Книга Психология общения и межличностных отношений, страница 132 – Евгений Ильин

Авторы: А Б В Г Д Е Ж З И Й К Л М Н О П Р С Т У Ф Х Ч Ш Ы Э Ю Я
Книги: А Б В Г Д Е Ж З И Й К Л М Н О П Р С Т У Ф Х Ц Ч Ш Щ Ы Э Ю Я
Бесплатная онлайн библиотека LoveRead.ec

Онлайн книга «Психология общения и межличностных отношений»

📃 Cтраница 132

Майерс Д., 2004, с. 500.

Мужчину же прежде всего привлекает в женщине природное начало: ее внешность, фигура, походка и т. д. Вследствие этого нередки случаи, когда умные, образованные мужчины влюбляются в недалеких и красивых «пустышек», вроде «людоедки Эллочки», жены инженера Щукина из романа И. Ильфа и Е. Петрова «Двенадцать стульев».

По данным социологических опросов, проведенных в нашей стране в 80-х гг. ХХ в., материальную обеспеченность как мотив брака назвали всего 3,1 % женщин, тогда как общность взглядов, интересов — около 30, любовь — около 50 % (В. Т. Лисовский, 1986).

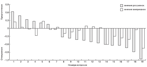
О. В. Митина и В. Ф. Петренко (2000) выявили брачные предпочтения российских и американских женщин (рис. 19.1).

Наиболее предпочтительным для российских женщин (в основном это были москвички) является брак с человеком более высокого социального статуса или с простым человеком, хорошим хозяином, живущим «земными» проблемами. За этими выборами, отмечают авторы, просматривается желание найти в браке безопасность, стабильность, гарантированный уровень жизни. Для американок наиболее предпочтителен муж-бизнесмен, хотя велика доля женщин, хотевших иметь мужа более высокого социального статуса.

Не всем удается найти спутника жизни с неотразимой внешностью. Так как же люди ищут свою вторую половину? Если судить по результатам исследования, проведенного Бернардом Марстейном (Murstein, 1986), мы склонны выбирать тех, кто не более и не менее привлекателен, чем мы сами. Результаты нескольких исследований свидетельствуют о тесной корреляции между внешней привлекательностью супругов, влюбленных и даже членов одного и того же клуба (Feingold, 1988). Люди склонны выбирать в друзья, а особенно в супруги, тех, кто соответствует им не только по уровню интеллекта, но и по уровню привлекательности.

Эксперименты подтверждают факт существования этого феномена соответствия. Выбирая, к кому подойти с предложением знакомства, и зная, что в ответ может услышать и «да», и «нет», человек обычно выбирает того, чья физическая привлекательность примерно соответствует его собственной (Bersheid et al., 1971; Huston, 1973; Stroebe et al., 1971). Хорошее соответствие физических данных также может быть и основой для хороших отношений — к этому выводу пришел Грегори Уайт (White, 1980) на основании опроса влюбленных пар… Спустя 9 месяцев после опроса оказалось, что наиболее гармоничные из них (с точки зрения физической привлекательности) связывает еще более сильное чувство.

Майерс Д., 2004, с. 506–507.

Существенным моментом, затрудняющим женщинам вступление в брак, является их высокий уровень образования и зарплаты. Сказывается то обстоятельство, что некоторые мужчины начинают ощущать свою неполноценность и чувствуют себя некомфортно с женщинами более образованными, особенно с теми, кто имеет ученую степень (Л. А. Коростылева, 2000). В то же время более низкий образовательный уровень женщины мужчину не смущает. Об этом свидетельствует тот факт, что уровень образования у мужчин, вступивших в брак, значительно выше, чем у женщин. То же можно сказать и в отношении зарплаты женщин: среди вступивших в брак мужчин их зарплата чаще более высокая, чем у женщин.

