Онлайн книга «Психология творчества, креативности, одаренности»
|
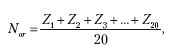
Во время разминки экспериментатор постоянно обсуждает с детьми возможность – невозможность употребления определенных выражений. Необходимо подвести к мысли о возможности употребления самых невероятных словосочетаний. Серия 1 Инструкция. Итак, переходим к основной серии заданий. Суть каждого примерно такая же, что и в заданиях разминки. Только теперь вам предлагается не два, а три слова. Вы подбираете к ним такое четвертое, которое бы подходило к каждому из трех слов, т. е. могло бы составить словосочетание с каждым из трех слов-стимулов. Например, быстрый, зеленый, полный. Ответом может быть «поезд». Вы можете также изменять слова грамматически, использовать предлоги. Например: часы, скрипка, единство. Ответом может быть слово «мастер» (часовой мастер, скрипичный мастер, единственный мастер или вариант с предлогом – мастер по часам). Если в ответ на предложенные стимулы у вас возникает не одна, а несколько ассоциаций, напишите все. Ответы пишите на этих же листочках. Если вы изменяете слова-стимулы грамматически, то словосочетания пишите целиком, если не изменяете, то пишите только предлагаемое слово. Работайте в любом удобном для вас режиме, во времени вы не ограничены. Так как здесь важны ваши сугубо личные результаты, пожалуйста, не отвлекайтесь и работайте индивидуально. Слова-стимулы Громкая, правда, медленно Холодная, зелень, мутная Прошлое, море, друзья Зоркий, ресница, стеклянный Светлая, английская, новости Кино, экзамен, проездной Комната, положение, река Трудное, истекло, золото Мундир, городок, билет Неожиданно, человек, улица Холодная, дым. жестокая Умная, холодная, светлая Прошлый, время, трудный Дедушка, очки, добрая Долго, вечер, друзья Плохо, глаза, море Слон, дом, великан Снег, хлеб, медведь Навсегда, домой, назадСтереотипы ответов Говорить Вода Вспомнить Глаз Газета Билет Войти Время Военный Встреча Война Гол Бабушка Ждать Видеть Большой Белый ВернутьсяСерия 2 Инструкция. Сегодня я предлагаю вам задания, подобные прошлым, но цель ставится более интересная, несколько даже усложняется. Постарайтесь, чтобы те образы, те ассоциации, которые приходят вам в голову в ответ на предложенные слова, были как можно более оригинальными и яркими, необычными, образными. Пусть это будут словосочетания, которые в повседневной жизни даже не употребляются и звучат весьма необычно. Постарайтесь создать нечто новое и оригинальное. Условия те же – вы можете менять грамматическую форму, использовать предлоги. Свои ответы пишите на карточках. Еще раз напоминаю вам о цели сегодняшней работы: постарайтесь продемонстрировать оригинальность и самобытность своего мышления. Стимульный материал Случайная, горы, долгожданная Вечерняя, бумага, стенная Обратно, родина, путь Далеко, слепой, будущее Народная, страх, мировая Деньги, билет, свободное Дверь, доверие, быстро Друг, город, круг Поезд, купить, бумажный Цвет, заяц, сахар Ласковая, морщины, сказка Детство, случай, хорошее Воздух, быстрая, свежая Певец, Америка, тонкий Тяжелый, рождение, урожайный Много, чепуха, прямо Кривой, очки, острый Садовая, мозг, пустая Гость, случайно, вокзал Человек, погоны, завод Типичные ответы Встреча Газета Вернуться Смотреть Война Время Войти Родной Билет Белый Бабушка Настроение Струя Голос Год Говорит Глаз Голова Встреча Военный Таким образом, вторая серия по стимульному материалу практически не отличается от первой, различия состоят лишь в установке. Все результаты, полученные в группе, фиксируются и сводятся в таблицу, где по вертикали заносятся фамилии, по горизонтали – ответы на слова-стимулы. На каждую серию делается отдельная таблица. Критерии оценок 1. Количество ассоциаций![]() где X – общее количество ответов; Y – общее количество заданий. Например, если испытуемый предложил 28 ответов, его индекс будет 28/20 = 1,4. 2. Индекс оригинальности Сначала считается индекс оригинальности каждого ответа, затем индекс оригинальности всех ответов испытуемого. Подсчет производится следующим образом: на каждый стимул составляется список ответов, предложенных всей группой. Считается частота встречаемости каждого ответа (количество таких же ответов – г). Индекс оригинальности (Z t ) каждого ответа равен единице, деленной на количество таких ответов в группе. ![]() где Zi – индекс оригинальности каждого ответа; i – номер задания; r – частота встречаемости каждого ответа. Все индексы оригинальности ответов конкретного испытуемого складываются: ![]() где N or – индекс оригинальности работы испытуемого. Например, на стимул «быстрый, зеленый, полный» из 50 испытуемых 46 дали ответ «поезд», индекс оригинальности данного ответа будет равен 1/46. Если данный испытуемый дал такой же ответ, то ему засчитывается этот индекс (Z1 = 1/46). Так подсчитываются индексы всех ответов данного испытуемого и вычисляется их сумма. Затем эта сумма делится на количество ответов, равное числу слов-стимулов. |
![Иллюстрация к книге — Психология творчества, креативности, одаренности [autogen_ebook_id63.jpg] Иллюстрация к книге — Психология творчества, креативности, одаренности [autogen_ebook_id63.jpg]](img/book_covers/076/76494/autogen_ebook_id63.jpg)
![Иллюстрация к книге — Психология творчества, креативности, одаренности [autogen_ebook_id64.jpg] Иллюстрация к книге — Психология творчества, креативности, одаренности [autogen_ebook_id64.jpg]](img/book_covers/076/76494/autogen_ebook_id64.jpg)
![Иллюстрация к книге — Психология творчества, креативности, одаренности [autogen_ebook_id65.jpg] Иллюстрация к книге — Психология творчества, креативности, одаренности [autogen_ebook_id65.jpg]](img/book_covers/076/76494/autogen_ebook_id65.jpg)