократил число повторений до 13. Высчитывается среднее время реакции в случае с каждой интенсивностью сигнала (без учета первых 3–5 попыток). Задача испытуемого: при появлении сигнала как можно быстрее нажать на ключ или кнопку рефлексометра. Для упрощения процедуры исследования и сокращения времени В. Д. Небылицын предложил укороченный вариант методики «наклон кривой». Измеряется время реакции на звуковые сигналы интенсивностью 30—45 и 100—105 дБ. В случайном порядке предъявляются 20 слабых и 20 сильных раздражителей. За 1,5–2 с до подачи сигнала экспериментатор дает команду «Внимание!». Интервал между сигналами составляет 10—20 с. Н. М. Пейсахов провел большую работу по стандартизации условий использования этой методики. Он ограничил время действия звукового сигнала 220 мс (В. Д. Небылицын это время не лимитировал), а также изменил порядок следования сигналов разной интенсивности: в его варианте они подаются в возрастающем порядке. Это дает возможность во многих случаях получать перегиб кривой времени реакции, т. е. определять полное проявление «закона силы», и судить о силе нервной системы не только по «нижнему» порогу, но и по «верхнему». Н. М. Пейсахов ввел еще и предварительную тренировку при минимальной громкости звука 45 дБ. С этой громкости начинается испытание. Согласно предлагаемому им сокращенному варианту, время реакции при малой и большой интенсивности звука измеряется троекратно. Н. М. Пейсахов показал также, что при массовых обследованиях по сокращенной программе более надежные результаты получаются, когда испытуемые не нажимают на кнопку, а отпускают ее в ответ на появление сигнала. Поэтому перед ним рука обследуемого должна находиться на кнопке, и та должна быть утоплена. Большая надежность данного способа реагирования на сигнал объясняется тем, что нажатие на кнопку уже привлекает внимание испытуемого к процедуре. Протокол исследования приведен в табл. П.1.Таблица П.1. Протокол проведения эксперимента. ![]() При звуковом варианте чаще всего ограничиваются громкостью звуков 105 и даже 90 дБ. Критерии диагностики. Кривые изменения времени реакции в зависимости от силы раздражителя теоретически должны иметь такой вид, как на рис. П.5 (см на с. 590). Однако поскольку не используются предельные интенсивности раздражителей, получить это удается редко. Поэтому дело ограничивается зоной, обозначенной на рисунке пунктиром, т. е. зоной, находящейся слева от «верхнего» порога. Здесь критерием силы – слабости нервной системы служит степень наклона кривой: чем она больше, тем сильнее нервная система. Как видно из рисунка, степень наклона зависит в основном от времени реакции при малой интенсивности раздражителя. Степень наклона кривой В. Д. Небылицын предложил выражать количественно. В простом варианте высчитывается отношение времени реакции на самый слабый раздражитель (tmax) к наименьшему времени реакции при более сильных раздражителях (tmin): величина, большая 1,5, принимается как показатель сильной нервной системы. По другому варианту с помощью уравнения регрессии у = b х высчитывается коэффициент Ь, поскольку зависимость времени реакции от интенсивности стимула имеет вид гиперболы. В практике чаще используется первый показатель, получивший название ХНК2 (характеристика наклона кривой при двух интенсивностях раздражителя). Однако у Н. М. Пейсахова критерий для деления испытуемых на «сильных» и «слабых» не абсолютный (как у В. Д. Небылицына), а относительный: высчитывается средний показатель ХНК для всей обследованной группы, затем среднее квадратичное отклонение. Если у обследованного величина ХНК2 превышает на 0,5 сигмы среднее значение для группы, то испытуемого Н. М. Пейсахов относит к «сильным», если же отношение меньше среднегруппового на 0,5 сигмы – к «слабым». |
![Иллюстрация к книге — Психология индивидуальных различий [autogen_ebook_id197.jpg] Иллюстрация к книге — Психология индивидуальных различий [autogen_ebook_id197.jpg]](img/book_covers/076/76498/autogen_ebook_id197.jpg)
![Иллюстрация к книге — Психология индивидуальных различий [autogen_ebook_id198.jpg] Иллюстрация к книге — Психология индивидуальных различий [autogen_ebook_id198.jpg]](img/book_covers/076/76498/autogen_ebook_id198.jpg)
![Иллюстрация к книге — Психология индивидуальных различий [autogen_ebook_id199.jpg] Иллюстрация к книге — Психология индивидуальных различий [autogen_ebook_id199.jpg]](img/book_covers/076/76498/autogen_ebook_id199.jpg)