Иллюстрация к книге — Психология общения и межличностных отношений [i_036.jpg]

Рис. 19.1. Брачные предпочтения российских и американских женщин Вопросы: 1 — выйти замуж за человека более высокого социального статуса; 2 — выйти замуж за простого человека, хорошего хозяина, живущего «земными» проблемами; 3 — выйти замуж за человека другой национальности; 4 — выйти замуж за любимого человека с очень низкими доходами без перспективы их увеличить; 5 — выйти замуж за бизнесмена; 6 — выйти замуж за человека, посвятившего свою жизнь науке; 7 — выйти замуж за человека искусства (музыканта, поэта, артиста); 8 — выйти замуж за иностранца и уехать жить за границу; 9 — выйти замуж за военнослужащего; 10 — выйти замуж за политического деятеля; 11 — выйти замуж за рабочего; 12 — находиться на содержании у состоятельного мужчины; 13 — выйти замуж за «звезду» (спорта, эстрады, кино); 14 — выйти замуж без любви, по расчету; 15 — выйти замуж за фермера; 16 — выйти замуж за человека другой расы; 17 — не выходить замуж, полагая, что лучше прожить жизнь одной; 18 — выйти замуж за глубоко религиозного человека; 19 — выйти замуж за представителя криминальных структур

Некоторые предпочитают одиночество

Многие одинокие женщины отмечали, что они верят в то, что если останутся одинокими, то это поможет им сделать карьеру (Befe, 1993). Исследования доказывают, что у одиноких женщин, как правило, выше уровень образования, социальный статус и заработки, чем у женщин, которые вышли замуж, проходя обучение или закончив последний курс института. Одинокие женщины среднего возраста считают себя более независимыми и настойчивыми, чем замужние женщины, и придают большую ценность достижениям и личностному росту (Etaugh, 1993).

В обществе сохраняются устойчивые стереотипные представления об одиноких женщинах (Chasteen, 1994). Клэр Ито и ее коллеги (Etaugh, Malstrem, 1981; Etaugh, Petroski, 1985; Etaugh, Stern, 1984), например, указывали, что одинокие женщины средних лет считаются в обществе менее общительными и обаятельными, хуже приспособленными и менее привлекательными, чем замужние того же возраста. Распространено представление, что выбор в пользу одинокого образа жизни делает не сама женщина, а это определяется тем обстоятельством, что мужчины ею не интересуются. Такое мнение формируется в обществе, вероятно, за счет скрытой угрозы маскулинному доминированию, особенно если учесть, что одинокие женщины в состоянии позаботиться о себе сами (Etaugh, 1993)… Подобные социальные суждения могут снизить самооценку женщин и их Я-концепцию.

Палуди М., 2003, с. 260–261.

По данным Л. А. Коростылевой (2000), при отказе мужчин и женщин от вступления в брак учитываются среди прочих и отрицательные коммуникативные характеристики личности друг друга. Общими для тех и других неприемлемыми характеристиками являются грубость, вспыльчивость, гневливость. Кроме того, женщины считают неприемлемыми у мужчин отсутствие или недостаточную сформированность семейных установок, недостаточность проявления положительных чувств. К существенным женским недостаткам мужчины относят несдержанность, склонность к бурному проявлению эмоций и «взвинченность».

19.2. Коммуникативные потребности и цели, реализуемые в браке

Взаимоотношения между супругами во многом определяются тем, насколько их брак позволяет удовлетворять потребности и цели каждого. Среди этих потребностей и целей все авторы выделяют коммуникативные потребности: потребность в общении, в теплых, сердечных межличностных отношениях. Взгляд на то, что дает семья с точки зрения удовлетворения коммуникативных потребностей, у женщин и мужчин, по данным Л. А. Коростылевой (2000), практически одинаковый: 1) служит опорой в трудную минуту; 2) избавляет от одиночества; 3) приносит счастье материнства и отцовства. Однако для женщин в удовлетворении коммуникативных потребностей характерны и некоторые особенности.

Вход
Поиск по сайту
Ищем:
Календарь